Siste oppdatering :
18/03/2026
kreft narkotika   Etoposide phosphate  
Injeksjon
Oppløsningsstabilitet Stabilitet i blandinger Faktorer som påvirker stabiliteten Kompatibilitet Administrasjonsmåte Referanser pdf
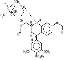
   Kjemisk struktur  

Handelsnavn   Handelsnavn     

Handelsnavn er veiledende og sammensetning av hjelpestoffer kan være forskjellig avhengig av land og produsent

Etopofos Hellas, Sverige, Østerrike
Etopophos Belgia, Bulgaria, Frankrike, Israel, Luxembourg, Nederland, New Zealand, Polen, Storbritannia, Sveits, Tyskland, USA
Kompatibilitet   Injeksjon   Kompatibilitet : Etoposide phosphate              
Dette skjermbildet viser kompatibilitet eller inkompatibilitet med, i dette tilfellet, typen inkompatibilitet (nedbør, fargeendring, modifisering av en emulsjon, etc.). Kompatibilitetene som er vist her, er for det meste bare fysiske, og den kjemiske stabiliteten til hvert molekyl blir sjelden vurdert. Evalueringen av disse blandingene ble studert for å vurdere muligheten for Y-stedadministrasjon til pasienten. Disse dataene kan ikke brukes til å lage blandinger på forhånd i poser eller sprøyter. Denne typen informasjon er tilgjengelig på skjermen "Stabilitet i blanding".
Legemiddel Oppløsningsmiddel Referanser
Kompatibel
Injeksjon Etoposide phosphate 5 mg/ml
Injeksjon Aciclovir sodium 7 mg/ml
Glukose 5 % 1410
Kompatibel
Injeksjon Etoposide phosphate 5 mg/ml
Injeksjon Amikacin sulfate 5 mg/ml
Glukose 5 % 1410
Kompatibel
Injeksjon Etoposide phosphate 5 mg/ml
Injeksjon Aminophylline 2.5 mg/ml
Glukose 5 % 1410
Umiddelbar nedbør Uforenlig
Injeksjon Etoposide phosphate 5 mg/ml
Injeksjon Amphotericin B 0.6 mg/ml
Glukose 5 % 1410
Kompatibel
Injeksjon Etoposide phosphate 5 mg/ml
Injeksjon Ampicillin sodium 20 mg/ml
Glukose 5 % 1410
Kompatibel
Injeksjon Etoposide phosphate 5 mg/ml
Injeksjon Ampicillin sodium - sulbactam sodium 20/10 mg/ml
Glukose 5 % 1410
Kompatibel
Injeksjon Etoposide phosphate 5 mg/ml
Injeksjon Anidulafungin 0.5 mg/ml
Glukose 5 % 1982
Kompatibel
Injeksjon Etoposide phosphate 5 mg/ml
Injeksjon Aztreonam 40 mg/ml
Glukose 5 % 1410
Kompatibel
Injeksjon Etoposide phosphate 5 mg/ml
Injeksjon Bleomycin sulfate 1 mg/ml
Natriumklorid 0,9 % 1410
Kompatibel
Injeksjon Etoposide phosphate 5 mg/ml
Injeksjon Bumetanide 0.04 mg/ml
Glukose 5 % 1410
Kompatibel
Injeksjon Etoposide phosphate 5 mg/ml
Injeksjon Buprenorphine hydrochloride 0.04 mg/ml
Glukose 5 % 1410
Kompatibel
Injeksjon Etoposide phosphate 5 mg/ml
Injeksjon Butorphanol tartrate 0.04 mg/ml
Glukose 5 % 1410
Uspesifisert inkompatibilitet Uforenlig
Injeksjon Etoposide phosphate
Injeksjon Calcium gluconate
3644
Kompatibel
Injeksjon Etoposide phosphate 5 mg/ml
Injeksjon Calcium gluconate 40 mg/ml
Glukose 5 % 1410
Kompatibel
Injeksjon Etoposide phosphate 5 mg/ml
Injeksjon Carboplatin 5 mg/ml
Glukose 5 % 1410
Kompatibel
Injeksjon Etoposide phosphate 5 mg/ml
Injeksjon Carmustine 1.5 mg/ml
Glukose 5 % 1410
Kompatibel
Injeksjon Etoposide phosphate 5 mg/ml
Injeksjon Caspofungin acetate 0,7 mg/ml
Natriumklorid 0,9 % 2247
Kompatibel
Injeksjon Etoposide phosphate 5 mg/ml
Injeksjon Cefazolin sodium 20 mg/ml
Glukose 5 % 1410
Umiddelbar turbiditet Uforenlig
Injeksjon Etoposide phosphate 5 mg/ml
Injeksjon Cefepime dihydrochloride 20 mg/ml
Glukose 5 % 1410
Kompatibel
Injeksjon Etoposide phosphate 5 mg/ml
Injeksjon Cefonicid sodium 20 mg/ml
Glukose 5 % 1410
Kompatibel
Injeksjon Etoposide phosphate 5 mg/ml
Injeksjon Cefoperazone sodium 40 mg/ml
Glukose 5 % 1410
Kompatibel
Injeksjon Etoposide phosphate 5 mg/ml
Injeksjon Cefotaxime sodium 20 mg/ml
Glukose 5 % 1410
Kompatibel
Injeksjon Etoposide phosphate 5 mg/ml
Injeksjon Cefoxitin sodium 20 mg/ml
Glukose 5 % 1410
Kompatibel
Injeksjon Etoposide phosphate 5 mg/ml
Injeksjon Ceftazidime 40 mg/ml
Glukose 5 % 1410
Kompatibel
Injeksjon Etoposide phosphate 5 mg/ml
Injeksjon Ceftriaxone disodium 20 mg/ml
Glukose 5 % 1410
Kompatibel
Injeksjon Etoposide phosphate
Glukose 5 % 3655
Uforenlig
Injeksjon Etoposide phosphate
Injeksjon Calcium gluconate
4964
Kompatibel
Injeksjon Etoposide phosphate 5 mg/ml
Injeksjon Ceftizoxime sodium 20 mg/ml
Glukose 5 % 1410
Kompatibel
Injeksjon Etoposide phosphate 5 mg/ml
Injeksjon Cefuroxime sodium 30 mg/ml
Glukose 5 % 1410
Umiddelbar turbiditet Uforenlig
Injeksjon Etoposide phosphate 5 mg/ml
Injeksjon Chlorpromazine hydrochloride 2 mg/ml
Glukose 5 % 1410
Kompatibel
Injeksjon Etoposide phosphate 5 mg/ml
Injeksjon Cimetidine hydrochloride 12 mg/ml
Glukose 5 % 1410
Kompatibel
Injeksjon Etoposide phosphate 5 mg/ml
Injeksjon Ciprofloxacin lactate 1 mg/ml
Glukose 5 % 1410
Kompatibel
Injeksjon Etoposide phosphate 5 mg/ml
Injeksjon Cisplatin 1 mg/ml
Glukose 5 % 1410
Kompatibel
Injeksjon Etoposide phosphate 5 mg/ml
Injeksjon Clindamycin phosphate 10 mg/ml
Glukose 5 % 1410
Kompatibel
Injeksjon Etoposide phosphate 5 mg/ml
Injeksjon Co-trimoxazole 0.8/4 mg/ml
Glukose 5 % 1410
Kompatibel
Injeksjon Etoposide phosphate 5 mg/ml
Injeksjon Cyclophosphamide 10 mg/ml
Glukose 5 % 1410
Kompatibel
Injeksjon Etoposide phosphate 5 mg/ml
Injeksjon Cytarabine 50 mg/ml
Glukose 5 % 1410
Kompatibel
Injeksjon Etoposide phosphate 5 mg/ml
Injeksjon Dacarbazine 4 mg/ml
Glukose 5 % 1410
Kompatibel
Injeksjon Etoposide phosphate 5 mg/ml
Injeksjon Dactinomycin 10 µg/ml
Glukose 5 % 1410
Kompatibel
Injeksjon Etoposide phosphate 5 mg/ml
Injeksjon Daunorubicin hydrochloride 1 mg/ml
Glukose 5 % 1410
Kompatibel
Injeksjon Etoposide phosphate 5 mg/ml
Injeksjon Dexamethasone sodium phosphate 1 mg/ml
Glukose 5 % 1410
Kompatibel
Injeksjon Etoposide phosphate 5 mg/ml
Injeksjon Diphenhydramine hydrochloride 2 mg/ml
Glukose 5 % 1410
Kompatibel
Injeksjon Etoposide phosphate 5 mg/ml
Injeksjon Dobutamine hydrochloride 4 mg/ml
Glukose 5 % 1410
Kompatibel
Injeksjon Etoposide phosphate 5 mg/ml
Injeksjon Dopamine hydrochloride 3.2 mg/ml
Glukose 5 % 1410
Kompatibel
Injeksjon Etoposide phosphate 5 mg/ml
Injeksjon Doripenem 5 mg/ml
Natriumklorid 0,9 % 2262
Kompatibel
Injeksjon Etoposide phosphate 5 mg/ml
Injeksjon Doripenem 5 mg/ml
Glukose 5 % 2262
Kompatibel
Injeksjon Etoposide phosphate 5 mg/ml
Injeksjon Doxorubicin hydrochloride 2 mg/ml
Glukose 5 % 1410
Kompatibel
Injeksjon Etoposide phosphate 5 mg/ml
Injeksjon Doxycycline hyclate 1 mg/ml
Glukose 5 % 1410
Kompatibel
Injeksjon Etoposide phosphate 5 mg/ml
Injeksjon Droperidol 0.4 mg/ml
Glukose 5 % 1410
Kompatibel
Injeksjon Etoposide phosphate 5 mg/ml
Injeksjon Enalaprilate 0.1 mg/ml
Glukose 5 % 1410
Kompatibel
Injeksjon Etoposide phosphate 5 mg/ml
Injeksjon Famotidine 2 mg/ml
Glukose 5 % 1410
Kompatibel
Injeksjon Etoposide phosphate 5 mg/ml
Injeksjon Floxuridine 3 mg/ml
Glukose 5 % 1410
Kompatibel
Injeksjon Etoposide phosphate 5 mg/ml
Injeksjon Fluconazole 2 mg/ml
Glukose 5 % 1410
Kompatibel
Injeksjon Etoposide phosphate 5 mg/ml
Injeksjon Fludarabine phosphate 1 mg/ml
Glukose 5 % 1410
Kompatibel
Injeksjon Etoposide phosphate 5 mg/ml
Injeksjon Fluorouracil 16 mg/ml
Glukose 5 % 1410
Kompatibel
Injeksjon Etoposide phosphate 5 mg/ml
Injeksjon Folinate calcium 2 mg/ml
Glukose 5 % 1410
Kompatibel
Injeksjon Etoposide phosphate 5 mg/ml
Injeksjon Furosemide 3 mg/ml
Glukose 5 % 1410
Kompatibel
Injeksjon Etoposide phosphate 5 mg/ml
Injeksjon Gallium nitrate 0.4 mg/ml
Glukose 5 % 1410
Kompatibel
Injeksjon Etoposide phosphate 5 mg/ml
Injeksjon Ganciclovir sodium 20 mg/ml
Glukose 5 % 1410
Kompatibel
Injeksjon Etoposide phosphate 5 mg/ml
Injeksjon Gemcitabine hydrochloride 10 mg/ml
Natriumklorid 0,9 % 1423
Kompatibel
Injeksjon Etoposide phosphate 5 mg/ml
Injeksjon Gentamicin sulfate 5 mg/ml
Glukose 5 % 1410
Kompatibel
Injeksjon Etoposide phosphate 5 mg/ml
Injeksjon Granisetron hydrochloride 0.05 mg/ml
Glukose 5 % 1410
Kompatibel
Injeksjon Etoposide phosphate 5 mg/ml
Injeksjon Haloperidol lactate 0.2 mg/ml
Glukose 5 % 1410
Kompatibel
Injeksjon Etoposide phosphate 5 mg/ml
Injeksjon Heparin sodium 100 UI/ml
Glukose 5 % 1410
Kompatibel
Injeksjon Etoposide phosphate 5 mg/ml
Injeksjon Hydrocortisone sodium succinate 1 mg/ml
Glukose 5 % 1410
Kompatibel
Injeksjon Etoposide phosphate 5 mg/ml
Injeksjon Hydromorphone hydrochloride 0.5 mg/ml
Glukose 5 % 1410
Kompatibel
Injeksjon Etoposide phosphate 5 mg/ml
Injeksjon Hydroxyzine dihydrochloride 4 mg/ml
Glukose 5 % 1410
Kompatibel
Injeksjon Etoposide phosphate 5 mg/ml
Injeksjon Idarubicin hydrochloride 0.5 mg/ml
Glukose 5 % 1410
Kompatibel
Injeksjon Etoposide phosphate 5 mg/ml
Injeksjon Ifosfamide 25 mg/ml
Glukose 5 % 1410
Fargeendring etter 4 timer Uforenlig
Injeksjon Etoposide phosphate 5 mg/ml
Injeksjon Imipenem - cilastatin sodium 10 mg/ml
Natriumklorid 0,9 % 1410
Umiddelbar nedbør Uforenlig
Injeksjon Etoposide phosphate 5 mg/ml
Injeksjon Lansoprazole 0.55 mg/ml
Natriumklorid 0,9 % 1625
Kompatibel
Injeksjon Etoposide phosphate 5 mg/ml
Injeksjon Linezolid 2 mg/ml
Ingen 1925
Kompatibel
Injeksjon Etoposide phosphate
Natriumklorid 0,9 % 3655
Kompatibel
Injeksjon Etoposide phosphate 5 mg/ml
Injeksjon Lorazepam 0.5 mg/ml
Glukose 5 % 1410
Uspesifisert inkompatibilitet Uforenlig
Injeksjon Etoposide phosphate
Injeksjon Magnesium sulfate
3838
Kompatibel
Injeksjon Etoposide phosphate 5 mg/ml
Injeksjon Magnesium sulfate 100 mg/ml
Glukose 5 % 1410
Kompatibel
Injeksjon Etoposide phosphate 5 mg/ml
Injeksjon Mannitol 150 mg/ml
Glukose 5 % 1410
Kompatibel
Injeksjon Etoposide phosphate 5 mg/ml
Injeksjon Mesna 10 mg/ml
Glukose 5 % 1410
Kompatibel
Injeksjon Etoposide phosphate 5 mg/ml
Injeksjon Methotrexate sodium 15 mg/ml
Glukose 5 % 1410
Umiddelbar turbiditet Uforenlig
Injeksjon Etoposide phosphate 5 mg/ml
Injeksjon Methylprednisolone sodium succinate 5 mg/ml
Glukose 5 % 1410
Kompatibel
Injeksjon Etoposide phosphate 5 mg/ml
Injeksjon Metoclopramide hydrochloride 5 mg/ml
Glukose 5 % 1410
Kompatibel
Injeksjon Etoposide phosphate 5 mg/ml
Injeksjon Metronidazole 5 mg/ml
Glukose 5 % 1410
Kompatibel
Injeksjon Etoposide phosphate 5 mg/ml
Injeksjon Minocycline hydrochloride 0.2 mg/ml
Glukose 5 % 1410
Fargeendring etter 4 timer Uforenlig
Injeksjon Etoposide phosphate 5 mg/ml
Injeksjon Mitomycin 0.5 mg/ml
Glukose 5 % 1410
Kompatibel
Injeksjon Etoposide phosphate 5 mg/ml
Injeksjon Mitoxantrone dihydrochloride 0.5 mg/ml
Glukose 5 % 1410
Kompatibel
Injeksjon Etoposide phosphate 5 mg/ml
Injeksjon Morphine sulfate 1 mg/ml
Glukose 5 % 1410
Kompatibel
Injeksjon Etoposide phosphate 5 mg/ml
Injeksjon Nalbuphine hydrochloride 10 mg/ml
Glukose 5 % 1410
Kompatibel
Injeksjon Etoposide phosphate 5 mg/ml
Injeksjon Netilmicin sulfate 5 mg/ml
Glukose 5 % 1410
Kompatibel
Injeksjon Etoposide phosphate 5 mg/ml
Injeksjon Ofloxacin 4 mg/ml
Glukose 5 % 1410
Kompatibel
Injeksjon Etoposide phosphate 5 mg/ml
Injeksjon Ondansetron hydrochloride 1 mg/ml
Glukose 5 % 1410
Kompatibel
Injeksjon Etoposide phosphate 5 mg/ml
Injeksjon Oxaliplatin 0,5 mg/ml
Glukose 5 % 1662
Kompatibel
Injeksjon Etoposide phosphate 5 mg/ml
Injeksjon Paclitaxel 1.2 mg/ml
Glukose 5 % 1410
Kompatibel
Injeksjon Etoposide phosphate 5 mg/ml
Injeksjon Pethidine hydrochloride 4 mg/ml
Glukose 5 % 1410
Kompatibel
Injeksjon Etoposide phosphate 5 mg/ml
Injeksjon Piperacillin sodium 40 mg/ml
Glukose 5 % 1410
Kompatibel
Injeksjon Etoposide phosphate 5 mg/ml
Injeksjon Piperacillin sodium / tazobactam 40/5 mg/ml
Natriumklorid 0,9 % 1410
Kompatibel
Injeksjon Etoposide phosphate 5 mg/ml
Injeksjon Potassium chloride 100 mEq/l
Glukose 5 % 1410
Umiddelbar turbiditet Uforenlig
Injeksjon Etoposide phosphate 5 mg/ml
Injeksjon Prochlorperazine edysilate 0.5 mg/ml
Glukose 5 % 1410
Kompatibel
Injeksjon Etoposide phosphate 5 mg/ml
Injeksjon Promethazine hydrochloride 2 mg/ml
Glukose 5 % 1410
Kompatibel
Injeksjon Etoposide phosphate 5 mg/ml
Injeksjon Ranitidine hydrochloride 2 mg/ml
Glukose 5 % 1410
Kompatibel
Injeksjon Etoposide phosphate 5 mg/ml
Injeksjon Sodium bicarbonate 84 mg/ml
Glukose 5 % 1410
Kompatibel
Injeksjon Etoposide phosphate 5 mg/ml
Injeksjon Streptozocin 40 mg/ml
Glukose 5 % 1410
Fargeendring etter 4 timer Uforenlig
Injeksjon Etoposide phosphate 5 mg/ml
Injeksjon Teniposide 0.1 mg/ml
Natriumklorid 0,9 % 1410
Kompatibel
Injeksjon Etoposide phosphate 5 mg/ml
Injeksjon Thiotepa 1 mg/ml
Glukose 5 % 1410
Kompatibel
Injeksjon Etoposide phosphate 5 mg/ml
Injeksjon Ticarcillin / clavulanic acid 31 mg/ml
Glukose 5 % 1410
Kompatibel
Injeksjon Etoposide phosphate 5 mg/ml
Injeksjon Tobramycin sulfate 5 mg/ml
Glukose 5 % 1410
Kompatibel
Injeksjon Etoposide phosphate 5 mg/ml
Injeksjon Vancomycin hydrochloride 10 mg/ml
Glukose 5 % 1410
Kompatibel
Injeksjon Etoposide phosphate 5 mg/ml
Injeksjon Vinblastine sulfate 0.12 mg/ml
Glukose 5 % 1410
Kompatibel
Injeksjon Etoposide phosphate 5 mg/ml
Injeksjon Vincristine sulfate 0.05 mg/ml
Glukose 5 % 1410
Kompatibel
Injeksjon Etoposide phosphate 5 mg/ml
Injeksjon Zidovudine 4 mg/ml
Glukose 5 % 1410

  Mentions Légales