Cập nhật lần cuối :
17/12/2025
thuốc trị ung thư   Etoposide phosphate  
Dạng tiêm
Tính ổn định của các dung dịch Độ ổn định khi trộn lẫn Những yếu tố ảnh hưởng đến độ ổn định Khả năng tương thích Đường dùng Tài liệu tham khảo Pdf
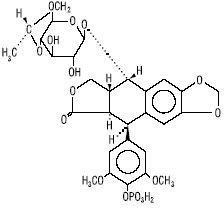
   Cấu trúc hóa học  

Tên thương mại   Tên thương mại     

Các tên thương mại được cung cấp và thành phần tá dược có thể khác nhau giữa các quốc gia và các hãng dược

Etopofos Áo, Hy Lạp, Thụy Điển
Etopophos Anh, Ba Lan, Bỉ, Bulgaria, Hà Lan, Hoa Kỳ, Israel, Luxembourg, new zealand, Pháp, Thụy Sỹ, Đức
Khả năng tương thích   Dạng tiêm   Khả năng tương thích : Etoposide phosphate              
Màn hình này cho biết khả năng tương thích hoặc không tương thích, trong trường hợp này là loại không tương thích (kết tủa, thay đổi màu sắc, sửa đổi nhũ tương, v.v.). Sự tương hợp được chỉ ra ở đây chủ yếu chỉ là vật lý, với độ ổn định hóa học của mỗi phân tử hiếm khi được đánh giá. Việc đánh giá các hỗn hợp này được nghiên cứu để xem xét khả năng sử dụng vị trí Y cho bệnh nhân. Những dữ liệu này không thể được sử dụng để tạo hỗn hợp trước trong túi hoặc ống tiêm. Loại thông tin này có sẵn trong màn hình "Độ ổn định trong hỗn hợp».
Phân tử Dung môi Mục lục
Tương thích
Dạng tiêm Etoposide phosphate 5 mg/ml
Dạng tiêm Aciclovir sodium 7 mg/ml
Glucose 5% 1410
Tương thích
Dạng tiêm Etoposide phosphate 5 mg/ml
Dạng tiêm Amikacin sulfate 5 mg/ml
Glucose 5% 1410
Tương thích
Dạng tiêm Etoposide phosphate 5 mg/ml
Dạng tiêm Aminophylline 2.5 mg/ml
Glucose 5% 1410
Lượng mưa ngay lập tức Không tương thích
Dạng tiêm Etoposide phosphate 5 mg/ml
Dạng tiêm Amphotericin B 0.6 mg/ml
Glucose 5% 1410
Tương thích
Dạng tiêm Etoposide phosphate 5 mg/ml
Dạng tiêm Ampicillin sodium 20 mg/ml
Glucose 5% 1410
Tương thích
Dạng tiêm Etoposide phosphate 5 mg/ml
Dạng tiêm Ampicillin sodium - sulbactam sodium 20/10 mg/ml
Glucose 5% 1410
Tương thích
Dạng tiêm Etoposide phosphate 5 mg/ml
Dạng tiêm Anidulafungin 0.5 mg/ml
Glucose 5% 1982
Tương thích
Dạng tiêm Etoposide phosphate 5 mg/ml
Dạng tiêm Aztreonam 40 mg/ml
Glucose 5% 1410
Tương thích
Dạng tiêm Etoposide phosphate 5 mg/ml
Dạng tiêm Bleomycin sulfate 1 mg/ml
NaCl 0,9% 1410
Tương thích
Dạng tiêm Etoposide phosphate 5 mg/ml
Dạng tiêm Bumetanide 0.04 mg/ml
Glucose 5% 1410
Tương thích
Dạng tiêm Etoposide phosphate 5 mg/ml
Dạng tiêm Buprenorphine hydrochloride 0.04 mg/ml
Glucose 5% 1410
Tương thích
Dạng tiêm Etoposide phosphate 5 mg/ml
Dạng tiêm Butorphanol tartrate 0.04 mg/ml
Glucose 5% 1410
Không tương thích không xác định Không tương thích
Dạng tiêm Etoposide phosphate
Dạng tiêm Calcium gluconate
3644
Tương thích
Dạng tiêm Etoposide phosphate 5 mg/ml
Dạng tiêm Calcium gluconate 40 mg/ml
Glucose 5% 1410
Tương thích
Dạng tiêm Etoposide phosphate 5 mg/ml
Dạng tiêm Carboplatin 5 mg/ml
Glucose 5% 1410
Tương thích
Dạng tiêm Etoposide phosphate 5 mg/ml
Dạng tiêm Carmustine 1.5 mg/ml
Glucose 5% 1410
Tương thích
Dạng tiêm Etoposide phosphate 5 mg/ml
Dạng tiêm Caspofungin acetate 0,7 mg/ml
NaCl 0,9% 2247
Tương thích
Dạng tiêm Etoposide phosphate 5 mg/ml
Dạng tiêm Cefazolin sodium 20 mg/ml
Glucose 5% 1410
Độ đục ngay lập tức Không tương thích
Dạng tiêm Etoposide phosphate 5 mg/ml
Dạng tiêm Cefepime dihydrochloride 20 mg/ml
Glucose 5% 1410
Tương thích
Dạng tiêm Etoposide phosphate 5 mg/ml
Dạng tiêm Cefonicid sodium 20 mg/ml
Glucose 5% 1410
Tương thích
Dạng tiêm Etoposide phosphate 5 mg/ml
Dạng tiêm Cefoperazone sodium 40 mg/ml
Glucose 5% 1410
Tương thích
Dạng tiêm Etoposide phosphate 5 mg/ml
Dạng tiêm Cefotaxime sodium 20 mg/ml
Glucose 5% 1410
Tương thích
Dạng tiêm Etoposide phosphate 5 mg/ml
Dạng tiêm Cefoxitin sodium 20 mg/ml
Glucose 5% 1410
Tương thích
Dạng tiêm Etoposide phosphate 5 mg/ml
Dạng tiêm Ceftazidime 40 mg/ml
Glucose 5% 1410
Tương thích
Dạng tiêm Etoposide phosphate 5 mg/ml
Dạng tiêm Ceftriaxone disodium 20 mg/ml
Glucose 5% 1410
Tương thích
Dạng tiêm Etoposide phosphate
Glucose 5% 3655
Không tương thích
Dạng tiêm Etoposide phosphate
Dạng tiêm Calcium gluconate
4964
Tương thích
Dạng tiêm Etoposide phosphate 5 mg/ml
Dạng tiêm Ceftizoxime sodium 20 mg/ml
Glucose 5% 1410
Tương thích
Dạng tiêm Etoposide phosphate 5 mg/ml
Dạng tiêm Cefuroxime sodium 30 mg/ml
Glucose 5% 1410
Độ đục ngay lập tức Không tương thích
Dạng tiêm Etoposide phosphate 5 mg/ml
Dạng tiêm Chlorpromazine hydrochloride 2 mg/ml
Glucose 5% 1410
Tương thích
Dạng tiêm Etoposide phosphate 5 mg/ml
Dạng tiêm Cimetidine hydrochloride 12 mg/ml
Glucose 5% 1410
Tương thích
Dạng tiêm Etoposide phosphate 5 mg/ml
Dạng tiêm Ciprofloxacin lactate 1 mg/ml
Glucose 5% 1410
Tương thích
Dạng tiêm Etoposide phosphate 5 mg/ml
Dạng tiêm Cisplatin 1 mg/ml
Glucose 5% 1410
Tương thích
Dạng tiêm Etoposide phosphate 5 mg/ml
Dạng tiêm Clindamycin phosphate 10 mg/ml
Glucose 5% 1410
Tương thích
Dạng tiêm Etoposide phosphate 5 mg/ml
Dạng tiêm Co-trimoxazole 0.8/4 mg/ml
Glucose 5% 1410
Tương thích
Dạng tiêm Etoposide phosphate 5 mg/ml
Dạng tiêm Cyclophosphamide 10 mg/ml
Glucose 5% 1410
Tương thích
Dạng tiêm Etoposide phosphate 5 mg/ml
Dạng tiêm Cytarabine 50 mg/ml
Glucose 5% 1410
Tương thích
Dạng tiêm Etoposide phosphate 5 mg/ml
Dạng tiêm Dacarbazine 4 mg/ml
Glucose 5% 1410
Tương thích
Dạng tiêm Etoposide phosphate 5 mg/ml
Dạng tiêm Dactinomycin 10 µg/ml
Glucose 5% 1410
Tương thích
Dạng tiêm Etoposide phosphate 5 mg/ml
Dạng tiêm Daunorubicin hydrochloride 1 mg/ml
Glucose 5% 1410
Tương thích
Dạng tiêm Etoposide phosphate 5 mg/ml
Dạng tiêm Dexamethasone sodium phosphate 1 mg/ml
Glucose 5% 1410
Tương thích
Dạng tiêm Etoposide phosphate 5 mg/ml
Dạng tiêm Diphenhydramine hydrochloride 2 mg/ml
Glucose 5% 1410
Tương thích
Dạng tiêm Etoposide phosphate 5 mg/ml
Dạng tiêm Dobutamine hydrochloride 4 mg/ml
Glucose 5% 1410
Tương thích
Dạng tiêm Etoposide phosphate 5 mg/ml
Dạng tiêm Dopamine hydrochloride 3.2 mg/ml
Glucose 5% 1410
Tương thích
Dạng tiêm Etoposide phosphate 5 mg/ml
Dạng tiêm Doripenem 5 mg/ml
NaCl 0,9% 2262
Tương thích
Dạng tiêm Etoposide phosphate 5 mg/ml
Dạng tiêm Doripenem 5 mg/ml
Glucose 5% 2262
Tương thích
Dạng tiêm Etoposide phosphate 5 mg/ml
Dạng tiêm Doxorubicin hydrochloride 2 mg/ml
Glucose 5% 1410
Tương thích
Dạng tiêm Etoposide phosphate 5 mg/ml
Dạng tiêm Doxycycline hyclate 1 mg/ml
Glucose 5% 1410
Tương thích
Dạng tiêm Etoposide phosphate 5 mg/ml
Dạng tiêm Droperidol 0.4 mg/ml
Glucose 5% 1410
Tương thích
Dạng tiêm Etoposide phosphate 5 mg/ml
Dạng tiêm Enalaprilate 0.1 mg/ml
Glucose 5% 1410
Tương thích
Dạng tiêm Etoposide phosphate 5 mg/ml
Dạng tiêm Famotidine 2 mg/ml
Glucose 5% 1410
Tương thích
Dạng tiêm Etoposide phosphate 5 mg/ml
Dạng tiêm Floxuridine 3 mg/ml
Glucose 5% 1410
Tương thích
Dạng tiêm Etoposide phosphate 5 mg/ml
Dạng tiêm Fluconazole 2 mg/ml
Glucose 5% 1410
Tương thích
Dạng tiêm Etoposide phosphate 5 mg/ml
Dạng tiêm Fludarabine phosphate 1 mg/ml
Glucose 5% 1410
Tương thích
Dạng tiêm Etoposide phosphate 5 mg/ml
Dạng tiêm Fluorouracil 16 mg/ml
Glucose 5% 1410
Tương thích
Dạng tiêm Etoposide phosphate 5 mg/ml
Dạng tiêm Folinate calcium 2 mg/ml
Glucose 5% 1410
Tương thích
Dạng tiêm Etoposide phosphate 5 mg/ml
Dạng tiêm Furosemide 3 mg/ml
Glucose 5% 1410
Tương thích
Dạng tiêm Etoposide phosphate 5 mg/ml
Dạng tiêm Gallium nitrate 0.4 mg/ml
Glucose 5% 1410
Tương thích
Dạng tiêm Etoposide phosphate 5 mg/ml
Dạng tiêm Ganciclovir sodium 20 mg/ml
Glucose 5% 1410
Tương thích
Dạng tiêm Etoposide phosphate 5 mg/ml
Dạng tiêm Gemcitabine hydrochloride 10 mg/ml
NaCl 0,9% 1423
Tương thích
Dạng tiêm Etoposide phosphate 5 mg/ml
Dạng tiêm Gentamicin sulfate 5 mg/ml
Glucose 5% 1410
Tương thích
Dạng tiêm Etoposide phosphate 5 mg/ml
Dạng tiêm Granisetron hydrochloride 0.05 mg/ml
Glucose 5% 1410
Tương thích
Dạng tiêm Etoposide phosphate 5 mg/ml
Dạng tiêm Haloperidol lactate 0.2 mg/ml
Glucose 5% 1410
Tương thích
Dạng tiêm Etoposide phosphate 5 mg/ml
Dạng tiêm Heparin sodium 100 UI/ml
Glucose 5% 1410
Tương thích
Dạng tiêm Etoposide phosphate 5 mg/ml
Dạng tiêm Hydrocortisone sodium succinate 1 mg/ml
Glucose 5% 1410
Tương thích
Dạng tiêm Etoposide phosphate 5 mg/ml
Dạng tiêm Hydromorphone hydrochloride 0.5 mg/ml
Glucose 5% 1410
Tương thích
Dạng tiêm Etoposide phosphate 5 mg/ml
Dạng tiêm Hydroxyzine dihydrochloride 4 mg/ml
Glucose 5% 1410
Tương thích
Dạng tiêm Etoposide phosphate 5 mg/ml
Dạng tiêm Idarubicin hydrochloride 0.5 mg/ml
Glucose 5% 1410
Tương thích
Dạng tiêm Etoposide phosphate 5 mg/ml
Dạng tiêm Ifosfamide 25 mg/ml
Glucose 5% 1410
Thay đổi màu sau 4 giờ Không tương thích
Dạng tiêm Etoposide phosphate 5 mg/ml
Dạng tiêm Imipenem - cilastatin sodium 10 mg/ml
NaCl 0,9% 1410
Lượng mưa ngay lập tức Không tương thích
Dạng tiêm Etoposide phosphate 5 mg/ml
Dạng tiêm Lansoprazole 0.55 mg/ml
NaCl 0,9% 1625
Tương thích
Dạng tiêm Etoposide phosphate 5 mg/ml
Dạng tiêm Linezolid 2 mg/ml
Không 1925
Tương thích
Dạng tiêm Etoposide phosphate
NaCl 0,9% 3655
Tương thích
Dạng tiêm Etoposide phosphate 5 mg/ml
Dạng tiêm Lorazepam 0.5 mg/ml
Glucose 5% 1410
Không tương thích không xác định Không tương thích
Dạng tiêm Etoposide phosphate
Dạng tiêm Magnesium sulfate
3838
Tương thích
Dạng tiêm Etoposide phosphate 5 mg/ml
Dạng tiêm Magnesium sulfate 100 mg/ml
Glucose 5% 1410
Tương thích
Dạng tiêm Etoposide phosphate 5 mg/ml
Dạng tiêm Mannitol 150 mg/ml
Glucose 5% 1410
Tương thích
Dạng tiêm Etoposide phosphate 5 mg/ml
Dạng tiêm Mesna 10 mg/ml
Glucose 5% 1410
Tương thích
Dạng tiêm Etoposide phosphate 5 mg/ml
Dạng tiêm Methotrexate sodium 15 mg/ml
Glucose 5% 1410
Độ đục ngay lập tức Không tương thích
Dạng tiêm Etoposide phosphate 5 mg/ml
Dạng tiêm Methylprednisolone sodium succinate 5 mg/ml
Glucose 5% 1410
Tương thích
Dạng tiêm Etoposide phosphate 5 mg/ml
Dạng tiêm Metoclopramide hydrochloride 5 mg/ml
Glucose 5% 1410
Tương thích
Dạng tiêm Etoposide phosphate 5 mg/ml
Dạng tiêm Metronidazole 5 mg/ml
Glucose 5% 1410
Tương thích
Dạng tiêm Etoposide phosphate 5 mg/ml
Dạng tiêm Minocycline hydrochloride 0.2 mg/ml
Glucose 5% 1410
Thay đổi màu sau 4 giờ Không tương thích
Dạng tiêm Etoposide phosphate 5 mg/ml
Dạng tiêm Mitomycin 0.5 mg/ml
Glucose 5% 1410
Tương thích
Dạng tiêm Etoposide phosphate 5 mg/ml
Dạng tiêm Mitoxantrone dihydrochloride 0.5 mg/ml
Glucose 5% 1410
Tương thích
Dạng tiêm Etoposide phosphate 5 mg/ml
Dạng tiêm Morphine sulfate 1 mg/ml
Glucose 5% 1410
Tương thích
Dạng tiêm Etoposide phosphate 5 mg/ml
Dạng tiêm Nalbuphine hydrochloride 10 mg/ml
Glucose 5% 1410
Tương thích
Dạng tiêm Etoposide phosphate 5 mg/ml
Dạng tiêm Netilmicin sulfate 5 mg/ml
Glucose 5% 1410
Tương thích
Dạng tiêm Etoposide phosphate 5 mg/ml
Dạng tiêm Ofloxacin 4 mg/ml
Glucose 5% 1410
Tương thích
Dạng tiêm Etoposide phosphate 5 mg/ml
Dạng tiêm Ondansetron hydrochloride 1 mg/ml
Glucose 5% 1410
Tương thích
Dạng tiêm Etoposide phosphate 5 mg/ml
Dạng tiêm Oxaliplatin 0,5 mg/ml
Glucose 5% 1662
Tương thích
Dạng tiêm Etoposide phosphate 5 mg/ml
Dạng tiêm Paclitaxel 1.2 mg/ml
Glucose 5% 1410
Tương thích
Dạng tiêm Etoposide phosphate 5 mg/ml
Dạng tiêm Pethidine hydrochloride 4 mg/ml
Glucose 5% 1410
Tương thích
Dạng tiêm Etoposide phosphate 5 mg/ml
Dạng tiêm Piperacillin sodium 40 mg/ml
Glucose 5% 1410
Tương thích
Dạng tiêm Etoposide phosphate 5 mg/ml
Dạng tiêm Piperacillin sodium / tazobactam 40/5 mg/ml
NaCl 0,9% 1410
Tương thích
Dạng tiêm Etoposide phosphate 5 mg/ml
Dạng tiêm Potassium chloride 100 mEq/l
Glucose 5% 1410
Độ đục ngay lập tức Không tương thích
Dạng tiêm Etoposide phosphate 5 mg/ml
Dạng tiêm Prochlorperazine edysilate 0.5 mg/ml
Glucose 5% 1410
Tương thích
Dạng tiêm Etoposide phosphate 5 mg/ml
Dạng tiêm Promethazine hydrochloride 2 mg/ml
Glucose 5% 1410
Tương thích
Dạng tiêm Etoposide phosphate 5 mg/ml
Dạng tiêm Ranitidine hydrochloride 2 mg/ml
Glucose 5% 1410
Tương thích
Dạng tiêm Etoposide phosphate 5 mg/ml
Dạng tiêm Sodium bicarbonate 84 mg/ml
Glucose 5% 1410
Tương thích
Dạng tiêm Etoposide phosphate 5 mg/ml
Dạng tiêm Streptozocin 40 mg/ml
Glucose 5% 1410
Thay đổi màu sau 4 giờ Không tương thích
Dạng tiêm Etoposide phosphate 5 mg/ml
Dạng tiêm Teniposide 0.1 mg/ml
NaCl 0,9% 1410
Tương thích
Dạng tiêm Etoposide phosphate 5 mg/ml
Dạng tiêm Thiotepa 1 mg/ml
Glucose 5% 1410
Tương thích
Dạng tiêm Etoposide phosphate 5 mg/ml
Dạng tiêm Ticarcillin / clavulanic acid 31 mg/ml
Glucose 5% 1410
Tương thích
Dạng tiêm Etoposide phosphate 5 mg/ml
Dạng tiêm Tobramycin sulfate 5 mg/ml
Glucose 5% 1410
Tương thích
Dạng tiêm Etoposide phosphate 5 mg/ml
Dạng tiêm Vancomycin hydrochloride 10 mg/ml
Glucose 5% 1410
Tương thích
Dạng tiêm Etoposide phosphate 5 mg/ml
Dạng tiêm Vinblastine sulfate 0.12 mg/ml
Glucose 5% 1410
Tương thích
Dạng tiêm Etoposide phosphate 5 mg/ml
Dạng tiêm Vincristine sulfate 0.05 mg/ml
Glucose 5% 1410
Tương thích
Dạng tiêm Etoposide phosphate 5 mg/ml
Dạng tiêm Zidovudine 4 mg/ml
Glucose 5% 1410

  Mentions Légales