最新更新 :
18/03/2026
細胞増殖抑制薬   Etoposide phosphate  
注射薬
溶媒内の安定性 混合時の安定性 安定性に影響する因子 互換性 投与経路 引用文献 PDF
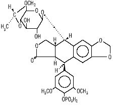
   化学構造  

商品名   商品名     

商品名、賦形剤は国、製薬会社ごとに異なることがあります

Etopofos オーストリア, ギリシア, スウェーデン
Etopophos アメリカ, イギリス, イスラエル, オランダ, スイス, ドイツ, ニュージーランド, フランス, ブルガリア, ベルギー, ポーランド, ルクセンブルグ
互換性   注射薬   互換性 : Etoposide phosphate              
This screen indicates the compatibilities or incompatibilities with, in this case, the type of incompatibility (precipitation, color change, modification of an emulsion, etc.). The compatibilities shown here are mostly physical only, with the chemical stability of each molecule rarely being assessed. The evaluation of these mixtures was studied to consider the possibility of Y-site administration to the patient. These data cannot be used for making mixtures in advance in bags or syringes. This type of information is available in the screen "Stability in mixture ».
化合物 溶媒 引用文献
対応
注射薬 Etoposide phosphate 5 mg/ml
注射薬 Aciclovir sodium 7 mg/ml
グルコース5% 1410
対応
注射薬 Etoposide phosphate 5 mg/ml
注射薬 Amikacin sulfate 5 mg/ml
グルコース5% 1410
対応
注射薬 Etoposide phosphate 5 mg/ml
注射薬 Aminophylline 2.5 mg/ml
グルコース5% 1410
即時降水 非互換
注射薬 Etoposide phosphate 5 mg/ml
注射薬 Amphotericin B 0.6 mg/ml
グルコース5% 1410
対応
注射薬 Etoposide phosphate 5 mg/ml
注射薬 Ampicillin sodium 20 mg/ml
グルコース5% 1410
対応
注射薬 Etoposide phosphate 5 mg/ml
注射薬 Ampicillin sodium - sulbactam sodium 20/10 mg/ml
グルコース5% 1410
対応
注射薬 Etoposide phosphate 5 mg/ml
注射薬 Anidulafungin 0.5 mg/ml
グルコース5% 1982
対応
注射薬 Etoposide phosphate 5 mg/ml
注射薬 Aztreonam 40 mg/ml
グルコース5% 1410
対応
注射薬 Etoposide phosphate 5 mg/ml
注射薬 Bleomycin sulfate 1 mg/ml
NaCl 0,9% 1410
対応
注射薬 Etoposide phosphate 5 mg/ml
注射薬 Bumetanide 0.04 mg/ml
グルコース5% 1410
対応
注射薬 Etoposide phosphate 5 mg/ml
注射薬 Buprenorphine hydrochloride 0.04 mg/ml
グルコース5% 1410
対応
注射薬 Etoposide phosphate 5 mg/ml
注射薬 Butorphanol tartrate 0.04 mg/ml
グルコース5% 1410
不特定の非互換性 非互換
注射薬 Etoposide phosphate
注射薬 Calcium gluconate
3644
対応
注射薬 Etoposide phosphate 5 mg/ml
注射薬 Calcium gluconate 40 mg/ml
グルコース5% 1410
対応
注射薬 Etoposide phosphate 5 mg/ml
注射薬 Carboplatin 5 mg/ml
グルコース5% 1410
対応
注射薬 Etoposide phosphate 5 mg/ml
注射薬 Carmustine 1.5 mg/ml
グルコース5% 1410
対応
注射薬 Etoposide phosphate 5 mg/ml
注射薬 Caspofungin acetate 0,7 mg/ml
NaCl 0,9% 2247
対応
注射薬 Etoposide phosphate 5 mg/ml
注射薬 Cefazolin sodium 20 mg/ml
グルコース5% 1410
すぐに濁り 非互換
注射薬 Etoposide phosphate 5 mg/ml
注射薬 Cefepime dihydrochloride 20 mg/ml
グルコース5% 1410
対応
注射薬 Etoposide phosphate 5 mg/ml
注射薬 Cefonicid sodium 20 mg/ml
グルコース5% 1410
対応
注射薬 Etoposide phosphate 5 mg/ml
注射薬 Cefoperazone sodium 40 mg/ml
グルコース5% 1410
対応
注射薬 Etoposide phosphate 5 mg/ml
注射薬 Cefotaxime sodium 20 mg/ml
グルコース5% 1410
対応
注射薬 Etoposide phosphate 5 mg/ml
注射薬 Cefoxitin sodium 20 mg/ml
グルコース5% 1410
対応
注射薬 Etoposide phosphate 5 mg/ml
注射薬 Ceftazidime 40 mg/ml
グルコース5% 1410
対応
注射薬 Etoposide phosphate 5 mg/ml
注射薬 Ceftriaxone disodium 20 mg/ml
グルコース5% 1410
対応
注射薬 Etoposide phosphate
グルコース5% 3655
非互換
注射薬 Etoposide phosphate
注射薬 Calcium gluconate
4964
対応
注射薬 Etoposide phosphate 5 mg/ml
注射薬 Ceftizoxime sodium 20 mg/ml
グルコース5% 1410
対応
注射薬 Etoposide phosphate 5 mg/ml
注射薬 Cefuroxime sodium 30 mg/ml
グルコース5% 1410
すぐに濁り 非互換
注射薬 Etoposide phosphate 5 mg/ml
注射薬 Chlorpromazine hydrochloride 2 mg/ml
グルコース5% 1410
対応
注射薬 Etoposide phosphate 5 mg/ml
注射薬 Cimetidine hydrochloride 12 mg/ml
グルコース5% 1410
対応
注射薬 Etoposide phosphate 5 mg/ml
注射薬 Ciprofloxacin lactate 1 mg/ml
グルコース5% 1410
対応
注射薬 Etoposide phosphate 5 mg/ml
注射薬 Cisplatin 1 mg/ml
グルコース5% 1410
対応
注射薬 Etoposide phosphate 5 mg/ml
注射薬 Clindamycin phosphate 10 mg/ml
グルコース5% 1410
対応
注射薬 Etoposide phosphate 5 mg/ml
注射薬 Co-trimoxazole 0.8/4 mg/ml
グルコース5% 1410
対応
注射薬 Etoposide phosphate 5 mg/ml
注射薬 Cyclophosphamide 10 mg/ml
グルコース5% 1410
対応
注射薬 Etoposide phosphate 5 mg/ml
注射薬 Cytarabine 50 mg/ml
グルコース5% 1410
対応
注射薬 Etoposide phosphate 5 mg/ml
注射薬 Dacarbazine 4 mg/ml
グルコース5% 1410
対応
注射薬 Etoposide phosphate 5 mg/ml
注射薬 Dactinomycin 10 µg/ml
グルコース5% 1410
対応
注射薬 Etoposide phosphate 5 mg/ml
注射薬 Daunorubicin hydrochloride 1 mg/ml
グルコース5% 1410
対応
注射薬 Etoposide phosphate 5 mg/ml
注射薬 Dexamethasone sodium phosphate 1 mg/ml
グルコース5% 1410
対応
注射薬 Etoposide phosphate 5 mg/ml
注射薬 Diphenhydramine hydrochloride 2 mg/ml
グルコース5% 1410
対応
注射薬 Etoposide phosphate 5 mg/ml
注射薬 Dobutamine hydrochloride 4 mg/ml
グルコース5% 1410
対応
注射薬 Etoposide phosphate 5 mg/ml
注射薬 Dopamine hydrochloride 3.2 mg/ml
グルコース5% 1410
対応
注射薬 Etoposide phosphate 5 mg/ml
注射薬 Doripenem 5 mg/ml
NaCl 0,9% 2262
対応
注射薬 Etoposide phosphate 5 mg/ml
注射薬 Doripenem 5 mg/ml
グルコース5% 2262
対応
注射薬 Etoposide phosphate 5 mg/ml
注射薬 Doxorubicin hydrochloride 2 mg/ml
グルコース5% 1410
対応
注射薬 Etoposide phosphate 5 mg/ml
注射薬 Doxycycline hyclate 1 mg/ml
グルコース5% 1410
対応
注射薬 Etoposide phosphate 5 mg/ml
注射薬 Droperidol 0.4 mg/ml
グルコース5% 1410
対応
注射薬 Etoposide phosphate 5 mg/ml
注射薬 Enalaprilate 0.1 mg/ml
グルコース5% 1410
対応
注射薬 Etoposide phosphate 5 mg/ml
注射薬 Famotidine 2 mg/ml
グルコース5% 1410
対応
注射薬 Etoposide phosphate 5 mg/ml
注射薬 Floxuridine 3 mg/ml
グルコース5% 1410
対応
注射薬 Etoposide phosphate 5 mg/ml
注射薬 Fluconazole 2 mg/ml
グルコース5% 1410
対応
注射薬 Etoposide phosphate 5 mg/ml
注射薬 Fludarabine phosphate 1 mg/ml
グルコース5% 1410
対応
注射薬 Etoposide phosphate 5 mg/ml
注射薬 Fluorouracil 16 mg/ml
グルコース5% 1410
対応
注射薬 Etoposide phosphate 5 mg/ml
注射薬 Folinate calcium 2 mg/ml
グルコース5% 1410
対応
注射薬 Etoposide phosphate 5 mg/ml
注射薬 Furosemide 3 mg/ml
グルコース5% 1410
対応
注射薬 Etoposide phosphate 5 mg/ml
注射薬 Gallium nitrate 0.4 mg/ml
グルコース5% 1410
対応
注射薬 Etoposide phosphate 5 mg/ml
注射薬 Ganciclovir sodium 20 mg/ml
グルコース5% 1410
対応
注射薬 Etoposide phosphate 5 mg/ml
注射薬 Gemcitabine hydrochloride 10 mg/ml
NaCl 0,9% 1423
対応
注射薬 Etoposide phosphate 5 mg/ml
注射薬 Gentamicin sulfate 5 mg/ml
グルコース5% 1410
対応
注射薬 Etoposide phosphate 5 mg/ml
注射薬 Granisetron hydrochloride 0.05 mg/ml
グルコース5% 1410
対応
注射薬 Etoposide phosphate 5 mg/ml
注射薬 Haloperidol lactate 0.2 mg/ml
グルコース5% 1410
対応
注射薬 Etoposide phosphate 5 mg/ml
注射薬 Heparin sodium 100 UI/ml
グルコース5% 1410
対応
注射薬 Etoposide phosphate 5 mg/ml
注射薬 Hydrocortisone sodium succinate 1 mg/ml
グルコース5% 1410
対応
注射薬 Etoposide phosphate 5 mg/ml
注射薬 Hydromorphone hydrochloride 0.5 mg/ml
グルコース5% 1410
対応
注射薬 Etoposide phosphate 5 mg/ml
注射薬 Hydroxyzine dihydrochloride 4 mg/ml
グルコース5% 1410
対応
注射薬 Etoposide phosphate 5 mg/ml
注射薬 Idarubicin hydrochloride 0.5 mg/ml
グルコース5% 1410
対応
注射薬 Etoposide phosphate 5 mg/ml
注射薬 Ifosfamide 25 mg/ml
グルコース5% 1410
4時間後の色の変化 非互換
注射薬 Etoposide phosphate 5 mg/ml
注射薬 Imipenem - cilastatin sodium 10 mg/ml
NaCl 0,9% 1410
即時降水 非互換
注射薬 Etoposide phosphate 5 mg/ml
注射薬 Lansoprazole 0.55 mg/ml
NaCl 0,9% 1625
対応
注射薬 Etoposide phosphate 5 mg/ml
注射薬 Linezolid 2 mg/ml
なし 1925
対応
注射薬 Etoposide phosphate
NaCl 0,9% 3655
対応
注射薬 Etoposide phosphate 5 mg/ml
注射薬 Lorazepam 0.5 mg/ml
グルコース5% 1410
不特定の非互換性 非互換
注射薬 Etoposide phosphate
注射薬 Magnesium sulfate
3838
対応
注射薬 Etoposide phosphate 5 mg/ml
注射薬 Magnesium sulfate 100 mg/ml
グルコース5% 1410
対応
注射薬 Etoposide phosphate 5 mg/ml
注射薬 Mannitol 150 mg/ml
グルコース5% 1410
対応
注射薬 Etoposide phosphate 5 mg/ml
注射薬 Mesna 10 mg/ml
グルコース5% 1410
対応
注射薬 Etoposide phosphate 5 mg/ml
注射薬 Methotrexate sodium 15 mg/ml
グルコース5% 1410
すぐに濁り 非互換
注射薬 Etoposide phosphate 5 mg/ml
注射薬 Methylprednisolone sodium succinate 5 mg/ml
グルコース5% 1410
対応
注射薬 Etoposide phosphate 5 mg/ml
注射薬 Metoclopramide hydrochloride 5 mg/ml
グルコース5% 1410
対応
注射薬 Etoposide phosphate 5 mg/ml
注射薬 Metronidazole 5 mg/ml
グルコース5% 1410
対応
注射薬 Etoposide phosphate 5 mg/ml
注射薬 Minocycline hydrochloride 0.2 mg/ml
グルコース5% 1410
4時間後の色の変化 非互換
注射薬 Etoposide phosphate 5 mg/ml
注射薬 Mitomycin 0.5 mg/ml
グルコース5% 1410
対応
注射薬 Etoposide phosphate 5 mg/ml
注射薬 Mitoxantrone dihydrochloride 0.5 mg/ml
グルコース5% 1410
対応
注射薬 Etoposide phosphate 5 mg/ml
注射薬 Morphine sulfate 1 mg/ml
グルコース5% 1410
対応
注射薬 Etoposide phosphate 5 mg/ml
注射薬 Nalbuphine hydrochloride 10 mg/ml
グルコース5% 1410
対応
注射薬 Etoposide phosphate 5 mg/ml
注射薬 Netilmicin sulfate 5 mg/ml
グルコース5% 1410
対応
注射薬 Etoposide phosphate 5 mg/ml
注射薬 Ofloxacin 4 mg/ml
グルコース5% 1410
対応
注射薬 Etoposide phosphate 5 mg/ml
注射薬 Ondansetron hydrochloride 1 mg/ml
グルコース5% 1410
対応
注射薬 Etoposide phosphate 5 mg/ml
注射薬 Oxaliplatin 0,5 mg/ml
グルコース5% 1662
対応
注射薬 Etoposide phosphate 5 mg/ml
注射薬 Paclitaxel 1.2 mg/ml
グルコース5% 1410
対応
注射薬 Etoposide phosphate 5 mg/ml
注射薬 Pethidine hydrochloride 4 mg/ml
グルコース5% 1410
対応
注射薬 Etoposide phosphate 5 mg/ml
注射薬 Piperacillin sodium 40 mg/ml
グルコース5% 1410
対応
注射薬 Etoposide phosphate 5 mg/ml
注射薬 Piperacillin sodium / tazobactam 40/5 mg/ml
NaCl 0,9% 1410
対応
注射薬 Etoposide phosphate 5 mg/ml
注射薬 Potassium chloride 100 mEq/l
グルコース5% 1410
すぐに濁り 非互換
注射薬 Etoposide phosphate 5 mg/ml
注射薬 Prochlorperazine edysilate 0.5 mg/ml
グルコース5% 1410
対応
注射薬 Etoposide phosphate 5 mg/ml
注射薬 Promethazine hydrochloride 2 mg/ml
グルコース5% 1410
対応
注射薬 Etoposide phosphate 5 mg/ml
注射薬 Ranitidine hydrochloride 2 mg/ml
グルコース5% 1410
対応
注射薬 Etoposide phosphate 5 mg/ml
注射薬 Sodium bicarbonate 84 mg/ml
グルコース5% 1410
対応
注射薬 Etoposide phosphate 5 mg/ml
注射薬 Streptozocin 40 mg/ml
グルコース5% 1410
4時間後の色の変化 非互換
注射薬 Etoposide phosphate 5 mg/ml
注射薬 Teniposide 0.1 mg/ml
NaCl 0,9% 1410
対応
注射薬 Etoposide phosphate 5 mg/ml
注射薬 Thiotepa 1 mg/ml
グルコース5% 1410
対応
注射薬 Etoposide phosphate 5 mg/ml
注射薬 Ticarcillin / clavulanic acid 31 mg/ml
グルコース5% 1410
対応
注射薬 Etoposide phosphate 5 mg/ml
注射薬 Tobramycin sulfate 5 mg/ml
グルコース5% 1410
対応
注射薬 Etoposide phosphate 5 mg/ml
注射薬 Vancomycin hydrochloride 10 mg/ml
グルコース5% 1410
対応
注射薬 Etoposide phosphate 5 mg/ml
注射薬 Vinblastine sulfate 0.12 mg/ml
グルコース5% 1410
対応
注射薬 Etoposide phosphate 5 mg/ml
注射薬 Vincristine sulfate 0.05 mg/ml
グルコース5% 1410
対応
注射薬 Etoposide phosphate 5 mg/ml
注射薬 Zidovudine 4 mg/ml
グルコース5% 1410

  Mentions Légales