zadnja posodobitev :
18/03/2026
rak drog   Etoposide phosphate  
Brizgalka
Stabilnost raztopine Stabilnost mešanice Faktorji, ki vplivajo na stabilnost Kompatibilnost način aplikacije Viri pdf
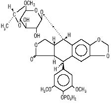
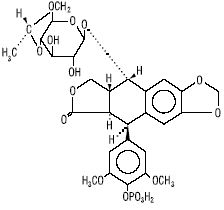
   Kemična formula  

Lastniško ime   Lastniško ime     

Sestava pomožnih snovi je med paralelami lahko različna

Etopofos Avstrija, Grčija, Švedska
Etopophos Belgija, Bolgarija, Francija, Izrael, Luksemburg, Nemčija, Nizozemska, nova Zelandija, Poljska, Švica, Velika Britanija, Združene države Amerike
Kompatibilnost   Brizgalka   Kompatibilnost : Etoposide phosphate              
Ta zaslon prikazuje združljivost ali nezdružljivost s, v tem primeru, vrsto nezdružljivosti (padavine, sprememba barve, sprememba emulzije itd.). Tu prikazane združljivosti so večinoma samo fizične, pri čemer se kemijska stabilnost vsake molekule redko ocenjuje. Vrednotenje teh zmesi so preučevali, da bi preučili možnost pacientovega dajanja na mestu Y. Teh podatkov ni mogoče uporabiti za pripravo mešanic v vrečkah ali brizgah. Ta vrsta informacij je na voljo na zaslonu "Obstojnost v mešanici".
Sestava Topilo Viri
Združljivo
Brizgalka Etoposide phosphate 5 mg/ml
Brizgalka Aciclovir sodium 7 mg/ml
Glukoza 5% 1410
Združljivo
Brizgalka Etoposide phosphate 5 mg/ml
Brizgalka Amikacin sulfate 5 mg/ml
Glukoza 5% 1410
Združljivo
Brizgalka Etoposide phosphate 5 mg/ml
Brizgalka Aminophylline 2.5 mg/ml
Glukoza 5% 1410
Takoj padavine Nezdružljivo
Brizgalka Etoposide phosphate 5 mg/ml
Brizgalka Amphotericin B 0.6 mg/ml
Glukoza 5% 1410
Združljivo
Brizgalka Etoposide phosphate 5 mg/ml
Brizgalka Ampicillin sodium 20 mg/ml
Glukoza 5% 1410
Združljivo
Brizgalka Etoposide phosphate 5 mg/ml
Brizgalka Ampicillin sodium - sulbactam sodium 20/10 mg/ml
Glukoza 5% 1410
Združljivo
Brizgalka Etoposide phosphate 5 mg/ml
Brizgalka Anidulafungin 0.5 mg/ml
Glukoza 5% 1982
Združljivo
Brizgalka Etoposide phosphate 5 mg/ml
Brizgalka Aztreonam 40 mg/ml
Glukoza 5% 1410
Združljivo
Brizgalka Etoposide phosphate 5 mg/ml
Brizgalka Bleomycin sulfate 1 mg/ml
Natrijev klorid 0,9% 1410
Združljivo
Brizgalka Etoposide phosphate 5 mg/ml
Brizgalka Bumetanide 0.04 mg/ml
Glukoza 5% 1410
Združljivo
Brizgalka Etoposide phosphate 5 mg/ml
Brizgalka Buprenorphine hydrochloride 0.04 mg/ml
Glukoza 5% 1410
Združljivo
Brizgalka Etoposide phosphate 5 mg/ml
Brizgalka Butorphanol tartrate 0.04 mg/ml
Glukoza 5% 1410
Nedoločena nezdružljivost Nezdružljivo
Brizgalka Etoposide phosphate
Brizgalka Calcium gluconate
3644
Združljivo
Brizgalka Etoposide phosphate 5 mg/ml
Brizgalka Calcium gluconate 40 mg/ml
Glukoza 5% 1410
Združljivo
Brizgalka Etoposide phosphate 5 mg/ml
Brizgalka Carboplatin 5 mg/ml
Glukoza 5% 1410
Združljivo
Brizgalka Etoposide phosphate 5 mg/ml
Brizgalka Carmustine 1.5 mg/ml
Glukoza 5% 1410
Združljivo
Brizgalka Etoposide phosphate 5 mg/ml
Brizgalka Caspofungin acetate 0,7 mg/ml
Natrijev klorid 0,9% 2247
Združljivo
Brizgalka Etoposide phosphate 5 mg/ml
Brizgalka Cefazolin sodium 20 mg/ml
Glukoza 5% 1410
Takojšnja motnost Nezdružljivo
Brizgalka Etoposide phosphate 5 mg/ml
Brizgalka Cefepime dihydrochloride 20 mg/ml
Glukoza 5% 1410
Združljivo
Brizgalka Etoposide phosphate 5 mg/ml
Brizgalka Cefonicid sodium 20 mg/ml
Glukoza 5% 1410
Združljivo
Brizgalka Etoposide phosphate 5 mg/ml
Brizgalka Cefoperazone sodium 40 mg/ml
Glukoza 5% 1410
Združljivo
Brizgalka Etoposide phosphate 5 mg/ml
Brizgalka Cefotaxime sodium 20 mg/ml
Glukoza 5% 1410
Združljivo
Brizgalka Etoposide phosphate 5 mg/ml
Brizgalka Cefoxitin sodium 20 mg/ml
Glukoza 5% 1410
Združljivo
Brizgalka Etoposide phosphate 5 mg/ml
Brizgalka Ceftazidime 40 mg/ml
Glukoza 5% 1410
Združljivo
Brizgalka Etoposide phosphate 5 mg/ml
Brizgalka Ceftriaxone disodium 20 mg/ml
Glukoza 5% 1410
Združljivo
Brizgalka Etoposide phosphate
Glukoza 5% 3655
Nezdružljivo
Brizgalka Etoposide phosphate
Brizgalka Calcium gluconate
4964
Združljivo
Brizgalka Etoposide phosphate 5 mg/ml
Brizgalka Ceftizoxime sodium 20 mg/ml
Glukoza 5% 1410
Združljivo
Brizgalka Etoposide phosphate 5 mg/ml
Brizgalka Cefuroxime sodium 30 mg/ml
Glukoza 5% 1410
Takojšnja motnost Nezdružljivo
Brizgalka Etoposide phosphate 5 mg/ml
Brizgalka Chlorpromazine hydrochloride 2 mg/ml
Glukoza 5% 1410
Združljivo
Brizgalka Etoposide phosphate 5 mg/ml
Brizgalka Cimetidine hydrochloride 12 mg/ml
Glukoza 5% 1410
Združljivo
Brizgalka Etoposide phosphate 5 mg/ml
Brizgalka Ciprofloxacin lactate 1 mg/ml
Glukoza 5% 1410
Združljivo
Brizgalka Etoposide phosphate 5 mg/ml
Brizgalka Cisplatin 1 mg/ml
Glukoza 5% 1410
Združljivo
Brizgalka Etoposide phosphate 5 mg/ml
Brizgalka Clindamycin phosphate 10 mg/ml
Glukoza 5% 1410
Združljivo
Brizgalka Etoposide phosphate 5 mg/ml
Brizgalka Co-trimoxazole 0.8/4 mg/ml
Glukoza 5% 1410
Združljivo
Brizgalka Etoposide phosphate 5 mg/ml
Brizgalka Cyclophosphamide 10 mg/ml
Glukoza 5% 1410
Združljivo
Brizgalka Etoposide phosphate 5 mg/ml
Brizgalka Cytarabine 50 mg/ml
Glukoza 5% 1410
Združljivo
Brizgalka Etoposide phosphate 5 mg/ml
Brizgalka Dacarbazine 4 mg/ml
Glukoza 5% 1410
Združljivo
Brizgalka Etoposide phosphate 5 mg/ml
Brizgalka Dactinomycin 10 µg/ml
Glukoza 5% 1410
Združljivo
Brizgalka Etoposide phosphate 5 mg/ml
Brizgalka Daunorubicin hydrochloride 1 mg/ml
Glukoza 5% 1410
Združljivo
Brizgalka Etoposide phosphate 5 mg/ml
Brizgalka Dexamethasone sodium phosphate 1 mg/ml
Glukoza 5% 1410
Združljivo
Brizgalka Etoposide phosphate 5 mg/ml
Brizgalka Diphenhydramine hydrochloride 2 mg/ml
Glukoza 5% 1410
Združljivo
Brizgalka Etoposide phosphate 5 mg/ml
Brizgalka Dobutamine hydrochloride 4 mg/ml
Glukoza 5% 1410
Združljivo
Brizgalka Etoposide phosphate 5 mg/ml
Brizgalka Dopamine hydrochloride 3.2 mg/ml
Glukoza 5% 1410
Združljivo
Brizgalka Etoposide phosphate 5 mg/ml
Brizgalka Doripenem 5 mg/ml
Natrijev klorid 0,9% 2262
Združljivo
Brizgalka Etoposide phosphate 5 mg/ml
Brizgalka Doripenem 5 mg/ml
Glukoza 5% 2262
Združljivo
Brizgalka Etoposide phosphate 5 mg/ml
Brizgalka Doxorubicin hydrochloride 2 mg/ml
Glukoza 5% 1410
Združljivo
Brizgalka Etoposide phosphate 5 mg/ml
Brizgalka Doxycycline hyclate 1 mg/ml
Glukoza 5% 1410
Združljivo
Brizgalka Etoposide phosphate 5 mg/ml
Brizgalka Droperidol 0.4 mg/ml
Glukoza 5% 1410
Združljivo
Brizgalka Etoposide phosphate 5 mg/ml
Brizgalka Enalaprilate 0.1 mg/ml
Glukoza 5% 1410
Združljivo
Brizgalka Etoposide phosphate 5 mg/ml
Brizgalka Famotidine 2 mg/ml
Glukoza 5% 1410
Združljivo
Brizgalka Etoposide phosphate 5 mg/ml
Brizgalka Floxuridine 3 mg/ml
Glukoza 5% 1410
Združljivo
Brizgalka Etoposide phosphate 5 mg/ml
Brizgalka Fluconazole 2 mg/ml
Glukoza 5% 1410
Združljivo
Brizgalka Etoposide phosphate 5 mg/ml
Brizgalka Fludarabine phosphate 1 mg/ml
Glukoza 5% 1410
Združljivo
Brizgalka Etoposide phosphate 5 mg/ml
Brizgalka Fluorouracil 16 mg/ml
Glukoza 5% 1410
Združljivo
Brizgalka Etoposide phosphate 5 mg/ml
Brizgalka Folinate calcium 2 mg/ml
Glukoza 5% 1410
Združljivo
Brizgalka Etoposide phosphate 5 mg/ml
Brizgalka Furosemide 3 mg/ml
Glukoza 5% 1410
Združljivo
Brizgalka Etoposide phosphate 5 mg/ml
Brizgalka Gallium nitrate 0.4 mg/ml
Glukoza 5% 1410
Združljivo
Brizgalka Etoposide phosphate 5 mg/ml
Brizgalka Ganciclovir sodium 20 mg/ml
Glukoza 5% 1410
Združljivo
Brizgalka Etoposide phosphate 5 mg/ml
Brizgalka Gemcitabine hydrochloride 10 mg/ml
Natrijev klorid 0,9% 1423
Združljivo
Brizgalka Etoposide phosphate 5 mg/ml
Brizgalka Gentamicin sulfate 5 mg/ml
Glukoza 5% 1410
Združljivo
Brizgalka Etoposide phosphate 5 mg/ml
Brizgalka Granisetron hydrochloride 0.05 mg/ml
Glukoza 5% 1410
Združljivo
Brizgalka Etoposide phosphate 5 mg/ml
Brizgalka Haloperidol lactate 0.2 mg/ml
Glukoza 5% 1410
Združljivo
Brizgalka Etoposide phosphate 5 mg/ml
Brizgalka Heparin sodium 100 UI/ml
Glukoza 5% 1410
Združljivo
Brizgalka Etoposide phosphate 5 mg/ml
Brizgalka Hydrocortisone sodium succinate 1 mg/ml
Glukoza 5% 1410
Združljivo
Brizgalka Etoposide phosphate 5 mg/ml
Brizgalka Hydromorphone hydrochloride 0.5 mg/ml
Glukoza 5% 1410
Združljivo
Brizgalka Etoposide phosphate 5 mg/ml
Brizgalka Hydroxyzine dihydrochloride 4 mg/ml
Glukoza 5% 1410
Združljivo
Brizgalka Etoposide phosphate 5 mg/ml
Brizgalka Idarubicin hydrochloride 0.5 mg/ml
Glukoza 5% 1410
Združljivo
Brizgalka Etoposide phosphate 5 mg/ml
Brizgalka Ifosfamide 25 mg/ml
Glukoza 5% 1410
Sprememba barve po 4 urah Nezdružljivo
Brizgalka Etoposide phosphate 5 mg/ml
Brizgalka Imipenem - cilastatin sodium 10 mg/ml
Natrijev klorid 0,9% 1410
Takoj padavine Nezdružljivo
Brizgalka Etoposide phosphate 5 mg/ml
Brizgalka Lansoprazole 0.55 mg/ml
Natrijev klorid 0,9% 1625
Združljivo
Brizgalka Etoposide phosphate 5 mg/ml
Brizgalka Linezolid 2 mg/ml
Nobeden 1925
Združljivo
Brizgalka Etoposide phosphate
Natrijev klorid 0,9% 3655
Združljivo
Brizgalka Etoposide phosphate 5 mg/ml
Brizgalka Lorazepam 0.5 mg/ml
Glukoza 5% 1410
Nedoločena nezdružljivost Nezdružljivo
Brizgalka Etoposide phosphate
Brizgalka Magnesium sulfate
3838
Združljivo
Brizgalka Etoposide phosphate 5 mg/ml
Brizgalka Magnesium sulfate 100 mg/ml
Glukoza 5% 1410
Združljivo
Brizgalka Etoposide phosphate 5 mg/ml
Brizgalka Mannitol 150 mg/ml
Glukoza 5% 1410
Združljivo
Brizgalka Etoposide phosphate 5 mg/ml
Brizgalka Mesna 10 mg/ml
Glukoza 5% 1410
Združljivo
Brizgalka Etoposide phosphate 5 mg/ml
Brizgalka Methotrexate sodium 15 mg/ml
Glukoza 5% 1410
Takojšnja motnost Nezdružljivo
Brizgalka Etoposide phosphate 5 mg/ml
Brizgalka Methylprednisolone sodium succinate 5 mg/ml
Glukoza 5% 1410
Združljivo
Brizgalka Etoposide phosphate 5 mg/ml
Brizgalka Metoclopramide hydrochloride 5 mg/ml
Glukoza 5% 1410
Združljivo
Brizgalka Etoposide phosphate 5 mg/ml
Brizgalka Metronidazole 5 mg/ml
Glukoza 5% 1410
Združljivo
Brizgalka Etoposide phosphate 5 mg/ml
Brizgalka Minocycline hydrochloride 0.2 mg/ml
Glukoza 5% 1410
Sprememba barve po 4 urah Nezdružljivo
Brizgalka Etoposide phosphate 5 mg/ml
Brizgalka Mitomycin 0.5 mg/ml
Glukoza 5% 1410
Združljivo
Brizgalka Etoposide phosphate 5 mg/ml
Brizgalka Mitoxantrone dihydrochloride 0.5 mg/ml
Glukoza 5% 1410
Združljivo
Brizgalka Etoposide phosphate 5 mg/ml
Brizgalka Morphine sulfate 1 mg/ml
Glukoza 5% 1410
Združljivo
Brizgalka Etoposide phosphate 5 mg/ml
Brizgalka Nalbuphine hydrochloride 10 mg/ml
Glukoza 5% 1410
Združljivo
Brizgalka Etoposide phosphate 5 mg/ml
Brizgalka Netilmicin sulfate 5 mg/ml
Glukoza 5% 1410
Združljivo
Brizgalka Etoposide phosphate 5 mg/ml
Brizgalka Ofloxacin 4 mg/ml
Glukoza 5% 1410
Združljivo
Brizgalka Etoposide phosphate 5 mg/ml
Brizgalka Ondansetron hydrochloride 1 mg/ml
Glukoza 5% 1410
Združljivo
Brizgalka Etoposide phosphate 5 mg/ml
Brizgalka Oxaliplatin 0,5 mg/ml
Glukoza 5% 1662
Združljivo
Brizgalka Etoposide phosphate 5 mg/ml
Brizgalka Paclitaxel 1.2 mg/ml
Glukoza 5% 1410
Združljivo
Brizgalka Etoposide phosphate 5 mg/ml
Brizgalka Pethidine hydrochloride 4 mg/ml
Glukoza 5% 1410
Združljivo
Brizgalka Etoposide phosphate 5 mg/ml
Brizgalka Piperacillin sodium 40 mg/ml
Glukoza 5% 1410
Združljivo
Brizgalka Etoposide phosphate 5 mg/ml
Brizgalka Piperacillin sodium / tazobactam 40/5 mg/ml
Natrijev klorid 0,9% 1410
Združljivo
Brizgalka Etoposide phosphate 5 mg/ml
Brizgalka Potassium chloride 100 mEq/l
Glukoza 5% 1410
Takojšnja motnost Nezdružljivo
Brizgalka Etoposide phosphate 5 mg/ml
Brizgalka Prochlorperazine edysilate 0.5 mg/ml
Glukoza 5% 1410
Združljivo
Brizgalka Etoposide phosphate 5 mg/ml
Brizgalka Promethazine hydrochloride 2 mg/ml
Glukoza 5% 1410
Združljivo
Brizgalka Etoposide phosphate 5 mg/ml
Brizgalka Ranitidine hydrochloride 2 mg/ml
Glukoza 5% 1410
Združljivo
Brizgalka Etoposide phosphate 5 mg/ml
Brizgalka Sodium bicarbonate 84 mg/ml
Glukoza 5% 1410
Združljivo
Brizgalka Etoposide phosphate 5 mg/ml
Brizgalka Streptozocin 40 mg/ml
Glukoza 5% 1410
Sprememba barve po 4 urah Nezdružljivo
Brizgalka Etoposide phosphate 5 mg/ml
Brizgalka Teniposide 0.1 mg/ml
Natrijev klorid 0,9% 1410
Združljivo
Brizgalka Etoposide phosphate 5 mg/ml
Brizgalka Thiotepa 1 mg/ml
Glukoza 5% 1410
Združljivo
Brizgalka Etoposide phosphate 5 mg/ml
Brizgalka Ticarcillin / clavulanic acid 31 mg/ml
Glukoza 5% 1410
Združljivo
Brizgalka Etoposide phosphate 5 mg/ml
Brizgalka Tobramycin sulfate 5 mg/ml
Glukoza 5% 1410
Združljivo
Brizgalka Etoposide phosphate 5 mg/ml
Brizgalka Vancomycin hydrochloride 10 mg/ml
Glukoza 5% 1410
Združljivo
Brizgalka Etoposide phosphate 5 mg/ml
Brizgalka Vinblastine sulfate 0.12 mg/ml
Glukoza 5% 1410
Združljivo
Brizgalka Etoposide phosphate 5 mg/ml
Brizgalka Vincristine sulfate 0.05 mg/ml
Glukoza 5% 1410
Združljivo
Brizgalka Etoposide phosphate 5 mg/ml
Brizgalka Zidovudine 4 mg/ml
Glukoza 5% 1410

  Mentions Légales