Viimeisin päivitys :
18/03/2026
syöpälääke   Etoposide phosphate  
Injektioneste
Stabilius liuoksessa Stabilius seoksissa Tekijät, jotka vaikuttavat stabiliuteen Yhteensopivuus Antotapa Viitteet pdf
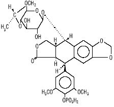
   Kemiallinen rakenne  

Kauppanimi   Kauppanimi     

Trade names are indicative and excipients composition can be different depending on the country and manufacturers

Etopofos Itävalta, Kreikka, Ruotsi
Etopophos Belgia, Bulgaria, Hollanti, Iso-Britannia, Israel, Luxemburg, New Zealand, Puola, Ranska, Saksa, Sveitsi, Yhdysvallat
Yhteensopivuus   Injektioneste   Yhteensopivuus : Etoposide phosphate              
Tämä näyttö osoittaa yhteensopivuuden tai yhteensopimattomuuden yhteensopimattomuuden tyypin kanssa (saostuminen, värinmuutos, emulsiomuutos jne.). Tässä esitetty yhteensopivuus on useimmissa tapauksissa vain fysikaalinen, ja kunkin molekyylin kemiallista stabiilisuutta arvioidaan harvoin. Näiden seosten arviointia tutkittiin mahdollisuuden antaa Y-kohta potilaalle. Näitä tietoja ei voida käyttää seosten valmistamiseen etukäteen pusseissa tai ruiskuissa. Tämäntyyppiset tiedot ovat saatavilla "Stabiilisuus seoksessa" -näytössä.
Yhdiste Liuotin Viitteet
Yhteensopiva
Injektioneste Etoposide phosphate 5 mg/ml
Injektioneste Aciclovir sodium 7 mg/ml
Glukoosi 5% 1410
Yhteensopiva
Injektioneste Etoposide phosphate 5 mg/ml
Injektioneste Amikacin sulfate 5 mg/ml
Glukoosi 5% 1410
Yhteensopiva
Injektioneste Etoposide phosphate 5 mg/ml
Injektioneste Aminophylline 2.5 mg/ml
Glukoosi 5% 1410
Välittömät sateet yhteensopimaton
Injektioneste Etoposide phosphate 5 mg/ml
Injektioneste Amphotericin B 0.6 mg/ml
Glukoosi 5% 1410
Yhteensopiva
Injektioneste Etoposide phosphate 5 mg/ml
Injektioneste Ampicillin sodium 20 mg/ml
Glukoosi 5% 1410
Yhteensopiva
Injektioneste Etoposide phosphate 5 mg/ml
Injektioneste Ampicillin sodium - sulbactam sodium 20/10 mg/ml
Glukoosi 5% 1410
Yhteensopiva
Injektioneste Etoposide phosphate 5 mg/ml
Injektioneste Anidulafungin 0.5 mg/ml
Glukoosi 5% 1982
Yhteensopiva
Injektioneste Etoposide phosphate 5 mg/ml
Injektioneste Aztreonam 40 mg/ml
Glukoosi 5% 1410
Yhteensopiva
Injektioneste Etoposide phosphate 5 mg/ml
Injektioneste Bleomycin sulfate 1 mg/ml
Natriumkloridi 0,9% 1410
Yhteensopiva
Injektioneste Etoposide phosphate 5 mg/ml
Injektioneste Bumetanide 0.04 mg/ml
Glukoosi 5% 1410
Yhteensopiva
Injektioneste Etoposide phosphate 5 mg/ml
Injektioneste Buprenorphine hydrochloride 0.04 mg/ml
Glukoosi 5% 1410
Yhteensopiva
Injektioneste Etoposide phosphate 5 mg/ml
Injektioneste Butorphanol tartrate 0.04 mg/ml
Glukoosi 5% 1410
Määrittelemätön yhteensopimattomuus yhteensopimaton
Injektioneste Etoposide phosphate
Injektioneste Calcium gluconate
3644
Yhteensopiva
Injektioneste Etoposide phosphate 5 mg/ml
Injektioneste Calcium gluconate 40 mg/ml
Glukoosi 5% 1410
Yhteensopiva
Injektioneste Etoposide phosphate 5 mg/ml
Injektioneste Carboplatin 5 mg/ml
Glukoosi 5% 1410
Yhteensopiva
Injektioneste Etoposide phosphate 5 mg/ml
Injektioneste Carmustine 1.5 mg/ml
Glukoosi 5% 1410
Yhteensopiva
Injektioneste Etoposide phosphate 5 mg/ml
Injektioneste Caspofungin acetate 0,7 mg/ml
Natriumkloridi 0,9% 2247
Yhteensopiva
Injektioneste Etoposide phosphate 5 mg/ml
Injektioneste Cefazolin sodium 20 mg/ml
Glukoosi 5% 1410
Välitön sameus yhteensopimaton
Injektioneste Etoposide phosphate 5 mg/ml
Injektioneste Cefepime dihydrochloride 20 mg/ml
Glukoosi 5% 1410
Yhteensopiva
Injektioneste Etoposide phosphate 5 mg/ml
Injektioneste Cefonicid sodium 20 mg/ml
Glukoosi 5% 1410
Yhteensopiva
Injektioneste Etoposide phosphate 5 mg/ml
Injektioneste Cefoperazone sodium 40 mg/ml
Glukoosi 5% 1410
Yhteensopiva
Injektioneste Etoposide phosphate 5 mg/ml
Injektioneste Cefotaxime sodium 20 mg/ml
Glukoosi 5% 1410
Yhteensopiva
Injektioneste Etoposide phosphate 5 mg/ml
Injektioneste Cefoxitin sodium 20 mg/ml
Glukoosi 5% 1410
Yhteensopiva
Injektioneste Etoposide phosphate 5 mg/ml
Injektioneste Ceftazidime 40 mg/ml
Glukoosi 5% 1410
Yhteensopiva
Injektioneste Etoposide phosphate 5 mg/ml
Injektioneste Ceftriaxone disodium 20 mg/ml
Glukoosi 5% 1410
Yhteensopiva
Injektioneste Etoposide phosphate
Glukoosi 5% 3655
yhteensopimaton
Injektioneste Etoposide phosphate
Injektioneste Calcium gluconate
4964
Yhteensopiva
Injektioneste Etoposide phosphate 5 mg/ml
Injektioneste Ceftizoxime sodium 20 mg/ml
Glukoosi 5% 1410
Yhteensopiva
Injektioneste Etoposide phosphate 5 mg/ml
Injektioneste Cefuroxime sodium 30 mg/ml
Glukoosi 5% 1410
Välitön sameus yhteensopimaton
Injektioneste Etoposide phosphate 5 mg/ml
Injektioneste Chlorpromazine hydrochloride 2 mg/ml
Glukoosi 5% 1410
Yhteensopiva
Injektioneste Etoposide phosphate 5 mg/ml
Injektioneste Cimetidine hydrochloride 12 mg/ml
Glukoosi 5% 1410
Yhteensopiva
Injektioneste Etoposide phosphate 5 mg/ml
Injektioneste Ciprofloxacin lactate 1 mg/ml
Glukoosi 5% 1410
Yhteensopiva
Injektioneste Etoposide phosphate 5 mg/ml
Injektioneste Cisplatin 1 mg/ml
Glukoosi 5% 1410
Yhteensopiva
Injektioneste Etoposide phosphate 5 mg/ml
Injektioneste Clindamycin phosphate 10 mg/ml
Glukoosi 5% 1410
Yhteensopiva
Injektioneste Etoposide phosphate 5 mg/ml
Injektioneste Co-trimoxazole 0.8/4 mg/ml
Glukoosi 5% 1410
Yhteensopiva
Injektioneste Etoposide phosphate 5 mg/ml
Injektioneste Cyclophosphamide 10 mg/ml
Glukoosi 5% 1410
Yhteensopiva
Injektioneste Etoposide phosphate 5 mg/ml
Injektioneste Cytarabine 50 mg/ml
Glukoosi 5% 1410
Yhteensopiva
Injektioneste Etoposide phosphate 5 mg/ml
Injektioneste Dacarbazine 4 mg/ml
Glukoosi 5% 1410
Yhteensopiva
Injektioneste Etoposide phosphate 5 mg/ml
Injektioneste Dactinomycin 10 µg/ml
Glukoosi 5% 1410
Yhteensopiva
Injektioneste Etoposide phosphate 5 mg/ml
Injektioneste Daunorubicin hydrochloride 1 mg/ml
Glukoosi 5% 1410
Yhteensopiva
Injektioneste Etoposide phosphate 5 mg/ml
Injektioneste Dexamethasone sodium phosphate 1 mg/ml
Glukoosi 5% 1410
Yhteensopiva
Injektioneste Etoposide phosphate 5 mg/ml
Injektioneste Diphenhydramine hydrochloride 2 mg/ml
Glukoosi 5% 1410
Yhteensopiva
Injektioneste Etoposide phosphate 5 mg/ml
Injektioneste Dobutamine hydrochloride 4 mg/ml
Glukoosi 5% 1410
Yhteensopiva
Injektioneste Etoposide phosphate 5 mg/ml
Injektioneste Dopamine hydrochloride 3.2 mg/ml
Glukoosi 5% 1410
Yhteensopiva
Injektioneste Etoposide phosphate 5 mg/ml
Injektioneste Doripenem 5 mg/ml
Natriumkloridi 0,9% 2262
Yhteensopiva
Injektioneste Etoposide phosphate 5 mg/ml
Injektioneste Doripenem 5 mg/ml
Glukoosi 5% 2262
Yhteensopiva
Injektioneste Etoposide phosphate 5 mg/ml
Injektioneste Doxorubicin hydrochloride 2 mg/ml
Glukoosi 5% 1410
Yhteensopiva
Injektioneste Etoposide phosphate 5 mg/ml
Injektioneste Doxycycline hyclate 1 mg/ml
Glukoosi 5% 1410
Yhteensopiva
Injektioneste Etoposide phosphate 5 mg/ml
Injektioneste Droperidol 0.4 mg/ml
Glukoosi 5% 1410
Yhteensopiva
Injektioneste Etoposide phosphate 5 mg/ml
Injektioneste Enalaprilate 0.1 mg/ml
Glukoosi 5% 1410
Yhteensopiva
Injektioneste Etoposide phosphate 5 mg/ml
Injektioneste Famotidine 2 mg/ml
Glukoosi 5% 1410
Yhteensopiva
Injektioneste Etoposide phosphate 5 mg/ml
Injektioneste Floxuridine 3 mg/ml
Glukoosi 5% 1410
Yhteensopiva
Injektioneste Etoposide phosphate 5 mg/ml
Injektioneste Fluconazole 2 mg/ml
Glukoosi 5% 1410
Yhteensopiva
Injektioneste Etoposide phosphate 5 mg/ml
Injektioneste Fludarabine phosphate 1 mg/ml
Glukoosi 5% 1410
Yhteensopiva
Injektioneste Etoposide phosphate 5 mg/ml
Injektioneste Fluorouracil 16 mg/ml
Glukoosi 5% 1410
Yhteensopiva
Injektioneste Etoposide phosphate 5 mg/ml
Injektioneste Folinate calcium 2 mg/ml
Glukoosi 5% 1410
Yhteensopiva
Injektioneste Etoposide phosphate 5 mg/ml
Injektioneste Furosemide 3 mg/ml
Glukoosi 5% 1410
Yhteensopiva
Injektioneste Etoposide phosphate 5 mg/ml
Injektioneste Gallium nitrate 0.4 mg/ml
Glukoosi 5% 1410
Yhteensopiva
Injektioneste Etoposide phosphate 5 mg/ml
Injektioneste Ganciclovir sodium 20 mg/ml
Glukoosi 5% 1410
Yhteensopiva
Injektioneste Etoposide phosphate 5 mg/ml
Injektioneste Gemcitabine hydrochloride 10 mg/ml
Natriumkloridi 0,9% 1423
Yhteensopiva
Injektioneste Etoposide phosphate 5 mg/ml
Injektioneste Gentamicin sulfate 5 mg/ml
Glukoosi 5% 1410
Yhteensopiva
Injektioneste Etoposide phosphate 5 mg/ml
Injektioneste Granisetron hydrochloride 0.05 mg/ml
Glukoosi 5% 1410
Yhteensopiva
Injektioneste Etoposide phosphate 5 mg/ml
Injektioneste Haloperidol lactate 0.2 mg/ml
Glukoosi 5% 1410
Yhteensopiva
Injektioneste Etoposide phosphate 5 mg/ml
Injektioneste Heparin sodium 100 UI/ml
Glukoosi 5% 1410
Yhteensopiva
Injektioneste Etoposide phosphate 5 mg/ml
Injektioneste Hydrocortisone sodium succinate 1 mg/ml
Glukoosi 5% 1410
Yhteensopiva
Injektioneste Etoposide phosphate 5 mg/ml
Injektioneste Hydromorphone hydrochloride 0.5 mg/ml
Glukoosi 5% 1410
Yhteensopiva
Injektioneste Etoposide phosphate 5 mg/ml
Injektioneste Hydroxyzine dihydrochloride 4 mg/ml
Glukoosi 5% 1410
Yhteensopiva
Injektioneste Etoposide phosphate 5 mg/ml
Injektioneste Idarubicin hydrochloride 0.5 mg/ml
Glukoosi 5% 1410
Yhteensopiva
Injektioneste Etoposide phosphate 5 mg/ml
Injektioneste Ifosfamide 25 mg/ml
Glukoosi 5% 1410
Värinvaihto 4 tunnin kuluttua yhteensopimaton
Injektioneste Etoposide phosphate 5 mg/ml
Injektioneste Imipenem - cilastatin sodium 10 mg/ml
Natriumkloridi 0,9% 1410
Välittömät sateet yhteensopimaton
Injektioneste Etoposide phosphate 5 mg/ml
Injektioneste Lansoprazole 0.55 mg/ml
Natriumkloridi 0,9% 1625
Yhteensopiva
Injektioneste Etoposide phosphate 5 mg/ml
Injektioneste Linezolid 2 mg/ml
Ei mikään 1925
Yhteensopiva
Injektioneste Etoposide phosphate
Natriumkloridi 0,9% 3655
Yhteensopiva
Injektioneste Etoposide phosphate 5 mg/ml
Injektioneste Lorazepam 0.5 mg/ml
Glukoosi 5% 1410
Määrittelemätön yhteensopimattomuus yhteensopimaton
Injektioneste Etoposide phosphate
Injektioneste Magnesium sulfate
3838
Yhteensopiva
Injektioneste Etoposide phosphate 5 mg/ml
Injektioneste Magnesium sulfate 100 mg/ml
Glukoosi 5% 1410
Yhteensopiva
Injektioneste Etoposide phosphate 5 mg/ml
Injektioneste Mannitol 150 mg/ml
Glukoosi 5% 1410
Yhteensopiva
Injektioneste Etoposide phosphate 5 mg/ml
Injektioneste Mesna 10 mg/ml
Glukoosi 5% 1410
Yhteensopiva
Injektioneste Etoposide phosphate 5 mg/ml
Injektioneste Methotrexate sodium 15 mg/ml
Glukoosi 5% 1410
Välitön sameus yhteensopimaton
Injektioneste Etoposide phosphate 5 mg/ml
Injektioneste Methylprednisolone sodium succinate 5 mg/ml
Glukoosi 5% 1410
Yhteensopiva
Injektioneste Etoposide phosphate 5 mg/ml
Injektioneste Metoclopramide hydrochloride 5 mg/ml
Glukoosi 5% 1410
Yhteensopiva
Injektioneste Etoposide phosphate 5 mg/ml
Injektioneste Metronidazole 5 mg/ml
Glukoosi 5% 1410
Yhteensopiva
Injektioneste Etoposide phosphate 5 mg/ml
Injektioneste Minocycline hydrochloride 0.2 mg/ml
Glukoosi 5% 1410
Värinvaihto 4 tunnin kuluttua yhteensopimaton
Injektioneste Etoposide phosphate 5 mg/ml
Injektioneste Mitomycin 0.5 mg/ml
Glukoosi 5% 1410
Yhteensopiva
Injektioneste Etoposide phosphate 5 mg/ml
Injektioneste Mitoxantrone dihydrochloride 0.5 mg/ml
Glukoosi 5% 1410
Yhteensopiva
Injektioneste Etoposide phosphate 5 mg/ml
Injektioneste Morphine sulfate 1 mg/ml
Glukoosi 5% 1410
Yhteensopiva
Injektioneste Etoposide phosphate 5 mg/ml
Injektioneste Nalbuphine hydrochloride 10 mg/ml
Glukoosi 5% 1410
Yhteensopiva
Injektioneste Etoposide phosphate 5 mg/ml
Injektioneste Netilmicin sulfate 5 mg/ml
Glukoosi 5% 1410
Yhteensopiva
Injektioneste Etoposide phosphate 5 mg/ml
Injektioneste Ofloxacin 4 mg/ml
Glukoosi 5% 1410
Yhteensopiva
Injektioneste Etoposide phosphate 5 mg/ml
Injektioneste Ondansetron hydrochloride 1 mg/ml
Glukoosi 5% 1410
Yhteensopiva
Injektioneste Etoposide phosphate 5 mg/ml
Injektioneste Oxaliplatin 0,5 mg/ml
Glukoosi 5% 1662
Yhteensopiva
Injektioneste Etoposide phosphate 5 mg/ml
Injektioneste Paclitaxel 1.2 mg/ml
Glukoosi 5% 1410
Yhteensopiva
Injektioneste Etoposide phosphate 5 mg/ml
Injektioneste Pethidine hydrochloride 4 mg/ml
Glukoosi 5% 1410
Yhteensopiva
Injektioneste Etoposide phosphate 5 mg/ml
Injektioneste Piperacillin sodium 40 mg/ml
Glukoosi 5% 1410
Yhteensopiva
Injektioneste Etoposide phosphate 5 mg/ml
Injektioneste Piperacillin sodium / tazobactam 40/5 mg/ml
Natriumkloridi 0,9% 1410
Yhteensopiva
Injektioneste Etoposide phosphate 5 mg/ml
Injektioneste Potassium chloride 100 mEq/l
Glukoosi 5% 1410
Välitön sameus yhteensopimaton
Injektioneste Etoposide phosphate 5 mg/ml
Injektioneste Prochlorperazine edysilate 0.5 mg/ml
Glukoosi 5% 1410
Yhteensopiva
Injektioneste Etoposide phosphate 5 mg/ml
Injektioneste Promethazine hydrochloride 2 mg/ml
Glukoosi 5% 1410
Yhteensopiva
Injektioneste Etoposide phosphate 5 mg/ml
Injektioneste Ranitidine hydrochloride 2 mg/ml
Glukoosi 5% 1410
Yhteensopiva
Injektioneste Etoposide phosphate 5 mg/ml
Injektioneste Sodium bicarbonate 84 mg/ml
Glukoosi 5% 1410
Yhteensopiva
Injektioneste Etoposide phosphate 5 mg/ml
Injektioneste Streptozocin 40 mg/ml
Glukoosi 5% 1410
Värinvaihto 4 tunnin kuluttua yhteensopimaton
Injektioneste Etoposide phosphate 5 mg/ml
Injektioneste Teniposide 0.1 mg/ml
Natriumkloridi 0,9% 1410
Yhteensopiva
Injektioneste Etoposide phosphate 5 mg/ml
Injektioneste Thiotepa 1 mg/ml
Glukoosi 5% 1410
Yhteensopiva
Injektioneste Etoposide phosphate 5 mg/ml
Injektioneste Ticarcillin / clavulanic acid 31 mg/ml
Glukoosi 5% 1410
Yhteensopiva
Injektioneste Etoposide phosphate 5 mg/ml
Injektioneste Tobramycin sulfate 5 mg/ml
Glukoosi 5% 1410
Yhteensopiva
Injektioneste Etoposide phosphate 5 mg/ml
Injektioneste Vancomycin hydrochloride 10 mg/ml
Glukoosi 5% 1410
Yhteensopiva
Injektioneste Etoposide phosphate 5 mg/ml
Injektioneste Vinblastine sulfate 0.12 mg/ml
Glukoosi 5% 1410
Yhteensopiva
Injektioneste Etoposide phosphate 5 mg/ml
Injektioneste Vincristine sulfate 0.05 mg/ml
Glukoosi 5% 1410
Yhteensopiva
Injektioneste Etoposide phosphate 5 mg/ml
Injektioneste Zidovudine 4 mg/ml
Glukoosi 5% 1410

  Mentions Légales