最新更新 :
18/03/2026
抗癌藥物   Etoposide phosphate  
注射液
溶液稳定性 混合物稳定性 影响稳定性的因素 兼容性 用药途径 引用文献 PDF
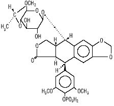
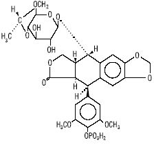
   化学式  

商品名   商品名     

商品名仅供参考, 药品所用的辅料可能依国家或厂商不同有所不同。

Etopofos 奥地利, 希腊, 瑞典
Etopophos 以色列, 保加利亚, 卢森堡, 德国, 新西蘭, 比利时, 法国, 波兰, 瑞士, 美国, 英国, 荷兰
兼容性   注射液   兼容性 : Etoposide phosphate              
This screen indicates the compatibilities or incompatibilities with, in this case, the type of incompatibility (precipitation, color change, modification of an emulsion, etc.). The compatibilities shown here are mostly physical only, with the chemical stability of each molecule rarely being assessed. The evaluation of these mixtures was studied to consider the possibility of Y-site administration to the patient. These data cannot be used for making mixtures in advance in bags or syringes. This type of information is available in the screen "Stability in mixture ».
分子 溶剂 引用文献
兼容
注射液 Etoposide phosphate 5 mg/ml
注射液 Aciclovir sodium 7 mg/ml
葡萄糖5% 1410
兼容
注射液 Etoposide phosphate 5 mg/ml
注射液 Amikacin sulfate 5 mg/ml
葡萄糖5% 1410
兼容
注射液 Etoposide phosphate 5 mg/ml
注射液 Aminophylline 2.5 mg/ml
葡萄糖5% 1410
立即沉澱 不相容
注射液 Etoposide phosphate 5 mg/ml
注射液 Amphotericin B 0.6 mg/ml
葡萄糖5% 1410
兼容
注射液 Etoposide phosphate 5 mg/ml
注射液 Ampicillin sodium 20 mg/ml
葡萄糖5% 1410
兼容
注射液 Etoposide phosphate 5 mg/ml
注射液 Ampicillin sodium - sulbactam sodium 20/10 mg/ml
葡萄糖5% 1410
兼容
注射液 Etoposide phosphate 5 mg/ml
注射液 Anidulafungin 0.5 mg/ml
葡萄糖5% 1982
兼容
注射液 Etoposide phosphate 5 mg/ml
注射液 Aztreonam 40 mg/ml
葡萄糖5% 1410
兼容
注射液 Etoposide phosphate 5 mg/ml
注射液 Bleomycin sulfate 1 mg/ml
NaCl 0,9% 1410
兼容
注射液 Etoposide phosphate 5 mg/ml
注射液 Bumetanide 0.04 mg/ml
葡萄糖5% 1410
兼容
注射液 Etoposide phosphate 5 mg/ml
注射液 Buprenorphine hydrochloride 0.04 mg/ml
葡萄糖5% 1410
兼容
注射液 Etoposide phosphate 5 mg/ml
注射液 Butorphanol tartrate 0.04 mg/ml
葡萄糖5% 1410
未指定的不兼容性 不相容
注射液 Etoposide phosphate
注射液 Calcium gluconate
3644
兼容
注射液 Etoposide phosphate 5 mg/ml
注射液 Calcium gluconate 40 mg/ml
葡萄糖5% 1410
兼容
注射液 Etoposide phosphate 5 mg/ml
注射液 Carboplatin 5 mg/ml
葡萄糖5% 1410
兼容
注射液 Etoposide phosphate 5 mg/ml
注射液 Carmustine 1.5 mg/ml
葡萄糖5% 1410
兼容
注射液 Etoposide phosphate 5 mg/ml
注射液 Caspofungin acetate 0,7 mg/ml
NaCl 0,9% 2247
兼容
注射液 Etoposide phosphate 5 mg/ml
注射液 Cefazolin sodium 20 mg/ml
葡萄糖5% 1410
立即渾濁 不相容
注射液 Etoposide phosphate 5 mg/ml
注射液 Cefepime dihydrochloride 20 mg/ml
葡萄糖5% 1410
兼容
注射液 Etoposide phosphate 5 mg/ml
注射液 Cefonicid sodium 20 mg/ml
葡萄糖5% 1410
兼容
注射液 Etoposide phosphate 5 mg/ml
注射液 Cefoperazone sodium 40 mg/ml
葡萄糖5% 1410
兼容
注射液 Etoposide phosphate 5 mg/ml
注射液 Cefotaxime sodium 20 mg/ml
葡萄糖5% 1410
兼容
注射液 Etoposide phosphate 5 mg/ml
注射液 Cefoxitin sodium 20 mg/ml
葡萄糖5% 1410
兼容
注射液 Etoposide phosphate 5 mg/ml
注射液 Ceftazidime 40 mg/ml
葡萄糖5% 1410
兼容
注射液 Etoposide phosphate 5 mg/ml
注射液 Ceftriaxone disodium 20 mg/ml
葡萄糖5% 1410
兼容
注射液 Etoposide phosphate
葡萄糖5% 3655
不相容
注射液 Etoposide phosphate
注射液 Calcium gluconate
4964
兼容
注射液 Etoposide phosphate 5 mg/ml
注射液 Ceftizoxime sodium 20 mg/ml
葡萄糖5% 1410
兼容
注射液 Etoposide phosphate 5 mg/ml
注射液 Cefuroxime sodium 30 mg/ml
葡萄糖5% 1410
立即渾濁 不相容
注射液 Etoposide phosphate 5 mg/ml
注射液 Chlorpromazine hydrochloride 2 mg/ml
葡萄糖5% 1410
兼容
注射液 Etoposide phosphate 5 mg/ml
注射液 Cimetidine hydrochloride 12 mg/ml
葡萄糖5% 1410
兼容
注射液 Etoposide phosphate 5 mg/ml
注射液 Ciprofloxacin lactate 1 mg/ml
葡萄糖5% 1410
兼容
注射液 Etoposide phosphate 5 mg/ml
注射液 Cisplatin 1 mg/ml
葡萄糖5% 1410
兼容
注射液 Etoposide phosphate 5 mg/ml
注射液 Clindamycin phosphate 10 mg/ml
葡萄糖5% 1410
兼容
注射液 Etoposide phosphate 5 mg/ml
注射液 Co-trimoxazole 0.8/4 mg/ml
葡萄糖5% 1410
兼容
注射液 Etoposide phosphate 5 mg/ml
注射液 Cyclophosphamide 10 mg/ml
葡萄糖5% 1410
兼容
注射液 Etoposide phosphate 5 mg/ml
注射液 Cytarabine 50 mg/ml
葡萄糖5% 1410
兼容
注射液 Etoposide phosphate 5 mg/ml
注射液 Dacarbazine 4 mg/ml
葡萄糖5% 1410
兼容
注射液 Etoposide phosphate 5 mg/ml
注射液 Dactinomycin 10 µg/ml
葡萄糖5% 1410
兼容
注射液 Etoposide phosphate 5 mg/ml
注射液 Daunorubicin hydrochloride 1 mg/ml
葡萄糖5% 1410
兼容
注射液 Etoposide phosphate 5 mg/ml
注射液 Dexamethasone sodium phosphate 1 mg/ml
葡萄糖5% 1410
兼容
注射液 Etoposide phosphate 5 mg/ml
注射液 Diphenhydramine hydrochloride 2 mg/ml
葡萄糖5% 1410
兼容
注射液 Etoposide phosphate 5 mg/ml
注射液 Dobutamine hydrochloride 4 mg/ml
葡萄糖5% 1410
兼容
注射液 Etoposide phosphate 5 mg/ml
注射液 Dopamine hydrochloride 3.2 mg/ml
葡萄糖5% 1410
兼容
注射液 Etoposide phosphate 5 mg/ml
注射液 Doripenem 5 mg/ml
NaCl 0,9% 2262
兼容
注射液 Etoposide phosphate 5 mg/ml
注射液 Doripenem 5 mg/ml
葡萄糖5% 2262
兼容
注射液 Etoposide phosphate 5 mg/ml
注射液 Doxorubicin hydrochloride 2 mg/ml
葡萄糖5% 1410
兼容
注射液 Etoposide phosphate 5 mg/ml
注射液 Doxycycline hyclate 1 mg/ml
葡萄糖5% 1410
兼容
注射液 Etoposide phosphate 5 mg/ml
注射液 Droperidol 0.4 mg/ml
葡萄糖5% 1410
兼容
注射液 Etoposide phosphate 5 mg/ml
注射液 Enalaprilate 0.1 mg/ml
葡萄糖5% 1410
兼容
注射液 Etoposide phosphate 5 mg/ml
注射液 Famotidine 2 mg/ml
葡萄糖5% 1410
兼容
注射液 Etoposide phosphate 5 mg/ml
注射液 Floxuridine 3 mg/ml
葡萄糖5% 1410
兼容
注射液 Etoposide phosphate 5 mg/ml
注射液 Fluconazole 2 mg/ml
葡萄糖5% 1410
兼容
注射液 Etoposide phosphate 5 mg/ml
注射液 Fludarabine phosphate 1 mg/ml
葡萄糖5% 1410
兼容
注射液 Etoposide phosphate 5 mg/ml
注射液 Fluorouracil 16 mg/ml
葡萄糖5% 1410
兼容
注射液 Etoposide phosphate 5 mg/ml
注射液 Folinate calcium 2 mg/ml
葡萄糖5% 1410
兼容
注射液 Etoposide phosphate 5 mg/ml
注射液 Furosemide 3 mg/ml
葡萄糖5% 1410
兼容
注射液 Etoposide phosphate 5 mg/ml
注射液 Gallium nitrate 0.4 mg/ml
葡萄糖5% 1410
兼容
注射液 Etoposide phosphate 5 mg/ml
注射液 Ganciclovir sodium 20 mg/ml
葡萄糖5% 1410
兼容
注射液 Etoposide phosphate 5 mg/ml
注射液 Gemcitabine hydrochloride 10 mg/ml
NaCl 0,9% 1423
兼容
注射液 Etoposide phosphate 5 mg/ml
注射液 Gentamicin sulfate 5 mg/ml
葡萄糖5% 1410
兼容
注射液 Etoposide phosphate 5 mg/ml
注射液 Granisetron hydrochloride 0.05 mg/ml
葡萄糖5% 1410
兼容
注射液 Etoposide phosphate 5 mg/ml
注射液 Haloperidol lactate 0.2 mg/ml
葡萄糖5% 1410
兼容
注射液 Etoposide phosphate 5 mg/ml
注射液 Heparin sodium 100 UI/ml
葡萄糖5% 1410
兼容
注射液 Etoposide phosphate 5 mg/ml
注射液 Hydrocortisone sodium succinate 1 mg/ml
葡萄糖5% 1410
兼容
注射液 Etoposide phosphate 5 mg/ml
注射液 Hydromorphone hydrochloride 0.5 mg/ml
葡萄糖5% 1410
兼容
注射液 Etoposide phosphate 5 mg/ml
注射液 Hydroxyzine dihydrochloride 4 mg/ml
葡萄糖5% 1410
兼容
注射液 Etoposide phosphate 5 mg/ml
注射液 Idarubicin hydrochloride 0.5 mg/ml
葡萄糖5% 1410
兼容
注射液 Etoposide phosphate 5 mg/ml
注射液 Ifosfamide 25 mg/ml
葡萄糖5% 1410
4小時後變色 不相容
注射液 Etoposide phosphate 5 mg/ml
注射液 Imipenem - cilastatin sodium 10 mg/ml
NaCl 0,9% 1410
立即沉澱 不相容
注射液 Etoposide phosphate 5 mg/ml
注射液 Lansoprazole 0.55 mg/ml
NaCl 0,9% 1625
兼容
注射液 Etoposide phosphate 5 mg/ml
注射液 Linezolid 2 mg/ml
无 1925
兼容
注射液 Etoposide phosphate
NaCl 0,9% 3655
兼容
注射液 Etoposide phosphate 5 mg/ml
注射液 Lorazepam 0.5 mg/ml
葡萄糖5% 1410
未指定的不兼容性 不相容
注射液 Etoposide phosphate
注射液 Magnesium sulfate
3838
兼容
注射液 Etoposide phosphate 5 mg/ml
注射液 Magnesium sulfate 100 mg/ml
葡萄糖5% 1410
兼容
注射液 Etoposide phosphate 5 mg/ml
注射液 Mannitol 150 mg/ml
葡萄糖5% 1410
兼容
注射液 Etoposide phosphate 5 mg/ml
注射液 Mesna 10 mg/ml
葡萄糖5% 1410
兼容
注射液 Etoposide phosphate 5 mg/ml
注射液 Methotrexate sodium 15 mg/ml
葡萄糖5% 1410
立即渾濁 不相容
注射液 Etoposide phosphate 5 mg/ml
注射液 Methylprednisolone sodium succinate 5 mg/ml
葡萄糖5% 1410
兼容
注射液 Etoposide phosphate 5 mg/ml
注射液 Metoclopramide hydrochloride 5 mg/ml
葡萄糖5% 1410
兼容
注射液 Etoposide phosphate 5 mg/ml
注射液 Metronidazole 5 mg/ml
葡萄糖5% 1410
兼容
注射液 Etoposide phosphate 5 mg/ml
注射液 Minocycline hydrochloride 0.2 mg/ml
葡萄糖5% 1410
4小時後變色 不相容
注射液 Etoposide phosphate 5 mg/ml
注射液 Mitomycin 0.5 mg/ml
葡萄糖5% 1410
兼容
注射液 Etoposide phosphate 5 mg/ml
注射液 Mitoxantrone dihydrochloride 0.5 mg/ml
葡萄糖5% 1410
兼容
注射液 Etoposide phosphate 5 mg/ml
注射液 Morphine sulfate 1 mg/ml
葡萄糖5% 1410
兼容
注射液 Etoposide phosphate 5 mg/ml
注射液 Nalbuphine hydrochloride 10 mg/ml
葡萄糖5% 1410
兼容
注射液 Etoposide phosphate 5 mg/ml
注射液 Netilmicin sulfate 5 mg/ml
葡萄糖5% 1410
兼容
注射液 Etoposide phosphate 5 mg/ml
注射液 Ofloxacin 4 mg/ml
葡萄糖5% 1410
兼容
注射液 Etoposide phosphate 5 mg/ml
注射液 Ondansetron hydrochloride 1 mg/ml
葡萄糖5% 1410
兼容
注射液 Etoposide phosphate 5 mg/ml
注射液 Oxaliplatin 0,5 mg/ml
葡萄糖5% 1662
兼容
注射液 Etoposide phosphate 5 mg/ml
注射液 Paclitaxel 1.2 mg/ml
葡萄糖5% 1410
兼容
注射液 Etoposide phosphate 5 mg/ml
注射液 Pethidine hydrochloride 4 mg/ml
葡萄糖5% 1410
兼容
注射液 Etoposide phosphate 5 mg/ml
注射液 Piperacillin sodium 40 mg/ml
葡萄糖5% 1410
兼容
注射液 Etoposide phosphate 5 mg/ml
注射液 Piperacillin sodium / tazobactam 40/5 mg/ml
NaCl 0,9% 1410
兼容
注射液 Etoposide phosphate 5 mg/ml
注射液 Potassium chloride 100 mEq/l
葡萄糖5% 1410
立即渾濁 不相容
注射液 Etoposide phosphate 5 mg/ml
注射液 Prochlorperazine edysilate 0.5 mg/ml
葡萄糖5% 1410
兼容
注射液 Etoposide phosphate 5 mg/ml
注射液 Promethazine hydrochloride 2 mg/ml
葡萄糖5% 1410
兼容
注射液 Etoposide phosphate 5 mg/ml
注射液 Ranitidine hydrochloride 2 mg/ml
葡萄糖5% 1410
兼容
注射液 Etoposide phosphate 5 mg/ml
注射液 Sodium bicarbonate 84 mg/ml
葡萄糖5% 1410
兼容
注射液 Etoposide phosphate 5 mg/ml
注射液 Streptozocin 40 mg/ml
葡萄糖5% 1410
4小時後變色 不相容
注射液 Etoposide phosphate 5 mg/ml
注射液 Teniposide 0.1 mg/ml
NaCl 0,9% 1410
兼容
注射液 Etoposide phosphate 5 mg/ml
注射液 Thiotepa 1 mg/ml
葡萄糖5% 1410
兼容
注射液 Etoposide phosphate 5 mg/ml
注射液 Ticarcillin / clavulanic acid 31 mg/ml
葡萄糖5% 1410
兼容
注射液 Etoposide phosphate 5 mg/ml
注射液 Tobramycin sulfate 5 mg/ml
葡萄糖5% 1410
兼容
注射液 Etoposide phosphate 5 mg/ml
注射液 Vancomycin hydrochloride 10 mg/ml
葡萄糖5% 1410
兼容
注射液 Etoposide phosphate 5 mg/ml
注射液 Vinblastine sulfate 0.12 mg/ml
葡萄糖5% 1410
兼容
注射液 Etoposide phosphate 5 mg/ml
注射液 Vincristine sulfate 0.05 mg/ml
葡萄糖5% 1410
兼容
注射液 Etoposide phosphate 5 mg/ml
注射液 Zidovudine 4 mg/ml
葡萄糖5% 1410

  Mentions Légales