Utolsó frissítés :
18/03/2026
Izombénító   Atracurium besylate  
Injekció
Az oldatok stabilitása A keverékek stabilitása Stabilitást befolyásoló tényezők Kompatibilitás Az alkalmazás módja Irodalom pdf
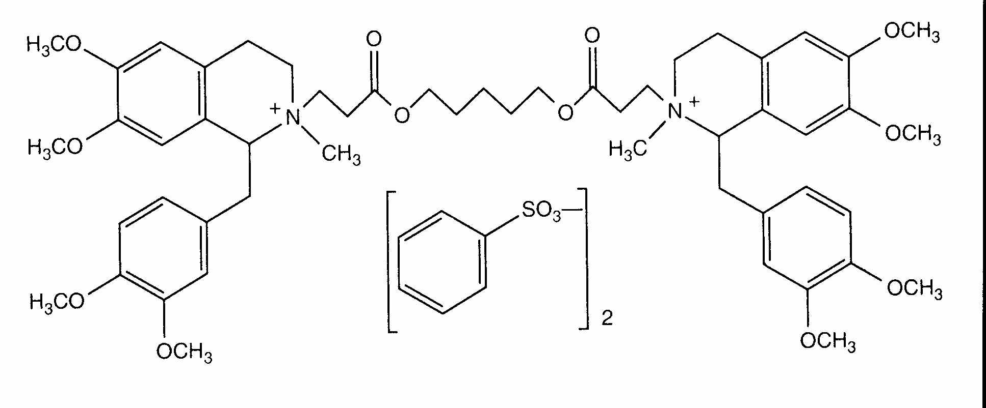
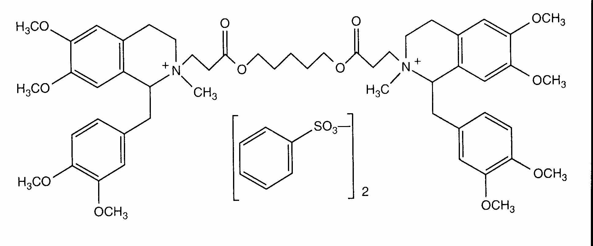
   Kémiai szerkezet   

Kereskedelmi név   Kereskedelmi név     

A kereskedelmi név meghatározó jelentőségű: a készítmények összetétele országonként, előállítóként eltérő lehet

Abbocurium Lengyelország
Acurmil Olaszország
Ancour Irán
Anecur Irán
Atacur Szaúd-Arábiában
Atrabesylate Egyiptom
Atracurio Argentína, Brazília, Spanyolország
Atracurio besilato Chile, Olaszország, Peru, Venezuela
Atracurium Argentína, Ausztria, Egyesült Arab Emírségek, Egyiptom, Irán, Malaysia, Nagy-Britannia, Németország, Olaszország, Svédország, Szaúd-Arábiában
Atracurium besilat Ausztria
Atracurium besilate Amerikai Egyesült Államok, Ausztrália, Egyesült Arab Emírségek, Egyiptom, Irán, Kanada, Szaúd-Arábiában, új-Zéland
Atralex Malaysia
Atrasyl Törökország
Besilato Atracurio Chile, Portugália, Spanyolország
Faulcurium Egyiptom, Portugália
Gelolagar Argentína
Laurak Spanyolország
Neucurium Törökország
Notrixum Törökország
Relactrac Colombia
Relatrac Mexikó
Tracrium Amerikai Egyesült Államok, Ausztria, Belgium, Chile, Colombia, Ecuador, Egyesült Arab Emírségek, Egyiptom, Franciaország, Görögország, Hollandia, Irán, Írország, Lengyelország, Luxemburg, Magyarország, Malaysia, Marokkó, Mexikó, Nagy-Britannia, Németország, Olaszország, Portugália, Románia, Spanyolország, Svájc, Szaúd-Arábiában, Szlovénia, Törökország, új-Zéland
Tracumek Peru
Tracurix Argentína
Tracuron Argentína
Kompatibilitás   Injekció   Kompatibilitás : Atracurium besylate              
Ovdje su prikazane kompatibilnosti ili nekompatibilnosti s tipom nekompatibilnosti (taloženje, promjena boje, modifikacija emulzije itd.) u ovom slučaju. Kompatibilnosti prikazane ovdje najčešće su fizikalne dok se kemijska stabilnost molekule rijetko procjenjuje. Procjena ovih mikstura je proučavana kako bi se razmotrila mogućnost primjene lijeka putem Y-mjesta. Ovi se podaci ne smiju koristiti za pripremu mikstura unaprijed u vrećicama ili štrcaljkama. Ova vrsta informacije se može pronaći u odjeljku « stabilnost u miksturama ».
Vegyület Oldószer Irodalom
Meghatározatlan összeférhetetlenség Összeegyeztethetetlen
Injekció Atracurium besylate
Injekció Amobarbital sodium
3676
Összeegyeztethetetlen
Injekció Atracurium besylate 0.5 mg/ml
Ringer-laktát oldat 1093
Összeegyeztethető
Injekció Atracurium besylate 0.5 mg/ml
Injekció Aminophylline 1 mg/ml
5% glükóz 402
Összeegyeztethető
Injekció Atracurium besylate 5 mg/ml
Injekció Amiodarone hydrochloride 6 mg/ml
5% glükóz 1611
Összeegyeztethető
Injekció Atracurium besylate 0.5 mg/ml
Injekció Cefazolin sodium 10 mg/ml
5% glükóz 402
Összeegyeztethető
Injekció Atracurium besylate
5% glükóz 3629
Összeegyeztethető
Injekció Atracurium besylate 0.5 mg/ml
Injekció Cefuroxime sodium 7.5 mg/ml
5% glükóz 402
Összeegyeztethető
Injekció Atracurium besylate 0.5 mg/ml
Injekció Co-trimoxazole 3.2/0.64 mg/ml
5% glükóz 402
Azonnali csapadék Összeegyeztethetetlen
Injekció Atracurium besylate 0.5 mg/ml
Injekció Diazepam 5 mg/ml
5% glükóz 402
Azonnali csapadék Összeegyeztethetetlen
Injekció Atracurium besylate
Injekció Diclofenac
1647
Összeegyeztethető
Injekció Atracurium besylate 0.5 mg/ml
Injekció Dopamine hydrochloride 1.6 mg/ml
5% glükóz 402
Meghatározatlan összeférhetetlenség Összeegyeztethetetlen
Injekció Atracurium besylate
NaHCO3 3676
Összeegyeztethető
Injekció Atracurium besylate 0.5 mg/ml
Injekció Cimetidine hydrochloride 6 mg/ml
5% glükóz 402
Összeegyeztethető
Injekció Atracurium besylate
Injekció Dexmedetomidine
5042
Összeegyeztethető
Injekció Atracurium besylate 0.5 mg/ml
Injekció Dobutamine hydrochloride 1 mg/ml
5% glükóz 402
Meghatározatlan összeférhetetlenség Összeegyeztethetetlen
Injekció Atracurium besylate
NaHCO3 3629
Összeegyeztethető
Injekció Atracurium besylate 2 mg/ml
Injekció Ciprofloxacin lactate 2 mg/ml
5% glükóz 285
Összeegyeztethető
Injekció Atracurium besylate 0.5 mg/ml
Injekció Epinephrine hydrochloride 4 µg/ml
5% glükóz 402
Összeegyeztethető
Injekció Atracurium besylate 0.5 mg/ml
Injekció Esmolol hydrochloride 10 mg/ml
5% glükóz 402
Összeegyeztethető
Injekció Atracurium besylate 10 mg/ml
Parenterális táplálás (lipid-mentes) 939
Összeegyeztethető
Injekció Atracurium besylate 10 mg/ml
Injekció Etomidate 2 mg/ml
Egy sem 319
Összeegyeztethető
Injekció Atracurium besylate 0.5 mg/ml
Injekció Fenoldopam mesylate 80 µg/ml
0,9% nátrium-klorid 1803
Összeegyeztethető
Injekció Atracurium besylate 0.5 mg/ml
Injekció Fentanyl citrate 10 µg/ml
5% glükóz 402
Összeegyeztethető
Injekció Atracurium besylate 0.5 mg/ml
Injekció Gentamicin sulfate 2 mg/ml
5% glükóz 402
Összeegyeztethető
Injekció Atracurium besylate 0.5 mg/ml
Injekció Heparin sodium 40 UI/ml
5% glükóz 402
Összeegyeztethető
Injekció Atracurium besylate 0.5 mg/ml
Injekció Hetastarch 60 mg/ml
egyedi oldószer 1721
Összeegyeztethető
Injekció Atracurium besylate 0.5 mg/ml
Injekció Hydrocortisone sodium succinate 1 mg/ml
5% glükóz 402
Összeegyeztethető
Injekció Atracurium besylate 0.5 mg/ml
Injekció Isoprenaline hydrochloride 0.004 mg/ml
5% glükóz 402
Összeegyeztethető
Injekció Atracurium besylate 0.5 mg/ml
Injekció Lorazepam 0.5 mg/ml
5% glükóz 402
Meghatározatlan összeférhetetlenség Összeegyeztethetetlen
Injekció Atracurium besylate
Injekció Methohexital sodium
3676
Összeegyeztethető
Injekció Atracurium besylate 1 & 5 mg/ml
Injekció Midazolam hydrochloride 0.1 & 0.5 mg/ml
5% glükóz 865
Összeegyeztethető
Injekció Atracurium besylate 0.5 mg/ml
Injekció Midazolam hydrochloride 0.05 mg/ml
5% glükóz 402
Összeegyeztethető
Injekció Atracurium besylate 2 mg/ml
Injekció Milrinone lactate 0.8 mg/ml
5% glükóz 813
Összeegyeztethető
Injekció Atracurium besylate 0.5 mg/ml
Injekció Morphine sulfate 1 mg/ml
5% glükóz 402
Összeegyeztethető
Injekció Atracurium besylate 0.5 mg/ml
Injekció Nitroglycerin 0.4 mg/ml
5% glükóz 402
Összeegyeztethető
Injekció Atracurium besylate 0.5 mg/ml
Injekció Nitroprusside sodium 0.2 mg/ml
5% glükóz 402
Meghatározatlan összeférhetetlenség Összeegyeztethetetlen
Injekció Atracurium besylate
Injekció Pentobarbital sodium
3676
Meghatározatlan összeférhetetlenség Összeegyeztethetetlen
Injekció Atracurium besylate
Injekció Phenobarbital sodium
3676
Az emulzió azonnali instabilitása Összeegyeztethetetlen
Injekció Atracurium besylate 10 mg/ml
Injekció Propofol 10 mg/ml
Egy sem 300
Az emulzió instabilitása 1 óra múlva Összeegyeztethetetlen
Injekció Atracurium besylate 10 mg/ml
Injekció Propofol
660
Meghatározatlan összeférhetetlenség Összeegyeztethetetlen
Injekció Atracurium besylate
Injekció Propofol
3659
Összeegyeztethető
Injekció Atracurium besylate 10 mg/ml
Injekció Propofol 2 mg/ml
Egy sem 319
Meghatározatlan összeférhetetlenség Összeegyeztethetetlen
Injekció Atracurium besylate
Injekció Propofol
3502
Összeegyeztethető
Injekció Atracurium besylate 0.5 mg/ml
Injekció Ranitidine hydrochloride 0.5 mg/ml
5% glükóz 402
Meghatározatlan összeférhetetlenség Összeegyeztethetetlen
Injekció Atracurium besylate
Injekció Sodium bicarbonate
3629
Meghatározatlan összeférhetetlenség Összeegyeztethetetlen
Injekció Atracurium besylate
Injekció Sodium bicarbonate
3676
Azonnali csapadék Összeegyeztethetetlen
Injekció Atracurium besylate
Injekció Thiopental sodium
3373
Meghatározatlan összeférhetetlenség Összeegyeztethetetlen
Injekció Atracurium besylate
Injekció Thiopental sodium
3629
Meghatározatlan összeférhetetlenség Összeegyeztethetetlen
Injekció Atracurium besylate
Injekció Thiopental sodium
3676
Összeegyeztethető
Injekció Atracurium besylate 0.2 mg/ml
Injekció Valproic acid 2 & 20 mg/ml
0,9% nátrium-klorid 4428
Összeegyeztethető
Injekció Atracurium besylate
0,9% nátrium-klorid 3629
Azonnali zavarosság Összeegyeztethetetlen
Injekció Atracurium besylate 10 mg/ml
Injekció Thiopental sodium 25 mg/ml
Injekcióhoz való víz 319
Összeegyeztethető
Injekció Atracurium besylate 0.2 mg/ml
Injekció Valproic acid 2 & 20 mg/ml
5% glükóz 4428
Összeegyeztethető
Injekció Atracurium besylate 0.5 mg/ml
Injekció Vancomycin hydrochloride 5 mg/ml
5% glükóz 402

  Mentions Légales