viimane versioon :
18/03/2026
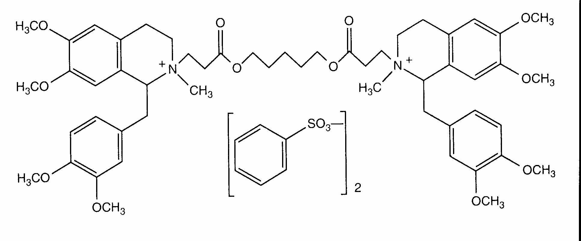
Kuraare-taoline  ravim   Atracurium besylate  
Süsteravim
Stabiilsus lahustes Stabiilsust mõjutavad tegurid stabiilsust mõjutavad faktorid Sobimatus Manustamis viis Viited pdf
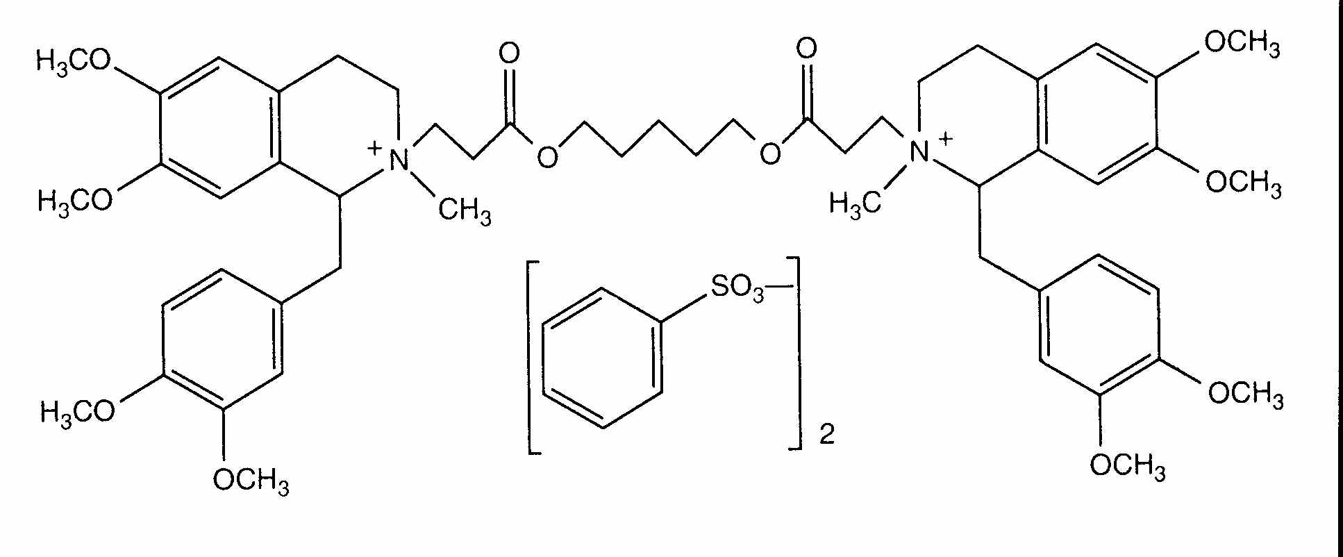
   keemiline struktuur  

Kaubanduslikud nimed erinevates maades   Kaubanduslikud nimed erinevates maades     

Preparaatide nimed on näitlikud ja abianete sisaldus võib erineda sõltuvalt riigist ja laborist

Abbocurium Poola
Acurmil Itaalia
Ancour Iraan
Anecur Iraan
Atacur Saudi Araabia
Atrabesylate Egiptus
Atracurio Argentiina, Brasiilia, Hispaania
Atracurio besilato Itaalia, Maroko, Tšiili, Venetsueela
Atracurium Araabia Ühendemiraadid, Argentiina, Austria, Egiptus, Iraan, Itaalia, Malaisia, Rootsi, Saksamaa, Saudi Araabia, Suurbritannia
Atracurium besilat Austria
Atracurium besilate Ameerika ühendriigid, Araabia Ühendemiraadid, Austraalia, Egiptus, Iraan, Kanada, Saudi Araabia, uus-Meremaa
Atralex Malaisia
Atrasyl Türgi
Besilato Atracurio Hispaania, Portugal, Tšiili
Faulcurium Egiptus, Portugal
Gelolagar Argentiina
Laurak Hispaania
Neucurium Türgi
Notrixum Türgi
Relactrac Kolumbia
Relatrac Mehhiko
Tracrium Ameerika ühendriigid, Araabia Ühendemiraadid, Austria, Belgia, Ecuador, Egiptus, Hispaania, Holland, Iirimaa, Iraan, Itaalia, Kolumbia, Kreeka, Luksemburg, Malaisia, Maroko, Mehhiko, Poola, Portugal, Prantsusmaa, Rumeenia, Saksamaa, Saudi Araabia, Sloveenia, Suurbritannia, Sveits, Tšiili, Türgi, Ungari, uus-Meremaa
Tracumek Maroko
Tracurix Argentiina
Tracuron Argentiina
Sobimatus   Süsteravim   Sobimatus : Atracurium besylate              
Sellel lehel kuvatakse sobimatusi ja sobimatuse tüüpi (sadenemine, värvuse muutus, emulsiooni modifitseerumine jne). Enamasti on siin lehel kuvatud füüsikalised sobimatused, kuna molekulide keemilist stabiilsust hinnatakse harva. Hinnatud on segude sobivust Y-liinis. Antud infot ei saa kasutada ravimite sobivuse hindamiseks juhul, kui ravimid on segatud süstaldes või infusioonikottides. See info on lehel « stabiilsus segudes ».
ingredient lahusti Viited
Täpsustamata sobimatus Sobimatu
Süsteravim Atracurium besylate
Süsteravim Amobarbital sodium
3676
Sobimatu
Süsteravim Atracurium besylate 0.5 mg/ml
Ringer laktaat 1093
Ühilduv
Süsteravim Atracurium besylate 0.5 mg/ml
Süsteravim Aminophylline 1 mg/ml
glükoos 5% 402
Ühilduv
Süsteravim Atracurium besylate 5 mg/ml
Süsteravim Amiodarone hydrochloride 6 mg/ml
glükoos 5% 1611
Ühilduv
Süsteravim Atracurium besylate 0.5 mg/ml
Süsteravim Cefazolin sodium 10 mg/ml
glükoos 5% 402
Ühilduv
Süsteravim Atracurium besylate
glükoos 5% 3629
Ühilduv
Süsteravim Atracurium besylate 0.5 mg/ml
Süsteravim Cefuroxime sodium 7.5 mg/ml
glükoos 5% 402
Ühilduv
Süsteravim Atracurium besylate 0.5 mg/ml
Süsteravim Co-trimoxazole 3.2/0.64 mg/ml
glükoos 5% 402
Kohene sade Sobimatu
Süsteravim Atracurium besylate 0.5 mg/ml
Süsteravim Diazepam 5 mg/ml
glükoos 5% 402
Kohene sade Sobimatu
Süsteravim Atracurium besylate
Süsteravim Diclofenac
1647
Ühilduv
Süsteravim Atracurium besylate 0.5 mg/ml
Süsteravim Dopamine hydrochloride 1.6 mg/ml
glükoos 5% 402
Täpsustamata sobimatus Sobimatu
Süsteravim Atracurium besylate
NaHCO3 3676
Ühilduv
Süsteravim Atracurium besylate 0.5 mg/ml
Süsteravim Cimetidine hydrochloride 6 mg/ml
glükoos 5% 402
Ühilduv
Süsteravim Atracurium besylate
Süsteravim Dexmedetomidine
5042
Ühilduv
Süsteravim Atracurium besylate 0.5 mg/ml
Süsteravim Dobutamine hydrochloride 1 mg/ml
glükoos 5% 402
Täpsustamata sobimatus Sobimatu
Süsteravim Atracurium besylate
NaHCO3 3629
Ühilduv
Süsteravim Atracurium besylate 2 mg/ml
Süsteravim Ciprofloxacin lactate 2 mg/ml
glükoos 5% 285
Ühilduv
Süsteravim Atracurium besylate 0.5 mg/ml
Süsteravim Epinephrine hydrochloride 4 µg/ml
glükoos 5% 402
Ühilduv
Süsteravim Atracurium besylate 0.5 mg/ml
Süsteravim Esmolol hydrochloride 10 mg/ml
glükoos 5% 402
Ühilduv
Süsteravim Atracurium besylate 10 mg/ml
Parenteraalse toitmise (lipiide tasuta) 939
Ühilduv
Süsteravim Atracurium besylate 10 mg/ml
Süsteravim Etomidate 2 mg/ml
mitte ükski 319
Ühilduv
Süsteravim Atracurium besylate 0.5 mg/ml
Süsteravim Fenoldopam mesylate 80 µg/ml
naatriumkloriid 0.9% 1803
Ühilduv
Süsteravim Atracurium besylate 0.5 mg/ml
Süsteravim Fentanyl citrate 10 µg/ml
glükoos 5% 402
Ühilduv
Süsteravim Atracurium besylate 0.5 mg/ml
Süsteravim Gentamicin sulfate 2 mg/ml
glükoos 5% 402
Ühilduv
Süsteravim Atracurium besylate 0.5 mg/ml
Süsteravim Heparin sodium 40 UI/ml
glükoos 5% 402
Ühilduv
Süsteravim Atracurium besylate 0.5 mg/ml
Süsteravim Hetastarch 60 mg/ml
konkreetsed lahusti 1721
Ühilduv
Süsteravim Atracurium besylate 0.5 mg/ml
Süsteravim Hydrocortisone sodium succinate 1 mg/ml
glükoos 5% 402
Ühilduv
Süsteravim Atracurium besylate 0.5 mg/ml
Süsteravim Isoprenaline hydrochloride 0.004 mg/ml
glükoos 5% 402
Ühilduv
Süsteravim Atracurium besylate 0.5 mg/ml
Süsteravim Lorazepam 0.5 mg/ml
glükoos 5% 402
Täpsustamata sobimatus Sobimatu
Süsteravim Atracurium besylate
Süsteravim Methohexital sodium
3676
Ühilduv
Süsteravim Atracurium besylate 1 & 5 mg/ml
Süsteravim Midazolam hydrochloride 0.1 & 0.5 mg/ml
glükoos 5% 865
Ühilduv
Süsteravim Atracurium besylate 0.5 mg/ml
Süsteravim Midazolam hydrochloride 0.05 mg/ml
glükoos 5% 402
Ühilduv
Süsteravim Atracurium besylate 2 mg/ml
Süsteravim Milrinone lactate 0.8 mg/ml
glükoos 5% 813
Ühilduv
Süsteravim Atracurium besylate 0.5 mg/ml
Süsteravim Morphine sulfate 1 mg/ml
glükoos 5% 402
Ühilduv
Süsteravim Atracurium besylate 0.5 mg/ml
Süsteravim Nitroglycerin 0.4 mg/ml
glükoos 5% 402
Ühilduv
Süsteravim Atracurium besylate 0.5 mg/ml
Süsteravim Nitroprusside sodium 0.2 mg/ml
glükoos 5% 402
Täpsustamata sobimatus Sobimatu
Süsteravim Atracurium besylate
Süsteravim Pentobarbital sodium
3676
Täpsustamata sobimatus Sobimatu
Süsteravim Atracurium besylate
Süsteravim Phenobarbital sodium
3676
Emulsiooni kohene ebastabiilsus Sobimatu
Süsteravim Atracurium besylate 10 mg/ml
Süsteravim Propofol 10 mg/ml
mitte ükski 300
Emulsiooni ebastabiilsus 1 tunni pärast Sobimatu
Süsteravim Atracurium besylate 10 mg/ml
Süsteravim Propofol
660
Täpsustamata sobimatus Sobimatu
Süsteravim Atracurium besylate
Süsteravim Propofol
3659
Ühilduv
Süsteravim Atracurium besylate 10 mg/ml
Süsteravim Propofol 2 mg/ml
mitte ükski 319
Täpsustamata sobimatus Sobimatu
Süsteravim Atracurium besylate
Süsteravim Propofol
3502
Ühilduv
Süsteravim Atracurium besylate 0.5 mg/ml
Süsteravim Ranitidine hydrochloride 0.5 mg/ml
glükoos 5% 402
Täpsustamata sobimatus Sobimatu
Süsteravim Atracurium besylate
Süsteravim Sodium bicarbonate
3629
Täpsustamata sobimatus Sobimatu
Süsteravim Atracurium besylate
Süsteravim Sodium bicarbonate
3676
Kohene sade Sobimatu
Süsteravim Atracurium besylate
Süsteravim Thiopental sodium
3373
Täpsustamata sobimatus Sobimatu
Süsteravim Atracurium besylate
Süsteravim Thiopental sodium
3629
Täpsustamata sobimatus Sobimatu
Süsteravim Atracurium besylate
Süsteravim Thiopental sodium
3676
Ühilduv
Süsteravim Atracurium besylate 0.2 mg/ml
Süsteravim Valproic acid 2 & 20 mg/ml
naatriumkloriid 0.9% 4428
Ühilduv
Süsteravim Atracurium besylate
naatriumkloriid 0.9% 3629
Kohene hägusus Sobimatu
Süsteravim Atracurium besylate 10 mg/ml
Süsteravim Thiopental sodium 25 mg/ml
süstevesi 319
Ühilduv
Süsteravim Atracurium besylate 0.2 mg/ml
Süsteravim Valproic acid 2 & 20 mg/ml
glükoos 5% 4428
Ühilduv
Süsteravim Atracurium besylate 0.5 mg/ml
Süsteravim Vancomycin hydrochloride 5 mg/ml
glükoos 5% 402

  Mentions Légales