Seneste opdatering :
18/03/2026
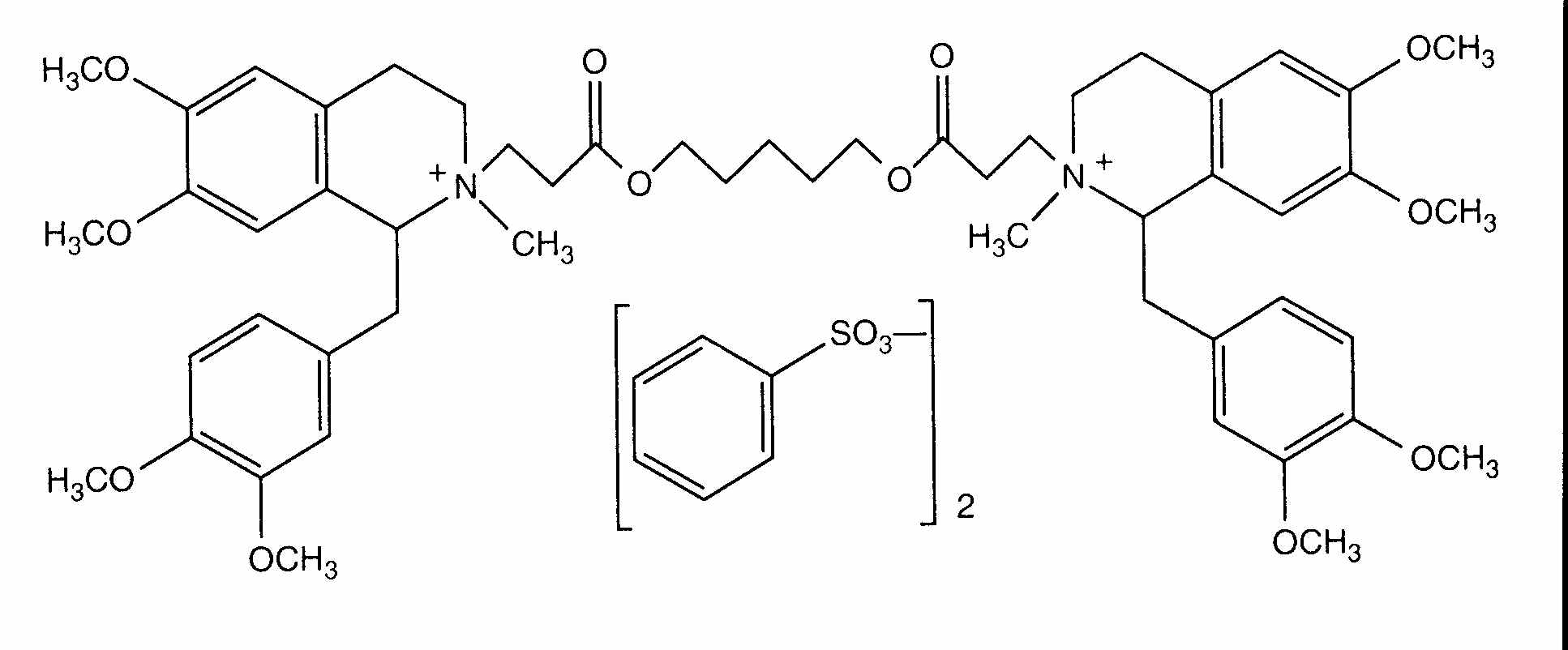
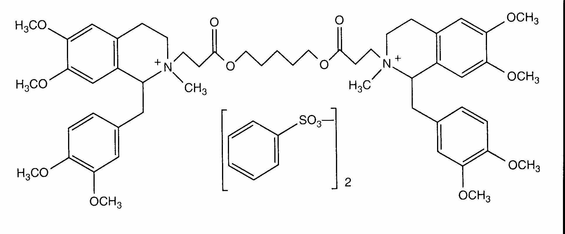
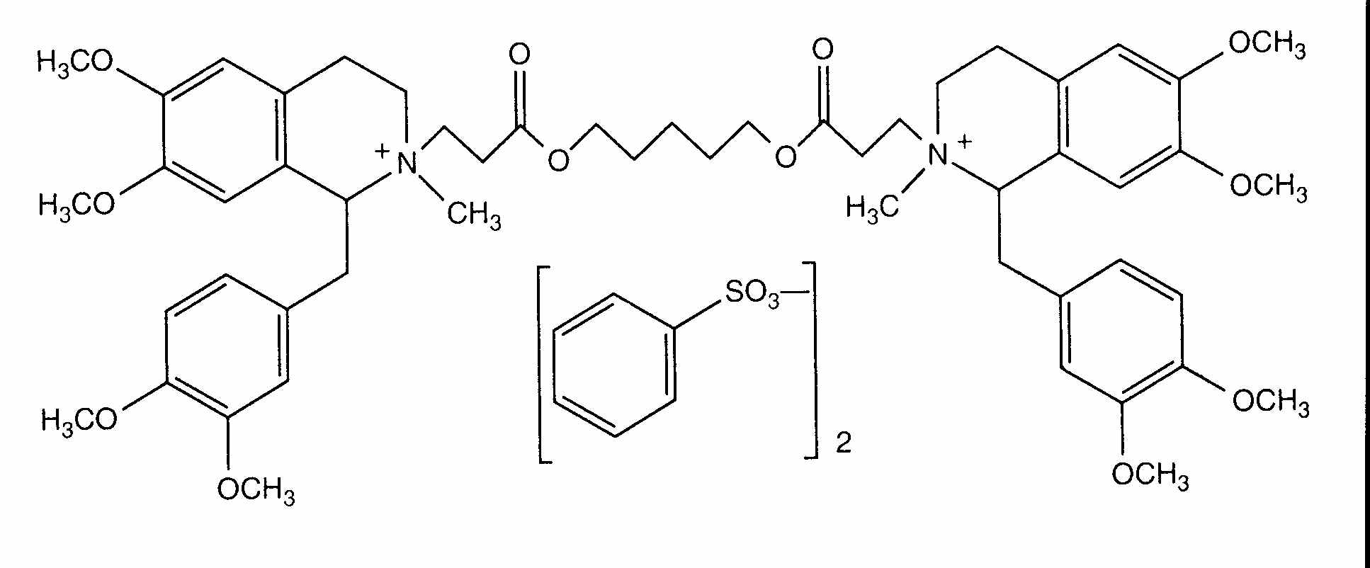
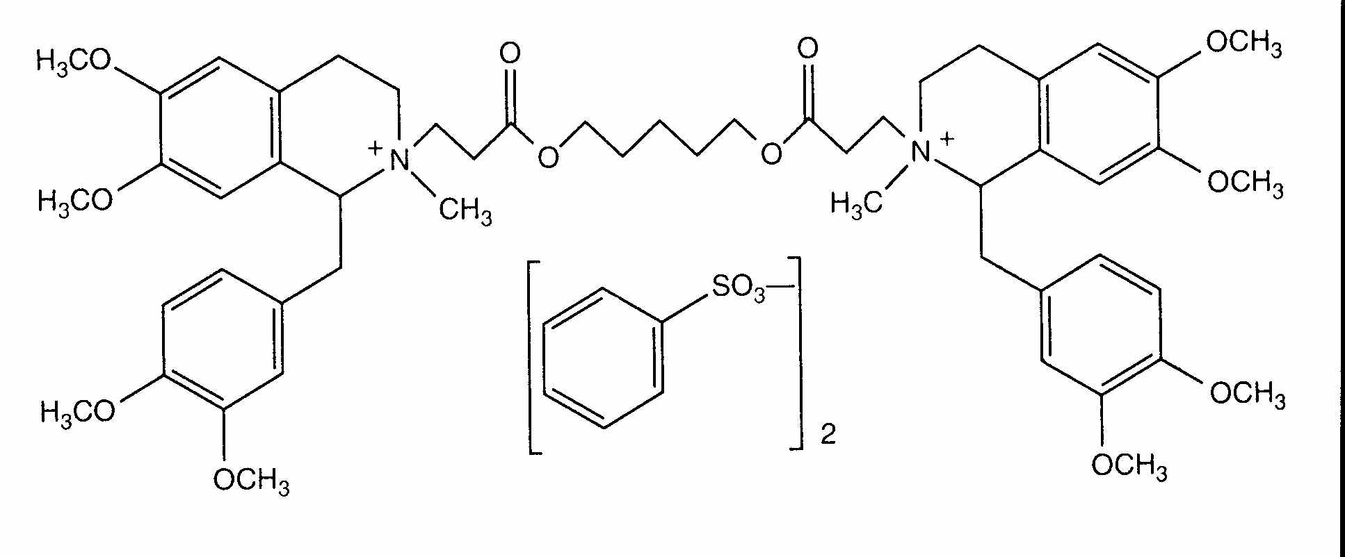
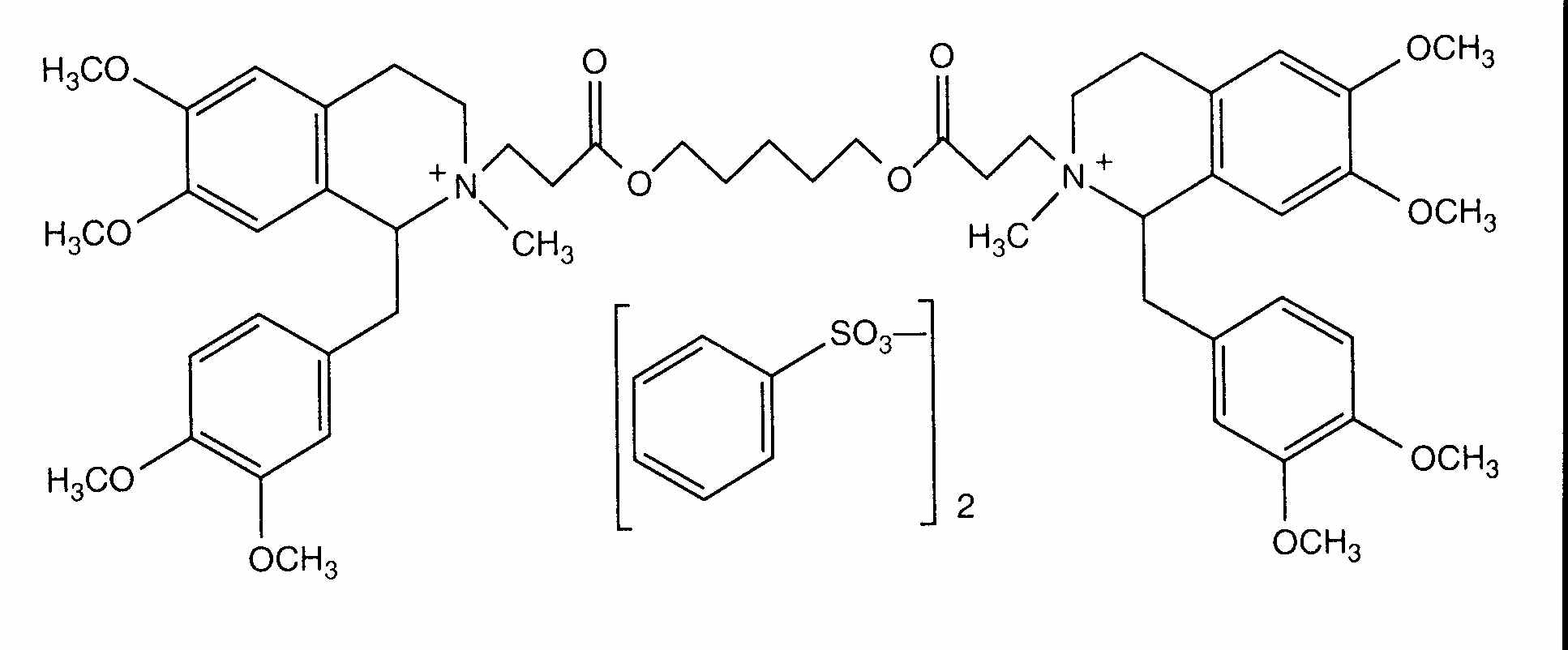
Curamimetisk   Atracurium besylate  
Injektion
Stabilitet i (vandige) opløsninger Stabilitet i blandinger Faktorer der påvirker stabiliteten Kompatibilitet Administrationsvej Bibliografi pdf
   Kemisk struktur  

Handelsnavn   Handelsnavn     

Handel navne er vejledende og hjælpestoffer sammensætning kan være forskellig afhængigt af landet og laboratorier

Abbocurium Polen
Acurmil Italien
Ancour Iran
Anecur Iran
Atacur Saudi-Arabien
Atrabesylate Ægypten
Atracurio Argentina, Brasilien, Spanien
Atracurio besilato Chile, Italien, Marokko, Venezuela
Atracurium Argentina, Forenede Arabiske Emirater, Iran, Italien, Malaysia, Saudi-Arabien, Storbritanien, Sverige, Tyskland, Ægypten, Østrig
Atracurium besilat Østrig
Atracurium besilate Australien, Canada, Forenede Arabiske Emirater, Iran, New Zealand, Saudi-Arabien, USA, Ægypten
Atralex Malaysia
Atrasyl Tyrkiet
Besilato Atracurio Chile, Portugal, Spanien
Faulcurium Portugal, Ægypten
Gelolagar Argentina
Laurak Spanien
Neucurium Tyrkiet
Notrixum Tyrkiet
Relactrac Colombia
Relatrac Mexico
Tracrium Belgien, Chile, Colombia, Ecuador, Forenede Arabiske Emirater, Frankrig, Grækenland, Holland, Iran, Irland, Italien, Luxemborg, Malaysia, Marokko, Mexico, New Zealand, Polen, Portugal, Rumænien, Saudi-Arabien, Schweiz, Slovenien, Spanien, Storbritanien, Tyrkiet, Tyskland, Ungarn, USA, Ægypten, Østrig
Tracumek Marokko
Tracurix Argentina
Tracuron Argentina
Kompatibilitet   Injektion   Kompatibilitet : Atracurium besylate              
Denne skærm viser kompatibilitet eller uforenelighed med, i dette tilfælde typen af inkompatibilitet (udfældning, farveændring, ændring af en emulsion osv.). Kompatibiliteterne vist her er for det meste kun fysiske, idet den kemiske stabilitet af hvert molekyle sjældent vurderes. Evalueringen af disse blandinger blev undersøgt for at overveje muligheden for Y-sted-administration til patienten. Disse data kan ikke bruges til at fremstille blandinger på forhånd i poser eller sprøjter. Denne type information findes på skærmen "Stabilitet i blanding".
Molekyle Opløsningsmiddel Bibliografi
Uspecificeret inkompatibilitet Uforenelig
Injektion Atracurium besylate
Injektion Amobarbital sodium
3676
Uforenelig
Injektion Atracurium besylate 0.5 mg/ml
Ringer laktat 1093
Kompatibel
Injektion Atracurium besylate 0.5 mg/ml
Injektion Aminophylline 1 mg/ml
5 % Glukose 402
Kompatibel
Injektion Atracurium besylate 5 mg/ml
Injektion Amiodarone hydrochloride 6 mg/ml
5 % Glukose 1611
Kompatibel
Injektion Atracurium besylate 0.5 mg/ml
Injektion Cefazolin sodium 10 mg/ml
5 % Glukose 402
Kompatibel
Injektion Atracurium besylate
5 % Glukose 3629
Kompatibel
Injektion Atracurium besylate 0.5 mg/ml
Injektion Cefuroxime sodium 7.5 mg/ml
5 % Glukose 402
Kompatibel
Injektion Atracurium besylate 0.5 mg/ml
Injektion Co-trimoxazole 3.2/0.64 mg/ml
5 % Glukose 402
Umiddelbar nedbør Uforenelig
Injektion Atracurium besylate 0.5 mg/ml
Injektion Diazepam 5 mg/ml
5 % Glukose 402
Umiddelbar nedbør Uforenelig
Injektion Atracurium besylate
Injektion Diclofenac
1647
Kompatibel
Injektion Atracurium besylate 0.5 mg/ml
Injektion Dopamine hydrochloride 1.6 mg/ml
5 % Glukose 402
Uspecificeret inkompatibilitet Uforenelig
Injektion Atracurium besylate
NaHCO3 3676
Kompatibel
Injektion Atracurium besylate 0.5 mg/ml
Injektion Cimetidine hydrochloride 6 mg/ml
5 % Glukose 402
Kompatibel
Injektion Atracurium besylate
Injektion Dexmedetomidine
5042
Kompatibel
Injektion Atracurium besylate 0.5 mg/ml
Injektion Dobutamine hydrochloride 1 mg/ml
5 % Glukose 402
Uspecificeret inkompatibilitet Uforenelig
Injektion Atracurium besylate
NaHCO3 3629
Kompatibel
Injektion Atracurium besylate 2 mg/ml
Injektion Ciprofloxacin lactate 2 mg/ml
5 % Glukose 285
Kompatibel
Injektion Atracurium besylate 0.5 mg/ml
Injektion Epinephrine hydrochloride 4 µg/ml
5 % Glukose 402
Kompatibel
Injektion Atracurium besylate 0.5 mg/ml
Injektion Esmolol hydrochloride 10 mg/ml
5 % Glukose 402
Kompatibel
Injektion Atracurium besylate 10 mg/ml
Parenteral ernæring (lipid-fri) 939
Kompatibel
Injektion Atracurium besylate 10 mg/ml
Injektion Etomidate 2 mg/ml
Ingen 319
Kompatibel
Injektion Atracurium besylate 0.5 mg/ml
Injektion Fenoldopam mesylate 80 µg/ml
0,9 % Natriumklorid 1803
Kompatibel
Injektion Atracurium besylate 0.5 mg/ml
Injektion Fentanyl citrate 10 µg/ml
5 % Glukose 402
Kompatibel
Injektion Atracurium besylate 0.5 mg/ml
Injektion Gentamicin sulfate 2 mg/ml
5 % Glukose 402
Kompatibel
Injektion Atracurium besylate 0.5 mg/ml
Injektion Heparin sodium 40 UI/ml
5 % Glukose 402
Kompatibel
Injektion Atracurium besylate 0.5 mg/ml
Injektion Hetastarch 60 mg/ml
specifikt opløsningsmiddel 1721
Kompatibel
Injektion Atracurium besylate 0.5 mg/ml
Injektion Hydrocortisone sodium succinate 1 mg/ml
5 % Glukose 402
Kompatibel
Injektion Atracurium besylate 0.5 mg/ml
Injektion Isoprenaline hydrochloride 0.004 mg/ml
5 % Glukose 402
Kompatibel
Injektion Atracurium besylate 0.5 mg/ml
Injektion Lorazepam 0.5 mg/ml
5 % Glukose 402
Uspecificeret inkompatibilitet Uforenelig
Injektion Atracurium besylate
Injektion Methohexital sodium
3676
Kompatibel
Injektion Atracurium besylate 1 & 5 mg/ml
Injektion Midazolam hydrochloride 0.1 & 0.5 mg/ml
5 % Glukose 865
Kompatibel
Injektion Atracurium besylate 0.5 mg/ml
Injektion Midazolam hydrochloride 0.05 mg/ml
5 % Glukose 402
Kompatibel
Injektion Atracurium besylate 2 mg/ml
Injektion Milrinone lactate 0.8 mg/ml
5 % Glukose 813
Kompatibel
Injektion Atracurium besylate 0.5 mg/ml
Injektion Morphine sulfate 1 mg/ml
5 % Glukose 402
Kompatibel
Injektion Atracurium besylate 0.5 mg/ml
Injektion Nitroglycerin 0.4 mg/ml
5 % Glukose 402
Kompatibel
Injektion Atracurium besylate 0.5 mg/ml
Injektion Nitroprusside sodium 0.2 mg/ml
5 % Glukose 402
Uspecificeret inkompatibilitet Uforenelig
Injektion Atracurium besylate
Injektion Pentobarbital sodium
3676
Uspecificeret inkompatibilitet Uforenelig
Injektion Atracurium besylate
Injektion Phenobarbital sodium
3676
Umiddelbar ustabilitet af emulsionen Uforenelig
Injektion Atracurium besylate 10 mg/ml
Injektion Propofol 10 mg/ml
Ingen 300
Ustabilitet af emulsionen efter 1 time Uforenelig
Injektion Atracurium besylate 10 mg/ml
Injektion Propofol
660
Uspecificeret inkompatibilitet Uforenelig
Injektion Atracurium besylate
Injektion Propofol
3659
Kompatibel
Injektion Atracurium besylate 10 mg/ml
Injektion Propofol 2 mg/ml
Ingen 319
Uspecificeret inkompatibilitet Uforenelig
Injektion Atracurium besylate
Injektion Propofol
3502
Kompatibel
Injektion Atracurium besylate 0.5 mg/ml
Injektion Ranitidine hydrochloride 0.5 mg/ml
5 % Glukose 402
Uspecificeret inkompatibilitet Uforenelig
Injektion Atracurium besylate
Injektion Sodium bicarbonate
3629
Uspecificeret inkompatibilitet Uforenelig
Injektion Atracurium besylate
Injektion Sodium bicarbonate
3676
Umiddelbar nedbør Uforenelig
Injektion Atracurium besylate
Injektion Thiopental sodium
3373
Uspecificeret inkompatibilitet Uforenelig
Injektion Atracurium besylate
Injektion Thiopental sodium
3629
Uspecificeret inkompatibilitet Uforenelig
Injektion Atracurium besylate
Injektion Thiopental sodium
3676
Kompatibel
Injektion Atracurium besylate 0.2 mg/ml
Injektion Valproic acid 2 & 20 mg/ml
0,9 % Natriumklorid 4428
Kompatibel
Injektion Atracurium besylate
0,9 % Natriumklorid 3629
Umiddelbar turbiditet Uforenelig
Injektion Atracurium besylate 10 mg/ml
Injektion Thiopental sodium 25 mg/ml
Vand til injektion 319
Kompatibel
Injektion Atracurium besylate 0.2 mg/ml
Injektion Valproic acid 2 & 20 mg/ml
5 % Glukose 4428
Kompatibel
Injektion Atracurium besylate 0.5 mg/ml
Injektion Vancomycin hydrochloride 5 mg/ml
5 % Glukose 402

  Mentions Légales