Последно актуализиране :
18/03/2026
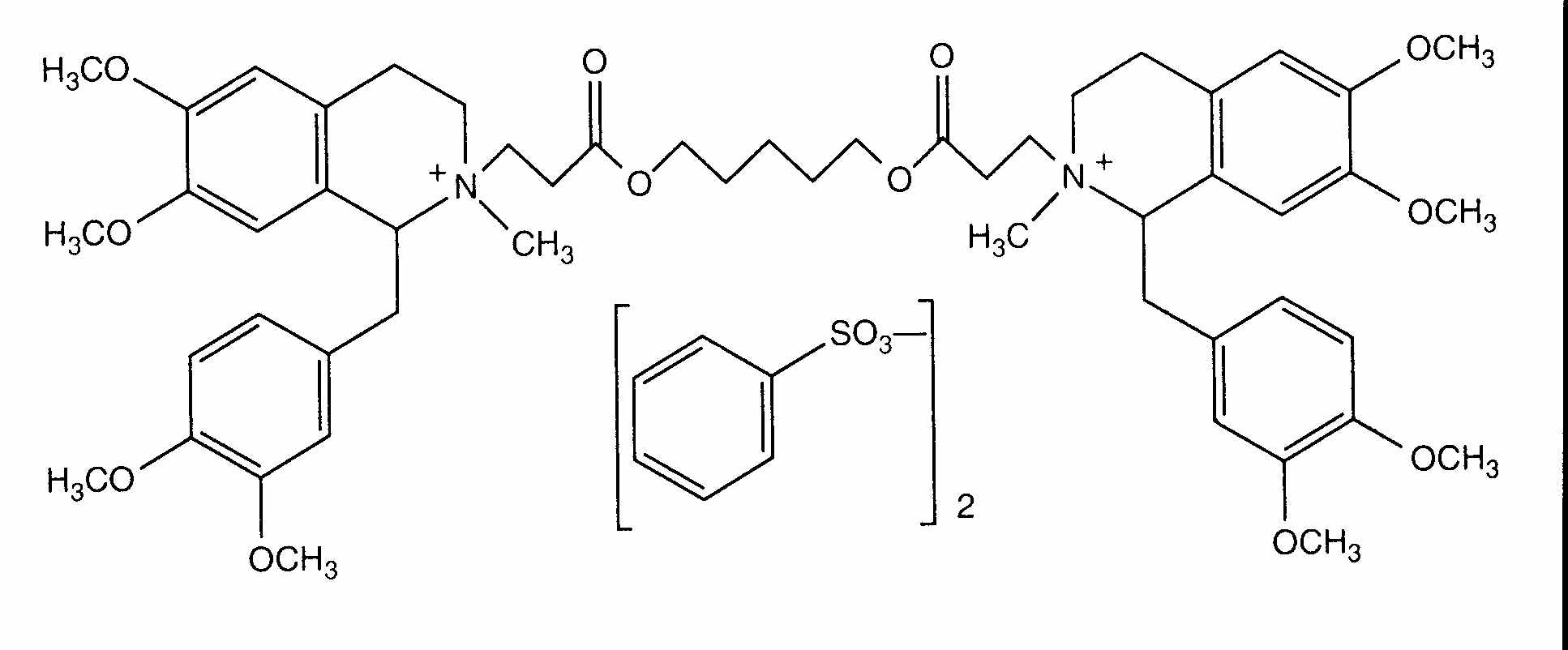
Кураре-миметик   Atracurium besylate  
Инжекция/Инжекционен
Стабилност на разтвори Стабилност на смеси Фактори, повлияващи стабилността Съвместимост Път на въвеждане Библиография Pdf
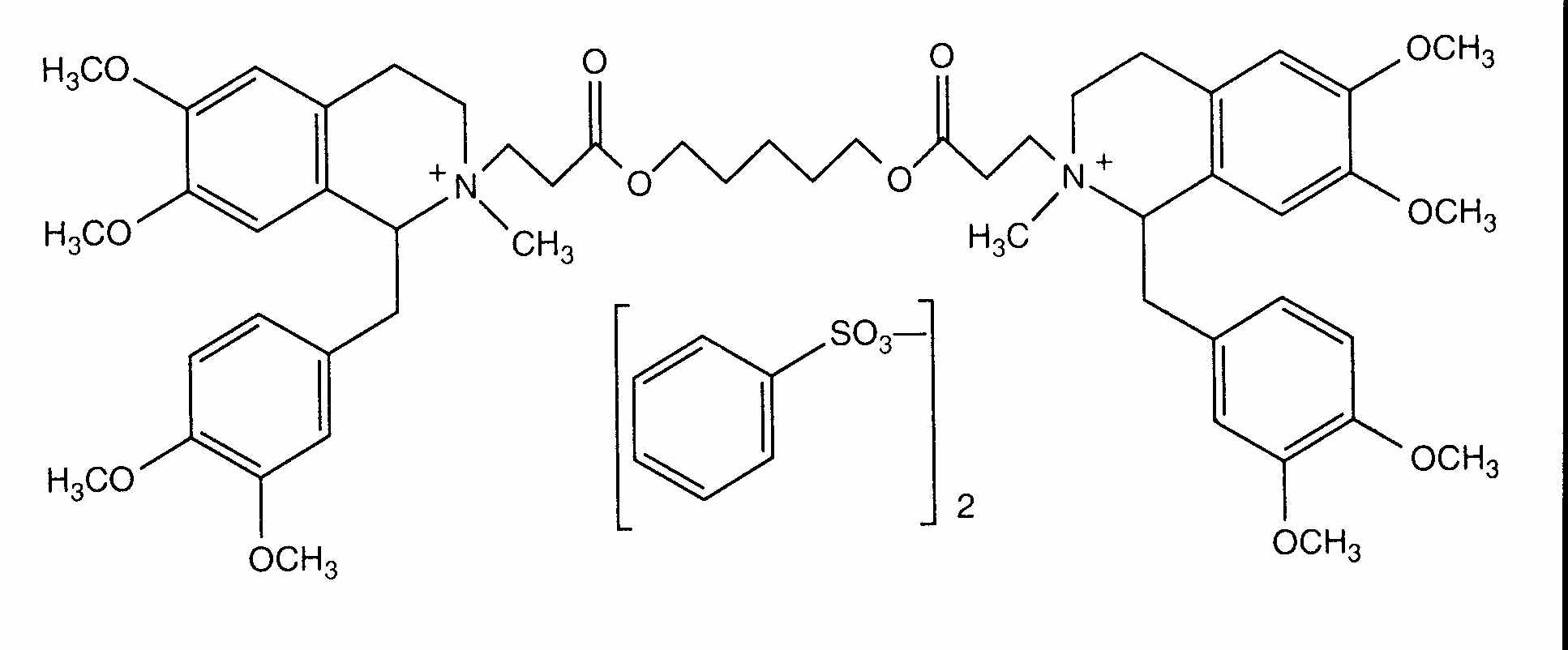
   Химична структура  

Търговско наименование   Търговско наименование     

Търговските имена са примерни и съставът на помощните вещества може да бъде различен в зависимост от държавата и лабораториите

Abbocurium Полша
Acurmil Италия
Ancour Иран
Anecur Иран
Atacur Саудитска Арабия
Atrabesylate Египет
Atracurio Аржентина, Бразилия, Испания
Atracurio besilato Венецуела, Италия, Перу, Чили
Atracurium Австрия, Аржентина, Великобритания, Германия, Египет, Иран, Италия, Малайзия, Обединени арабски емирства, Саудитска Арабия, Швеция
Atracurium besilat Австрия
Atracurium besilate Австралия, Египет, Иран, Канада, нова Зеландия, Обединени арабски емирства, Саудитска Арабия, Съединени Американски щати / САЩ
Atralex Малайзия
Atrasyl Турция
Besilato Atracurio Испания, Португалия, Чили
Faulcurium Египет, Португалия
Gelolagar Аржентина
Laurak Испания
Neucurium Турция
Notrixum Турция
Relactrac Колумбия
Relatrac Мексико
Tracrium Австрия, Белгия, Великобритания, Германия, Гърция, Египет, Еквадор, Иран, Ирландия, Испания, Италия, Колумбия, Люксенбург, Малайзия, Мароко, Мексико, нова Зеландия, Обединени арабски емирства, Полша, Португалия, Румъния, Саудитска Арабия, Словения, Съединени Американски щати / САЩ, Турция, Унгария, Франция, Холандия, Чили, Швейцария
Tracumek Перу
Tracurix Аржентина
Tracuron Аржентина
Съвместимост   Инжекция/Инжекционен   Съвместимост : Atracurium besylate              
Този екран показва съвместимостта или несъвместимостта с, в този случай, вида на несъвместимостта (утаяване, промяна на цвета, модификация на емулсия и др.). Показаните тук съвместимости са предимно физически, като рядко се оценява химическата стабилност на всяка молекула. Оценката на тези смеси беше проучена, за да се разгледа възможността за приложение на Y-място на пациента. Тези данни не могат да се използват за предварително приготвяне на смеси в торбички или спринцовки. Този тип информация е достъпна на екрана "Стабилност в сместа".
Състав / молекула Разтворител Библиография
Неопределена несъвместимост Несъвместим
Инжекция/Инжекционен Atracurium besylate
Инжекция/Инжекционен Amobarbital sodium
3676
Несъвместим
Инжекция/Инжекционен Atracurium besylate 0.5 mg/ml
Ринтер лактат 1093
съвместим
Инжекция/Инжекционен Atracurium besylate 0.5 mg/ml
Инжекция/Инжекционен Aminophylline 1 mg/ml
Glucose 5% 402
съвместим
Инжекция/Инжекционен Atracurium besylate 5 mg/ml
Инжекция/Инжекционен Amiodarone hydrochloride 6 mg/ml
Glucose 5% 1611
съвместим
Инжекция/Инжекционен Atracurium besylate 0.5 mg/ml
Инжекция/Инжекционен Cefazolin sodium 10 mg/ml
Glucose 5% 402
съвместим
Инжекция/Инжекционен Atracurium besylate
Glucose 5% 3629
съвместим
Инжекция/Инжекционен Atracurium besylate 0.5 mg/ml
Инжекция/Инжекционен Cefuroxime sodium 7.5 mg/ml
Glucose 5% 402
съвместим
Инжекция/Инжекционен Atracurium besylate 0.5 mg/ml
Инжекция/Инжекционен Co-trimoxazole 3.2/0.64 mg/ml
Glucose 5% 402
Незабавни валежи Несъвместим
Инжекция/Инжекционен Atracurium besylate 0.5 mg/ml
Инжекция/Инжекционен Diazepam 5 mg/ml
Glucose 5% 402
Незабавни валежи Несъвместим
Инжекция/Инжекционен Atracurium besylate
Инжекция/Инжекционен Diclofenac
1647
съвместим
Инжекция/Инжекционен Atracurium besylate 0.5 mg/ml
Инжекция/Инжекционен Dopamine hydrochloride 1.6 mg/ml
Glucose 5% 402
Неопределена несъвместимост Несъвместим
Инжекция/Инжекционен Atracurium besylate
NaHCO3 3676
съвместим
Инжекция/Инжекционен Atracurium besylate 0.5 mg/ml
Инжекция/Инжекционен Cimetidine hydrochloride 6 mg/ml
Glucose 5% 402
съвместим
Инжекция/Инжекционен Atracurium besylate
Инжекция/Инжекционен Dexmedetomidine
5042
съвместим
Инжекция/Инжекционен Atracurium besylate 0.5 mg/ml
Инжекция/Инжекционен Dobutamine hydrochloride 1 mg/ml
Glucose 5% 402
Неопределена несъвместимост Несъвместим
Инжекция/Инжекционен Atracurium besylate
NaHCO3 3629
съвместим
Инжекция/Инжекционен Atracurium besylate 2 mg/ml
Инжекция/Инжекционен Ciprofloxacin lactate 2 mg/ml
Glucose 5% 285
съвместим
Инжекция/Инжекционен Atracurium besylate 0.5 mg/ml
Инжекция/Инжекционен Epinephrine hydrochloride 4 µg/ml
Glucose 5% 402
съвместим
Инжекция/Инжекционен Atracurium besylate 0.5 mg/ml
Инжекция/Инжекционен Esmolol hydrochloride 10 mg/ml
Glucose 5% 402
съвместим
Инжекция/Инжекционен Atracurium besylate 10 mg/ml
Парентерално хранене (липидите безплатно) 939
съвместим
Инжекция/Инжекционен Atracurium besylate 10 mg/ml
Инжекция/Инжекционен Etomidate 2 mg/ml
Няма 319
съвместим
Инжекция/Инжекционен Atracurium besylate 0.5 mg/ml
Инжекция/Инжекционен Fenoldopam mesylate 80 µg/ml
Sodium chloride 0,9% 1803
съвместим
Инжекция/Инжекционен Atracurium besylate 0.5 mg/ml
Инжекция/Инжекционен Fentanyl citrate 10 µg/ml
Glucose 5% 402
съвместим
Инжекция/Инжекционен Atracurium besylate 0.5 mg/ml
Инжекция/Инжекционен Gentamicin sulfate 2 mg/ml
Glucose 5% 402
съвместим
Инжекция/Инжекционен Atracurium besylate 0.5 mg/ml
Инжекция/Инжекционен Heparin sodium 40 UI/ml
Glucose 5% 402
съвместим
Инжекция/Инжекционен Atracurium besylate 0.5 mg/ml
Инжекция/Инжекционен Hetastarch 60 mg/ml
Специфична разтворител 1721
съвместим
Инжекция/Инжекционен Atracurium besylate 0.5 mg/ml
Инжекция/Инжекционен Hydrocortisone sodium succinate 1 mg/ml
Glucose 5% 402
съвместим
Инжекция/Инжекционен Atracurium besylate 0.5 mg/ml
Инжекция/Инжекционен Isoprenaline hydrochloride 0.004 mg/ml
Glucose 5% 402
съвместим
Инжекция/Инжекционен Atracurium besylate 0.5 mg/ml
Инжекция/Инжекционен Lorazepam 0.5 mg/ml
Glucose 5% 402
Неопределена несъвместимост Несъвместим
Инжекция/Инжекционен Atracurium besylate
Инжекция/Инжекционен Methohexital sodium
3676
съвместим
Инжекция/Инжекционен Atracurium besylate 1 & 5 mg/ml
Инжекция/Инжекционен Midazolam hydrochloride 0.1 & 0.5 mg/ml
Glucose 5% 865
съвместим
Инжекция/Инжекционен Atracurium besylate 0.5 mg/ml
Инжекция/Инжекционен Midazolam hydrochloride 0.05 mg/ml
Glucose 5% 402
съвместим
Инжекция/Инжекционен Atracurium besylate 2 mg/ml
Инжекция/Инжекционен Milrinone lactate 0.8 mg/ml
Glucose 5% 813
съвместим
Инжекция/Инжекционен Atracurium besylate 0.5 mg/ml
Инжекция/Инжекционен Morphine sulfate 1 mg/ml
Glucose 5% 402
съвместим
Инжекция/Инжекционен Atracurium besylate 0.5 mg/ml
Инжекция/Инжекционен Nitroglycerin 0.4 mg/ml
Glucose 5% 402
съвместим
Инжекция/Инжекционен Atracurium besylate 0.5 mg/ml
Инжекция/Инжекционен Nitroprusside sodium 0.2 mg/ml
Glucose 5% 402
Неопределена несъвместимост Несъвместим
Инжекция/Инжекционен Atracurium besylate
Инжекция/Инжекционен Pentobarbital sodium
3676
Неопределена несъвместимост Несъвместим
Инжекция/Инжекционен Atracurium besylate
Инжекция/Инжекционен Phenobarbital sodium
3676
Непосредствена нестабилност на емулсията Несъвместим
Инжекция/Инжекционен Atracurium besylate 10 mg/ml
Инжекция/Инжекционен Propofol 10 mg/ml
Няма 300
Нестабилност на емулсията след 1 час Несъвместим
Инжекция/Инжекционен Atracurium besylate 10 mg/ml
Инжекция/Инжекционен Propofol
660
Неопределена несъвместимост Несъвместим
Инжекция/Инжекционен Atracurium besylate
Инжекция/Инжекционен Propofol
3659
съвместим
Инжекция/Инжекционен Atracurium besylate 10 mg/ml
Инжекция/Инжекционен Propofol 2 mg/ml
Няма 319
Неопределена несъвместимост Несъвместим
Инжекция/Инжекционен Atracurium besylate
Инжекция/Инжекционен Propofol
3502
съвместим
Инжекция/Инжекционен Atracurium besylate 0.5 mg/ml
Инжекция/Инжекционен Ranitidine hydrochloride 0.5 mg/ml
Glucose 5% 402
Неопределена несъвместимост Несъвместим
Инжекция/Инжекционен Atracurium besylate
Инжекция/Инжекционен Sodium bicarbonate
3629
Неопределена несъвместимост Несъвместим
Инжекция/Инжекционен Atracurium besylate
Инжекция/Инжекционен Sodium bicarbonate
3676
Незабавни валежи Несъвместим
Инжекция/Инжекционен Atracurium besylate
Инжекция/Инжекционен Thiopental sodium
3373
Неопределена несъвместимост Несъвместим
Инжекция/Инжекционен Atracurium besylate
Инжекция/Инжекционен Thiopental sodium
3629
Неопределена несъвместимост Несъвместим
Инжекция/Инжекционен Atracurium besylate
Инжекция/Инжекционен Thiopental sodium
3676
съвместим
Инжекция/Инжекционен Atracurium besylate 0.2 mg/ml
Инжекция/Инжекционен Valproic acid 2 & 20 mg/ml
Sodium chloride 0,9% 4428
съвместим
Инжекция/Инжекционен Atracurium besylate
Sodium chloride 0,9% 3629
Незабавна мътност Несъвместим
Инжекция/Инжекционен Atracurium besylate 10 mg/ml
Инжекция/Инжекционен Thiopental sodium 25 mg/ml
Вода за инжекции 319
съвместим
Инжекция/Инжекционен Atracurium besylate 0.2 mg/ml
Инжекция/Инжекционен Valproic acid 2 & 20 mg/ml
Glucose 5% 4428
съвместим
Инжекция/Инжекционен Atracurium besylate 0.5 mg/ml
Инжекция/Инжекционен Vancomycin hydrochloride 5 mg/ml
Glucose 5% 402

  Mentions Légales