Última actualização :
18/03/2026
Curarizante   Atracurium besylate  
injetável
Estabilidade em soluções simples Estabilidade em misturas Factores que afectam a sua estabilidade Compatibilidade Método de administração Bibliografía pdf
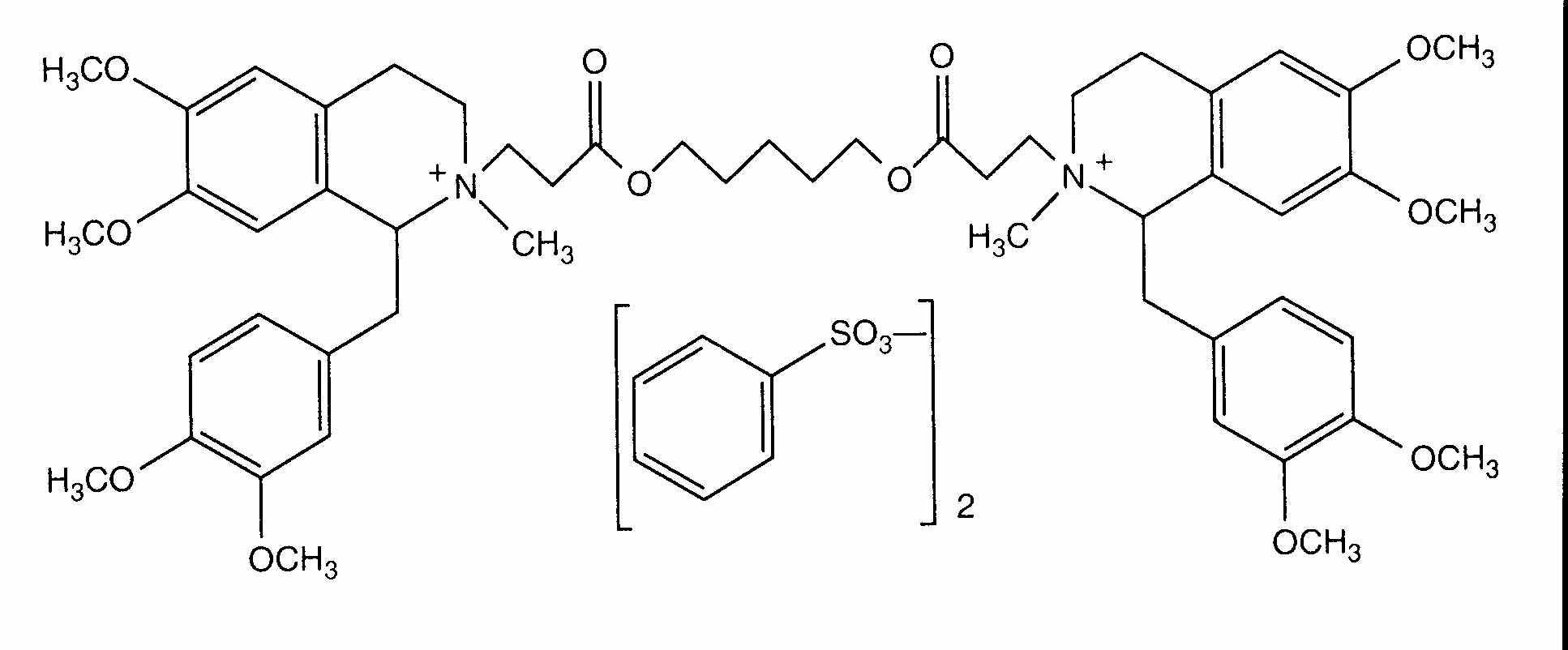
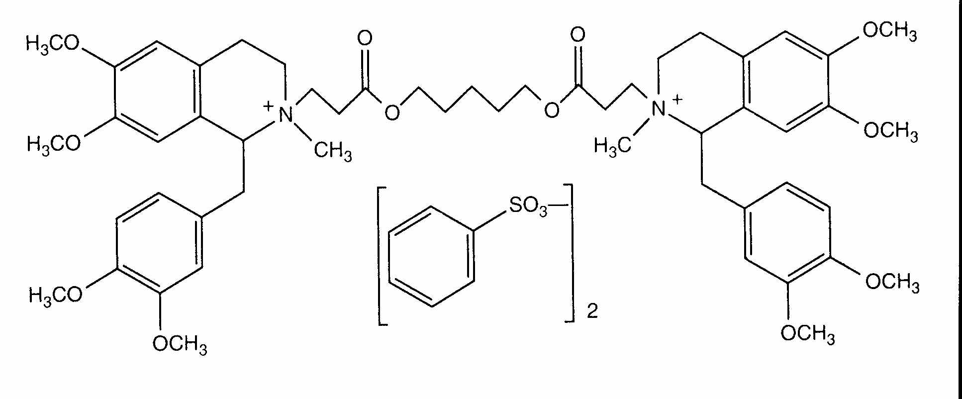
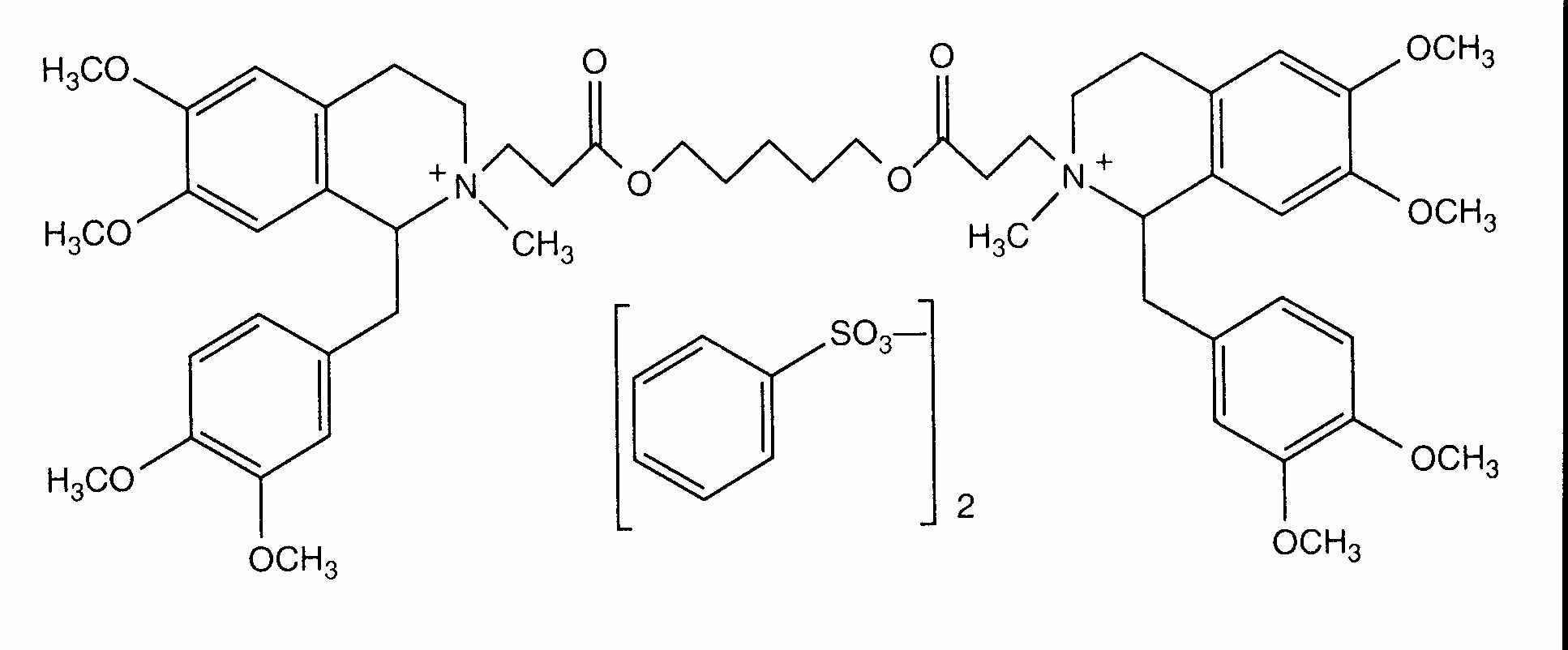
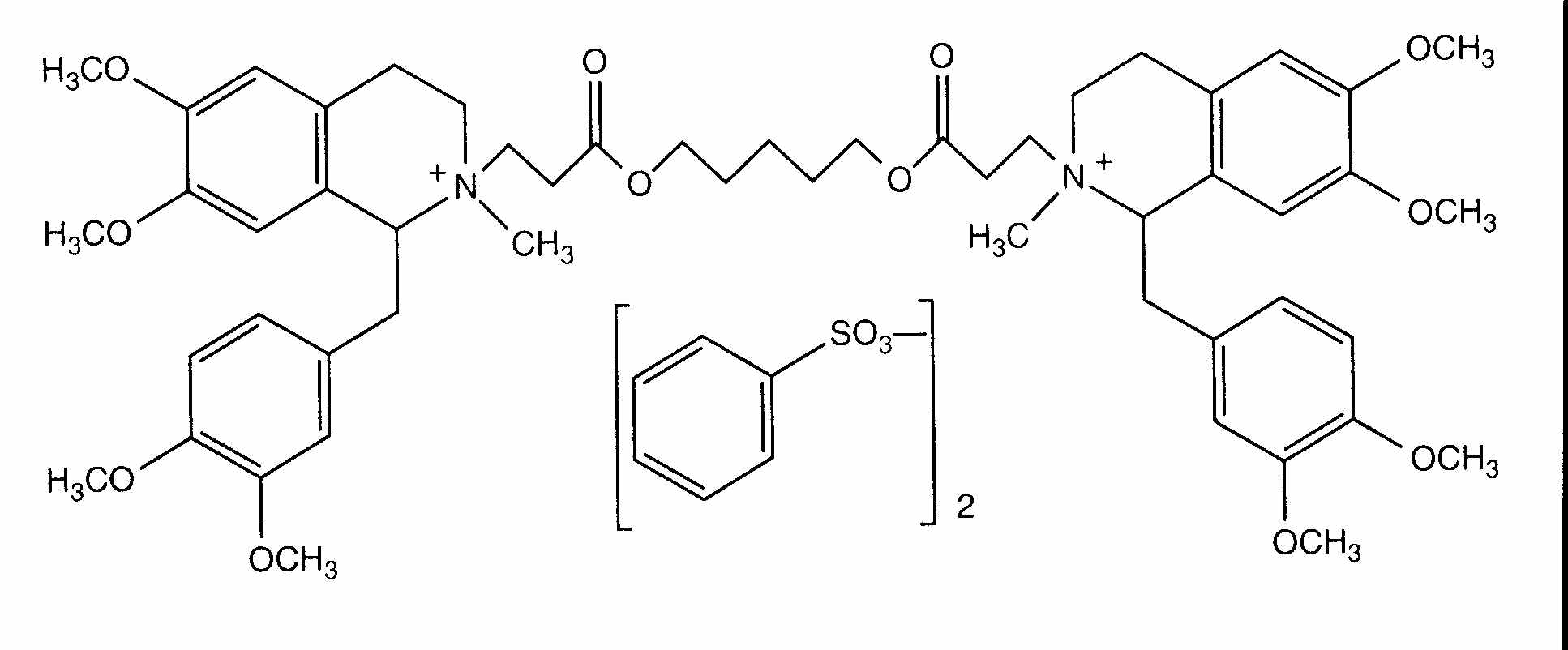
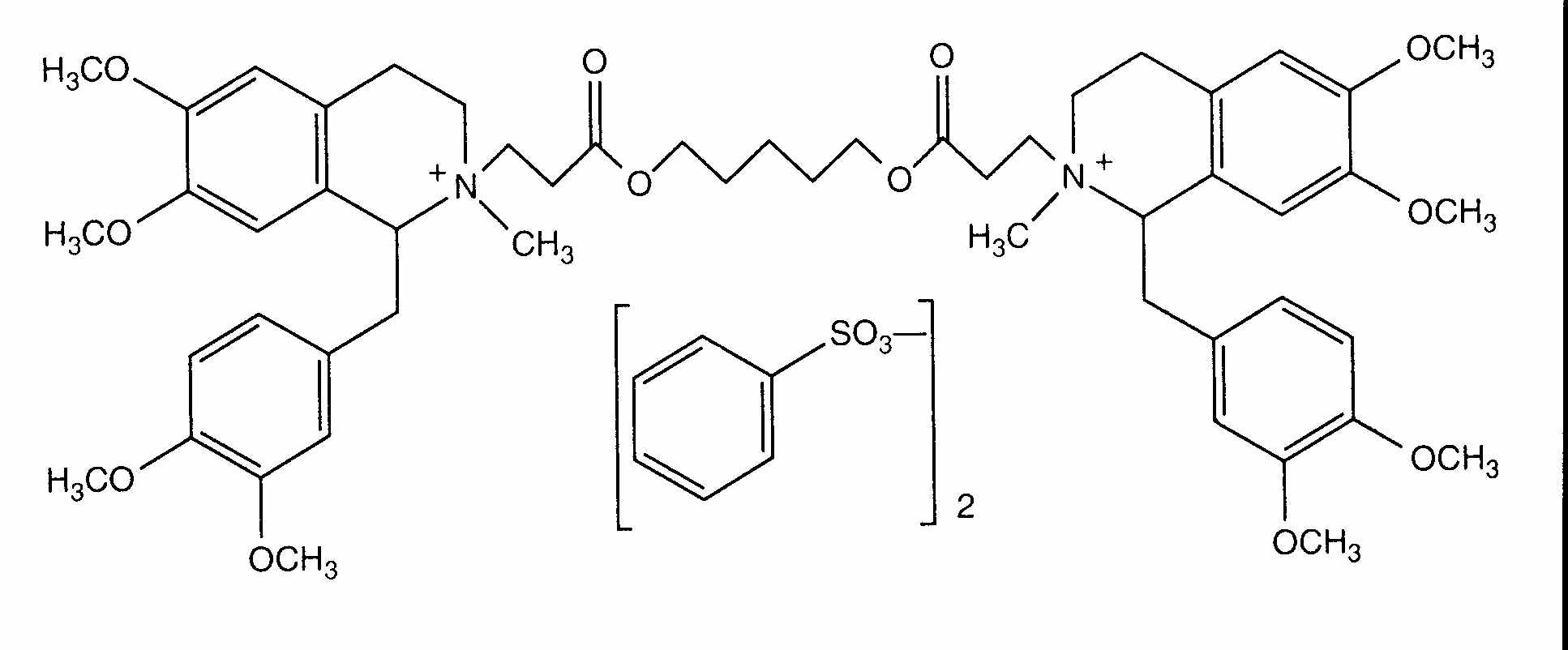
   estrutura química  

Nomes comerciais nos diversos países   Nomes comerciais nos diversos países     

OS NOMES COMERCIAIS SÃO INDICATIVOS E OS EXCIPIENTES DA FORMULAÇÃO PODEM SER DIFERENTES CONFORME O PAÍS E FABRICANTE.

Abbocurium Polonia
Acurmil Itália
Ancour Irã
Anecur Irã
Atacur Arábia Saudita
Atrabesylate Egipto
Atracurio Argentina, Brasil, Espanha
Atracurio besilato Chilli, Itália, Peru, Venezuela
Atracurium Alemanha, Arábia Saudita, Argentina, Austria, Egipto, Emirados Árabes Unidos, Gran-bretanha, Irã, Itália, Malásia, Suècia
Atracurium besilat Austria
Atracurium besilate Arábia Saudita, Australia, Canadá, Egipto, Emirados Árabes Unidos, Estados Unidos de América, Irã, nova Zelândia
Atralex Malásia
Atrasyl Turquia
Besilato Atracurio Chilli, Espanha, Portugal
Faulcurium Egipto, Portugal
Gelolagar Argentina
Laurak Espanha
Neucurium Turquia
Notrixum Turquia
Relactrac Colômbia
Relatrac México
Tracrium Alemanha, Arábia Saudita, Austria, Bélgica, Chilli, Colômbia, Egipto, Emirados Árabes Unidos, Equator, Eslovenia, Espanha, Estados Unidos de América, França, Gran-bretanha, Grècia, Hungria, Irã, Irlanda, Itália, Luxemburgo, Malásia, Marrocos, México, nova Zelândia, Países Baixos, Polonia, Portugal, Romènia, Suicia, Turquia
Tracumek Peru
Tracurix Argentina
Tracuron Argentina
Compatibilidade   injetável   Compatibilidade : Atracurium besylate              
Este ecrã indica as compatibilidades ou incompatibilidades com, neste caso, o tipo de incompatibilidade (precipitação, mudança de cor, modificação de uma emulsão, etc.). As compatibilidades mostradas aqui são principalmente físicas, com a estabilidade química de cada molécula raramente sendo avaliada. A avaliação dessas misturas foi estudada para considerar a possibilidade de administração do local Y ao paciente. Estes dados não podem ser usados para fazer misturas antecipadamente em sacos ou seringas. Este tipo de informação está disponível na tela “Estabilidade na mistura».
molécula Solvente Bibliografia
Incompatibilidade não especificada Incompatível
injetável Atracurium besylate
injetável Amobarbital sodium
3676
Incompatível
injetável Atracurium besylate 0.5 mg/ml
Ringer lactato 1093
Compatível
injetável Atracurium besylate 0.5 mg/ml
injetável Aminophylline 1 mg/ml
Glucose 5% 402
Compatível
injetável Atracurium besylate 5 mg/ml
injetável Amiodarone hydrochloride 6 mg/ml
Glucose 5% 1611
Compatível
injetável Atracurium besylate 0.5 mg/ml
injetável Cefazolin sodium 10 mg/ml
Glucose 5% 402
Compatível
injetável Atracurium besylate
Glucose 5% 3629
Compatível
injetável Atracurium besylate 0.5 mg/ml
injetável Cefuroxime sodium 7.5 mg/ml
Glucose 5% 402
Compatível
injetável Atracurium besylate 0.5 mg/ml
injetável Co-trimoxazole 3.2/0.64 mg/ml
Glucose 5% 402
Precipitação imediata Incompatível
injetável Atracurium besylate 0.5 mg/ml
injetável Diazepam 5 mg/ml
Glucose 5% 402
Precipitação imediata Incompatível
injetável Atracurium besylate
injetável Diclofenac
1647
Compatível
injetável Atracurium besylate 0.5 mg/ml
injetável Dopamine hydrochloride 1.6 mg/ml
Glucose 5% 402
Incompatibilidade não especificada Incompatível
injetável Atracurium besylate
NaHCO3 3676
Compatível
injetável Atracurium besylate 0.5 mg/ml
injetável Cimetidine hydrochloride 6 mg/ml
Glucose 5% 402
Compatível
injetável Atracurium besylate
injetável Dexmedetomidine
5042
Compatível
injetável Atracurium besylate 0.5 mg/ml
injetável Dobutamine hydrochloride 1 mg/ml
Glucose 5% 402
Incompatibilidade não especificada Incompatível
injetável Atracurium besylate
NaHCO3 3629
Compatível
injetável Atracurium besylate 2 mg/ml
injetável Ciprofloxacin lactate 2 mg/ml
Glucose 5% 285
Compatível
injetável Atracurium besylate 0.5 mg/ml
injetável Epinephrine hydrochloride 4 µg/ml
Glucose 5% 402
Compatível
injetável Atracurium besylate 0.5 mg/ml
injetável Esmolol hydrochloride 10 mg/ml
Glucose 5% 402
Compatível
injetável Atracurium besylate 10 mg/ml
Nutrição parenterica (mistura binária) 939
Compatível
injetável Atracurium besylate 10 mg/ml
injetável Etomidate 2 mg/ml
nenhum 319
Compatível
injetável Atracurium besylate 0.5 mg/ml
injetável Fenoldopam mesylate 80 µg/ml
cloreto de sódio 0,9% 1803
Compatível
injetável Atracurium besylate 0.5 mg/ml
injetável Fentanyl citrate 10 µg/ml
Glucose 5% 402
Compatível
injetável Atracurium besylate 0.5 mg/ml
injetável Gentamicin sulfate 2 mg/ml
Glucose 5% 402
Compatível
injetável Atracurium besylate 0.5 mg/ml
injetável Heparin sodium 40 UI/ml
Glucose 5% 402
Compatível
injetável Atracurium besylate 0.5 mg/ml
injetável Hetastarch 60 mg/ml
solvente específico 1721
Compatível
injetável Atracurium besylate 0.5 mg/ml
injetável Hydrocortisone sodium succinate 1 mg/ml
Glucose 5% 402
Compatível
injetável Atracurium besylate 0.5 mg/ml
injetável Isoprenaline hydrochloride 0.004 mg/ml
Glucose 5% 402
Compatível
injetável Atracurium besylate 0.5 mg/ml
injetável Lorazepam 0.5 mg/ml
Glucose 5% 402
Incompatibilidade não especificada Incompatível
injetável Atracurium besylate
injetável Methohexital sodium
3676
Compatível
injetável Atracurium besylate 1 & 5 mg/ml
injetável Midazolam hydrochloride 0.1 & 0.5 mg/ml
Glucose 5% 865
Compatível
injetável Atracurium besylate 0.5 mg/ml
injetável Midazolam hydrochloride 0.05 mg/ml
Glucose 5% 402
Compatível
injetável Atracurium besylate 2 mg/ml
injetável Milrinone lactate 0.8 mg/ml
Glucose 5% 813
Compatível
injetável Atracurium besylate 0.5 mg/ml
injetável Morphine sulfate 1 mg/ml
Glucose 5% 402
Compatível
injetável Atracurium besylate 0.5 mg/ml
injetável Nitroglycerin 0.4 mg/ml
Glucose 5% 402
Compatível
injetável Atracurium besylate 0.5 mg/ml
injetável Nitroprusside sodium 0.2 mg/ml
Glucose 5% 402
Incompatibilidade não especificada Incompatível
injetável Atracurium besylate
injetável Pentobarbital sodium
3676
Incompatibilidade não especificada Incompatível
injetável Atracurium besylate
injetável Phenobarbital sodium
3676
Instabilidade imediata da emulsão Incompatível
injetável Atracurium besylate 10 mg/ml
injetável Propofol 10 mg/ml
nenhum 300
Instabilidade da emulsão após 1 hora Incompatível
injetável Atracurium besylate 10 mg/ml
injetável Propofol
660
Incompatibilidade não especificada Incompatível
injetável Atracurium besylate
injetável Propofol
3659
Compatível
injetável Atracurium besylate 10 mg/ml
injetável Propofol 2 mg/ml
nenhum 319
Incompatibilidade não especificada Incompatível
injetável Atracurium besylate
injetável Propofol
3502
Compatível
injetável Atracurium besylate 0.5 mg/ml
injetável Ranitidine hydrochloride 0.5 mg/ml
Glucose 5% 402
Incompatibilidade não especificada Incompatível
injetável Atracurium besylate
injetável Sodium bicarbonate
3629
Incompatibilidade não especificada Incompatível
injetável Atracurium besylate
injetável Sodium bicarbonate
3676
Precipitação imediata Incompatível
injetável Atracurium besylate
injetável Thiopental sodium
3373
Incompatibilidade não especificada Incompatível
injetável Atracurium besylate
injetável Thiopental sodium
3629
Incompatibilidade não especificada Incompatível
injetável Atracurium besylate
injetável Thiopental sodium
3676
Compatível
injetável Atracurium besylate 0.2 mg/ml
injetável Valproic acid 2 & 20 mg/ml
cloreto de sódio 0,9% 4428
Compatível
injetável Atracurium besylate
cloreto de sódio 0,9% 3629
Turvação imediata Incompatível
injetável Atracurium besylate 10 mg/ml
injetável Thiopental sodium 25 mg/ml
Agua para injectaveis 319
Compatível
injetável Atracurium besylate 0.2 mg/ml
injetável Valproic acid 2 & 20 mg/ml
Glucose 5% 4428
Compatível
injetável Atracurium besylate 0.5 mg/ml
injetável Vancomycin hydrochloride 5 mg/ml
Glucose 5% 402

  Mentions Légales