Cập nhật lần cuối :
18/03/2026
Thuốc khử cực giống cura   Atracurium besylate  
Dạng tiêm
Tính ổn định của các dung dịch Độ ổn định khi trộn lẫn Những yếu tố ảnh hưởng đến độ ổn định Khả năng tương thích Đường dùng Tài liệu tham khảo Pdf
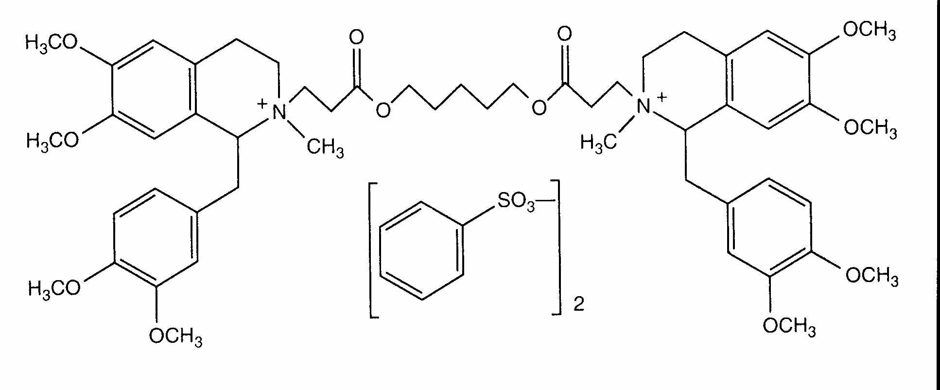
   Cấu trúc hóa học  

Tên thương mại   Tên thương mại     

Các tên thương mại được cung cấp và thành phần tá dược có thể khác nhau giữa các quốc gia và các hãng dược

Abbocurium Ba Lan
Acurmil Ý
Ancour Iran
Anecur Iran
Atacur Ả Rập Saudi
Atrabesylate Ả Rập
Atracurio Argentina, Brazil, Tây Ban Nha
Atracurio besilato Chile, Peru, Venezuela, Ý
Atracurium Ả Rập, Ả Rập Saudi, Anh, Áo, Argentina, Iran, Malaysia, Thụy Điển, United Arab Emirates, Ý, Đức
Atracurium besilat Áo
Atracurium besilate Ả Rập, Ả Rập Saudi, Canada, Hoa Kỳ, Iran, new zealand, Úc, United Arab Emirates
Atralex Malaysia
Atrasyl Thổ Nhĩ Kỳ
Besilato Atracurio Bồ Đào Nha, Chile, Tây Ban Nha
Faulcurium Ả Rập, Bồ Đào Nha
Gelolagar Argentina
Laurak Tây Ban Nha
Neucurium Thổ Nhĩ Kỳ
Notrixum Thổ Nhĩ Kỳ
Relactrac Colombia
Relatrac Mexico
Tracrium Ả Rập, Ả Rập Saudi, Anh, Áo, Ba Lan, Bỉ, Bồ Đào Nha, Chile, Colombia, Ecuador, Hà Lan, Hoa Kỳ, Hungary, Hy Lạp, Iran, Ireland, Luxembourg, Malaysia, Mexico, Morocco, new zealand, Pháp, Romania, Slovenia, Tây Ban Nha, Thổ Nhĩ Kỳ, Thụy Sỹ, United Arab Emirates, Ý, Đức
Tracumek Peru
Tracurix Argentina
Tracuron Argentina
Khả năng tương thích   Dạng tiêm   Khả năng tương thích : Atracurium besylate              
Màn hình này cho biết khả năng tương thích hoặc không tương thích, trong trường hợp này là loại không tương thích (kết tủa, thay đổi màu sắc, sửa đổi nhũ tương, v.v.). Sự tương hợp được chỉ ra ở đây chủ yếu chỉ là vật lý, với độ ổn định hóa học của mỗi phân tử hiếm khi được đánh giá. Việc đánh giá các hỗn hợp này được nghiên cứu để xem xét khả năng sử dụng vị trí Y cho bệnh nhân. Những dữ liệu này không thể được sử dụng để tạo hỗn hợp trước trong túi hoặc ống tiêm. Loại thông tin này có sẵn trong màn hình "Độ ổn định trong hỗn hợp».
Phân tử Dung môi Mục lục
Không tương thích không xác định Không tương thích
Dạng tiêm Atracurium besylate
Dạng tiêm Amobarbital sodium
3676
Không tương thích
Dạng tiêm Atracurium besylate 0.5 mg/ml
Dung dịch Ringer’s lactate 1093
Tương thích
Dạng tiêm Atracurium besylate 0.5 mg/ml
Dạng tiêm Aminophylline 1 mg/ml
Glucose 5% 402
Tương thích
Dạng tiêm Atracurium besylate 5 mg/ml
Dạng tiêm Amiodarone hydrochloride 6 mg/ml
Glucose 5% 1611
Tương thích
Dạng tiêm Atracurium besylate 0.5 mg/ml
Dạng tiêm Cefazolin sodium 10 mg/ml
Glucose 5% 402
Tương thích
Dạng tiêm Atracurium besylate
Glucose 5% 3629
Tương thích
Dạng tiêm Atracurium besylate 0.5 mg/ml
Dạng tiêm Cefuroxime sodium 7.5 mg/ml
Glucose 5% 402
Tương thích
Dạng tiêm Atracurium besylate 0.5 mg/ml
Dạng tiêm Co-trimoxazole 3.2/0.64 mg/ml
Glucose 5% 402
Lượng mưa ngay lập tức Không tương thích
Dạng tiêm Atracurium besylate 0.5 mg/ml
Dạng tiêm Diazepam 5 mg/ml
Glucose 5% 402
Lượng mưa ngay lập tức Không tương thích
Dạng tiêm Atracurium besylate
Dạng tiêm Diclofenac
1647
Tương thích
Dạng tiêm Atracurium besylate 0.5 mg/ml
Dạng tiêm Dopamine hydrochloride 1.6 mg/ml
Glucose 5% 402
Không tương thích không xác định Không tương thích
Dạng tiêm Atracurium besylate
NaHCO3 3676
Tương thích
Dạng tiêm Atracurium besylate 0.5 mg/ml
Dạng tiêm Cimetidine hydrochloride 6 mg/ml
Glucose 5% 402
Tương thích
Dạng tiêm Atracurium besylate
Dạng tiêm Dexmedetomidine
5042
Tương thích
Dạng tiêm Atracurium besylate 0.5 mg/ml
Dạng tiêm Dobutamine hydrochloride 1 mg/ml
Glucose 5% 402
Không tương thích không xác định Không tương thích
Dạng tiêm Atracurium besylate
NaHCO3 3629
Tương thích
Dạng tiêm Atracurium besylate 2 mg/ml
Dạng tiêm Ciprofloxacin lactate 2 mg/ml
Glucose 5% 285
Tương thích
Dạng tiêm Atracurium besylate 0.5 mg/ml
Dạng tiêm Epinephrine hydrochloride 4 µg/ml
Glucose 5% 402
Tương thích
Dạng tiêm Atracurium besylate 0.5 mg/ml
Dạng tiêm Esmolol hydrochloride 10 mg/ml
Glucose 5% 402
Tương thích
Dạng tiêm Atracurium besylate 10 mg/ml
Dinh dưỡng đường tĩnh mạch (hỗn hợp 2 thành phần) 939
Tương thích
Dạng tiêm Atracurium besylate 10 mg/ml
Dạng tiêm Etomidate 2 mg/ml
Không 319
Tương thích
Dạng tiêm Atracurium besylate 0.5 mg/ml
Dạng tiêm Fenoldopam mesylate 80 µg/ml
NaCl 0,9% 1803
Tương thích
Dạng tiêm Atracurium besylate 0.5 mg/ml
Dạng tiêm Fentanyl citrate 10 µg/ml
Glucose 5% 402
Tương thích
Dạng tiêm Atracurium besylate 0.5 mg/ml
Dạng tiêm Gentamicin sulfate 2 mg/ml
Glucose 5% 402
Tương thích
Dạng tiêm Atracurium besylate 0.5 mg/ml
Dạng tiêm Heparin sodium 40 UI/ml
Glucose 5% 402
Tương thích
Dạng tiêm Atracurium besylate 0.5 mg/ml
Dạng tiêm Hetastarch 60 mg/ml
dung môi cụ thể 1721
Tương thích
Dạng tiêm Atracurium besylate 0.5 mg/ml
Dạng tiêm Hydrocortisone sodium succinate 1 mg/ml
Glucose 5% 402
Tương thích
Dạng tiêm Atracurium besylate 0.5 mg/ml
Dạng tiêm Isoprenaline hydrochloride 0.004 mg/ml
Glucose 5% 402
Tương thích
Dạng tiêm Atracurium besylate 0.5 mg/ml
Dạng tiêm Lorazepam 0.5 mg/ml
Glucose 5% 402
Không tương thích không xác định Không tương thích
Dạng tiêm Atracurium besylate
Dạng tiêm Methohexital sodium
3676
Tương thích
Dạng tiêm Atracurium besylate 1 & 5 mg/ml
Dạng tiêm Midazolam hydrochloride 0.1 & 0.5 mg/ml
Glucose 5% 865
Tương thích
Dạng tiêm Atracurium besylate 0.5 mg/ml
Dạng tiêm Midazolam hydrochloride 0.05 mg/ml
Glucose 5% 402
Tương thích
Dạng tiêm Atracurium besylate 2 mg/ml
Dạng tiêm Milrinone lactate 0.8 mg/ml
Glucose 5% 813
Tương thích
Dạng tiêm Atracurium besylate 0.5 mg/ml
Dạng tiêm Morphine sulfate 1 mg/ml
Glucose 5% 402
Tương thích
Dạng tiêm Atracurium besylate 0.5 mg/ml
Dạng tiêm Nitroglycerin 0.4 mg/ml
Glucose 5% 402
Tương thích
Dạng tiêm Atracurium besylate 0.5 mg/ml
Dạng tiêm Nitroprusside sodium 0.2 mg/ml
Glucose 5% 402
Không tương thích không xác định Không tương thích
Dạng tiêm Atracurium besylate
Dạng tiêm Pentobarbital sodium
3676
Không tương thích không xác định Không tương thích
Dạng tiêm Atracurium besylate
Dạng tiêm Phenobarbital sodium
3676
Sự mất ổn định tức thì của nhũ tương Không tương thích
Dạng tiêm Atracurium besylate 10 mg/ml
Dạng tiêm Propofol 10 mg/ml
Không 300
Tính không ổn định của nhũ tương sau 1 giờ Không tương thích
Dạng tiêm Atracurium besylate 10 mg/ml
Dạng tiêm Propofol
660
Không tương thích không xác định Không tương thích
Dạng tiêm Atracurium besylate
Dạng tiêm Propofol
3659
Tương thích
Dạng tiêm Atracurium besylate 10 mg/ml
Dạng tiêm Propofol 2 mg/ml
Không 319
Không tương thích không xác định Không tương thích
Dạng tiêm Atracurium besylate
Dạng tiêm Propofol
3502
Tương thích
Dạng tiêm Atracurium besylate 0.5 mg/ml
Dạng tiêm Ranitidine hydrochloride 0.5 mg/ml
Glucose 5% 402
Không tương thích không xác định Không tương thích
Dạng tiêm Atracurium besylate
Dạng tiêm Sodium bicarbonate
3629
Không tương thích không xác định Không tương thích
Dạng tiêm Atracurium besylate
Dạng tiêm Sodium bicarbonate
3676
Lượng mưa ngay lập tức Không tương thích
Dạng tiêm Atracurium besylate
Dạng tiêm Thiopental sodium
3373
Không tương thích không xác định Không tương thích
Dạng tiêm Atracurium besylate
Dạng tiêm Thiopental sodium
3629
Không tương thích không xác định Không tương thích
Dạng tiêm Atracurium besylate
Dạng tiêm Thiopental sodium
3676
Tương thích
Dạng tiêm Atracurium besylate 0.2 mg/ml
Dạng tiêm Valproic acid 2 & 20 mg/ml
NaCl 0,9% 4428
Tương thích
Dạng tiêm Atracurium besylate
NaCl 0,9% 3629
Độ đục ngay lập tức Không tương thích
Dạng tiêm Atracurium besylate 10 mg/ml
Dạng tiêm Thiopental sodium 25 mg/ml
Nước cất pha tiêm 319
Tương thích
Dạng tiêm Atracurium besylate 0.2 mg/ml
Dạng tiêm Valproic acid 2 & 20 mg/ml
Glucose 5% 4428
Tương thích
Dạng tiêm Atracurium besylate 0.5 mg/ml
Dạng tiêm Vancomycin hydrochloride 5 mg/ml
Glucose 5% 402

  Mentions Légales