最新更新 :
18/03/2026
クラーレ様薬   Atracurium besylate  
注射薬
溶媒内の安定性 混合時の安定性 安定性に影響する因子 互換性 投与経路 引用文献 PDF
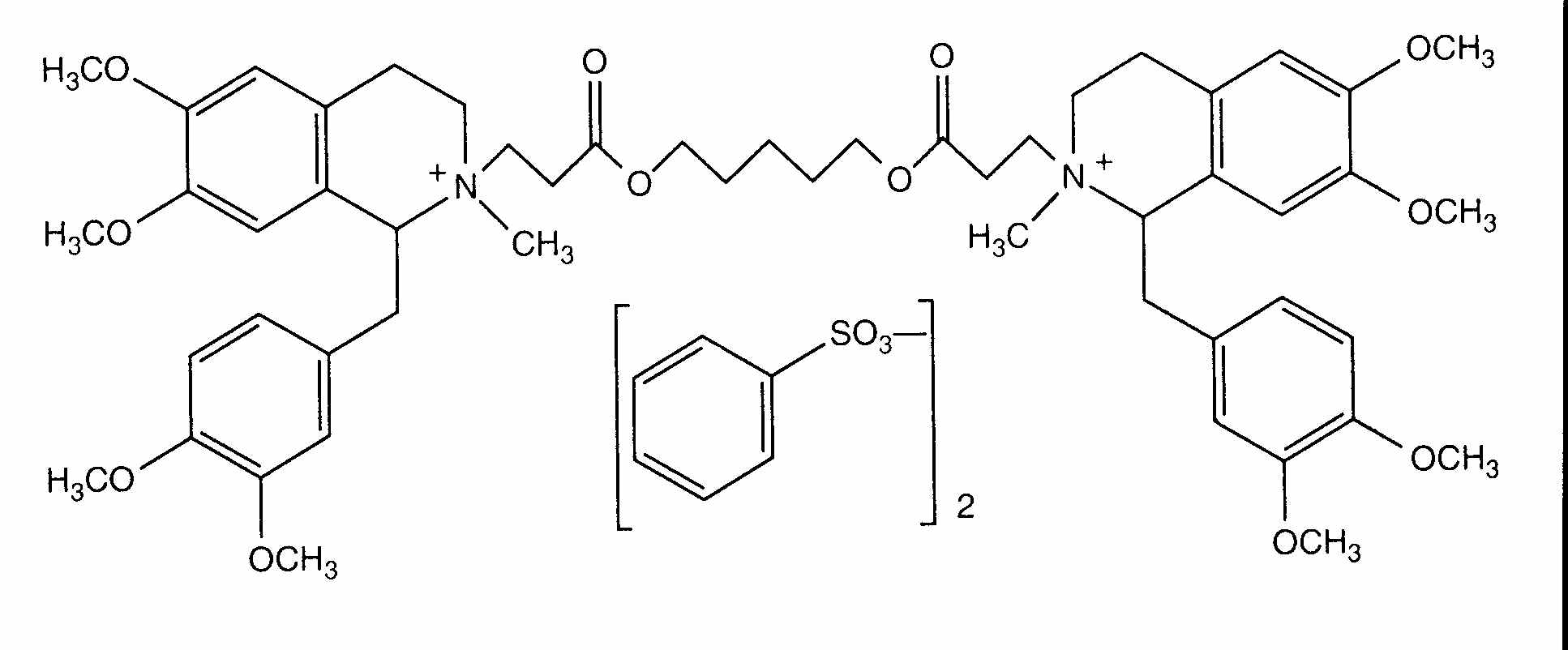
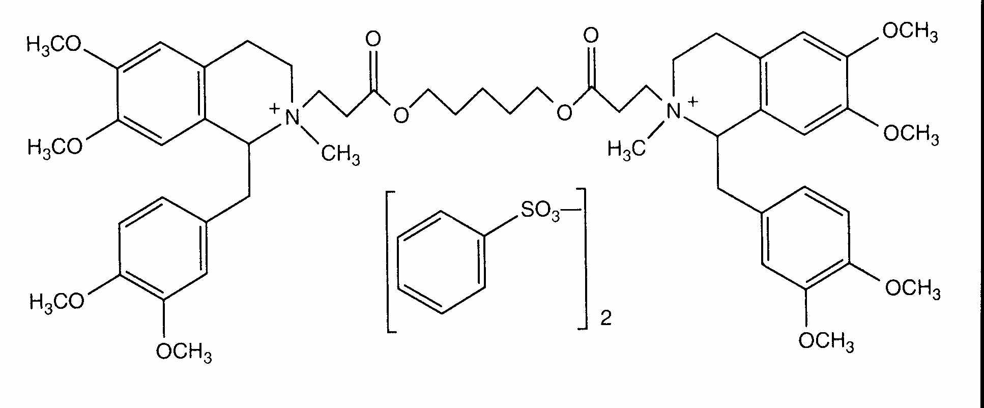
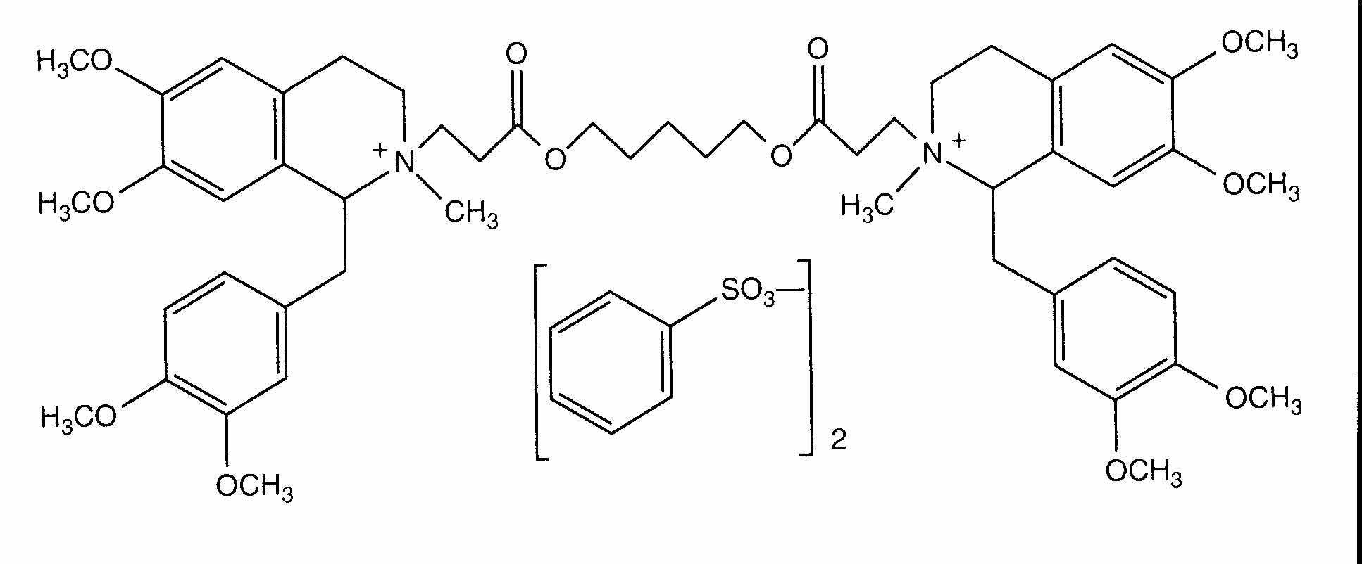
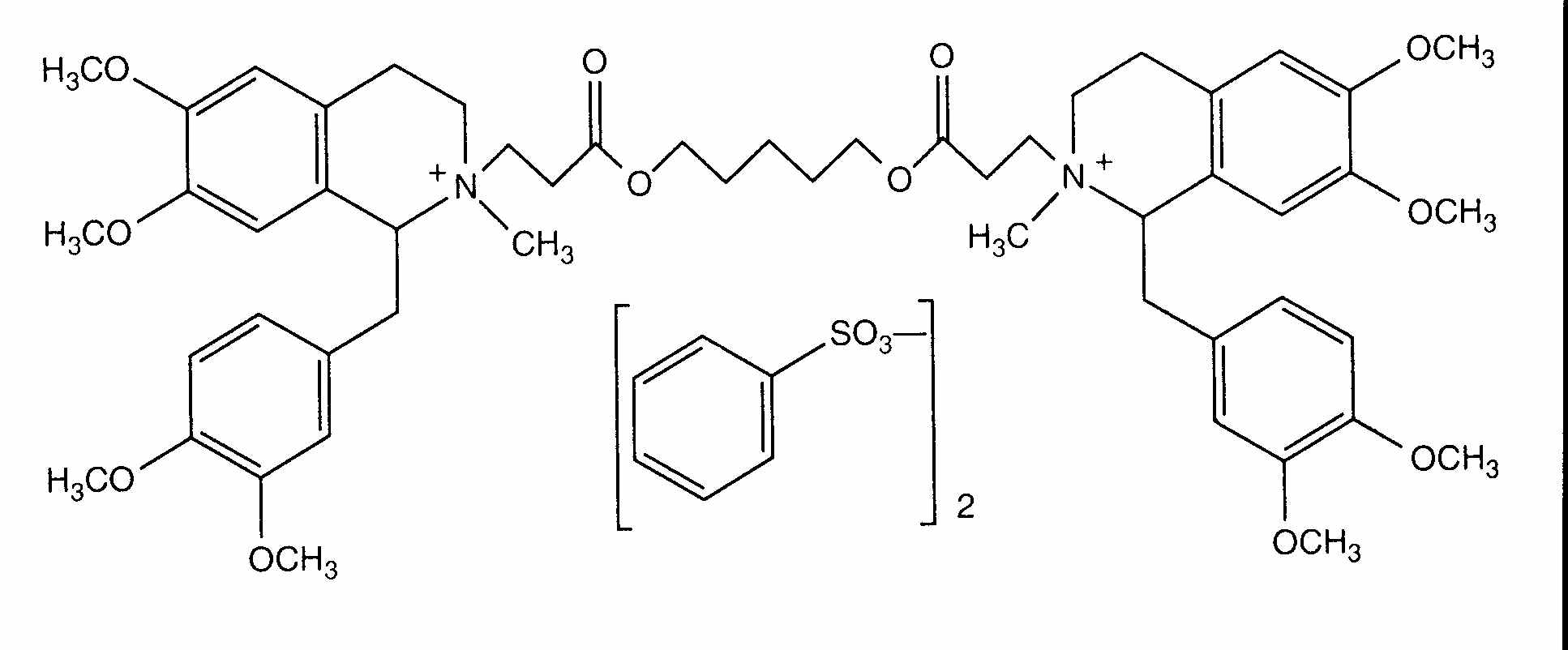
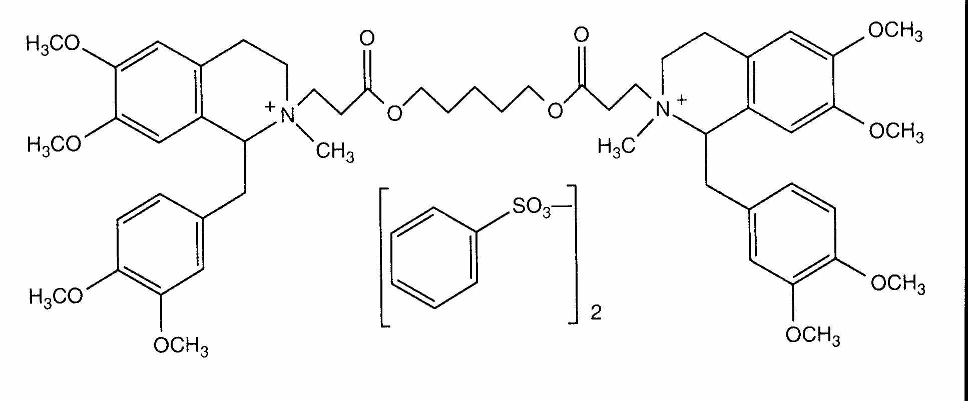
   化学構造  

商品名   商品名     

商品名、賦形剤は国、製薬会社ごとに異なることがあります

Abbocurium ポーランド
Acurmil イタリア
Ancour イラン
Anecur イラン
Atacur サウジアラビア
Atrabesylate エジプト
Atracurio アルゼンチン, スペイン, ブラジル
Atracurio besilato イタリア, チリ, ベネズエラ, ペルー
Atracurium アラブ首長国連邦, アルゼンチン, イギリス, イタリア, イラン, エジプト, オーストリア, サウジアラビア, スウェーデン, ドイツ, マレーシア
Atracurium besilat オーストリア
Atracurium besilate アメリカ, アラブ首長国連邦, アーストラリア, イラン, エジプト, カナダ, サウジアラビア, ニュージーランド
Atralex マレーシア
Atrasyl トルコ
Besilato Atracurio スペイン, チリ, ポルトガル
Faulcurium エジプト, ポルトガル
Gelolagar アルゼンチン
Laurak スペイン
Neucurium トルコ
Notrixum トルコ
Relactrac コロンビア
Relatrac メキシコ
Tracrium アイルランド, アメリカ, アラブ首長国連邦, イギリス, イタリア, イラン, エクアドル, エジプト, オランダ, オーストリア, ギリシア, コロンビア, サウジアラビア, スイス, スペイン, スロベニア, チリ, トルコ, ドイツ, ニュージーランド, ハンガリー, フランス, ベルギー, ポルトガル, ポーランド, マレーシア, メキシコ, モロッコ, ルクセンブルグ, ルーマニア
Tracumek ペルー
Tracurix アルゼンチン
Tracuron アルゼンチン
互換性   注射薬   互換性 : Atracurium besylate              
This screen indicates the compatibilities or incompatibilities with, in this case, the type of incompatibility (precipitation, color change, modification of an emulsion, etc.). The compatibilities shown here are mostly physical only, with the chemical stability of each molecule rarely being assessed. The evaluation of these mixtures was studied to consider the possibility of Y-site administration to the patient. These data cannot be used for making mixtures in advance in bags or syringes. This type of information is available in the screen "Stability in mixture ».
化合物 溶媒 引用文献
不特定の非互換性 非互換
注射薬 Atracurium besylate
注射薬 Amobarbital sodium
3676
非互換
注射薬 Atracurium besylate 0.5 mg/ml
乳酸リンゲル 1093
対応
注射薬 Atracurium besylate 0.5 mg/ml
注射薬 Aminophylline 1 mg/ml
グルコース5% 402
対応
注射薬 Atracurium besylate 5 mg/ml
注射薬 Amiodarone hydrochloride 6 mg/ml
グルコース5% 1611
対応
注射薬 Atracurium besylate 0.5 mg/ml
注射薬 Cefazolin sodium 10 mg/ml
グルコース5% 402
対応
注射薬 Atracurium besylate
グルコース5% 3629
対応
注射薬 Atracurium besylate 0.5 mg/ml
注射薬 Cefuroxime sodium 7.5 mg/ml
グルコース5% 402
対応
注射薬 Atracurium besylate 0.5 mg/ml
注射薬 Co-trimoxazole 3.2/0.64 mg/ml
グルコース5% 402
即時降水 非互換
注射薬 Atracurium besylate 0.5 mg/ml
注射薬 Diazepam 5 mg/ml
グルコース5% 402
即時降水 非互換
注射薬 Atracurium besylate
注射薬 Diclofenac
1647
対応
注射薬 Atracurium besylate 0.5 mg/ml
注射薬 Dopamine hydrochloride 1.6 mg/ml
グルコース5% 402
不特定の非互換性 非互換
注射薬 Atracurium besylate
NaHCO3 3676
対応
注射薬 Atracurium besylate 0.5 mg/ml
注射薬 Cimetidine hydrochloride 6 mg/ml
グルコース5% 402
対応
注射薬 Atracurium besylate
注射薬 Dexmedetomidine
5042
対応
注射薬 Atracurium besylate 0.5 mg/ml
注射薬 Dobutamine hydrochloride 1 mg/ml
グルコース5% 402
不特定の非互換性 非互換
注射薬 Atracurium besylate
NaHCO3 3629
対応
注射薬 Atracurium besylate 2 mg/ml
注射薬 Ciprofloxacin lactate 2 mg/ml
グルコース5% 285
対応
注射薬 Atracurium besylate 0.5 mg/ml
注射薬 Epinephrine hydrochloride 4 µg/ml
グルコース5% 402
対応
注射薬 Atracurium besylate 0.5 mg/ml
注射薬 Esmolol hydrochloride 10 mg/ml
グルコース5% 402
対応
注射薬 Atracurium besylate 10 mg/ml
非経口的栄養(二元混合物) 939
対応
注射薬 Atracurium besylate 10 mg/ml
注射薬 Etomidate 2 mg/ml
なし 319
対応
注射薬 Atracurium besylate 0.5 mg/ml
注射薬 Fenoldopam mesylate 80 µg/ml
NaCl 0,9% 1803
対応
注射薬 Atracurium besylate 0.5 mg/ml
注射薬 Fentanyl citrate 10 µg/ml
グルコース5% 402
対応
注射薬 Atracurium besylate 0.5 mg/ml
注射薬 Gentamicin sulfate 2 mg/ml
グルコース5% 402
対応
注射薬 Atracurium besylate 0.5 mg/ml
注射薬 Heparin sodium 40 UI/ml
グルコース5% 402
対応
注射薬 Atracurium besylate 0.5 mg/ml
注射薬 Hetastarch 60 mg/ml
特定の溶媒 1721
対応
注射薬 Atracurium besylate 0.5 mg/ml
注射薬 Hydrocortisone sodium succinate 1 mg/ml
グルコース5% 402
対応
注射薬 Atracurium besylate 0.5 mg/ml
注射薬 Isoprenaline hydrochloride 0.004 mg/ml
グルコース5% 402
対応
注射薬 Atracurium besylate 0.5 mg/ml
注射薬 Lorazepam 0.5 mg/ml
グルコース5% 402
不特定の非互換性 非互換
注射薬 Atracurium besylate
注射薬 Methohexital sodium
3676
対応
注射薬 Atracurium besylate 1 & 5 mg/ml
注射薬 Midazolam hydrochloride 0.1 & 0.5 mg/ml
グルコース5% 865
対応
注射薬 Atracurium besylate 0.5 mg/ml
注射薬 Midazolam hydrochloride 0.05 mg/ml
グルコース5% 402
対応
注射薬 Atracurium besylate 2 mg/ml
注射薬 Milrinone lactate 0.8 mg/ml
グルコース5% 813
対応
注射薬 Atracurium besylate 0.5 mg/ml
注射薬 Morphine sulfate 1 mg/ml
グルコース5% 402
対応
注射薬 Atracurium besylate 0.5 mg/ml
注射薬 Nitroglycerin 0.4 mg/ml
グルコース5% 402
対応
注射薬 Atracurium besylate 0.5 mg/ml
注射薬 Nitroprusside sodium 0.2 mg/ml
グルコース5% 402
不特定の非互換性 非互換
注射薬 Atracurium besylate
注射薬 Pentobarbital sodium
3676
不特定の非互換性 非互換
注射薬 Atracurium besylate
注射薬 Phenobarbital sodium
3676
エマルジョンの即時の不安定性 非互換
注射薬 Atracurium besylate 10 mg/ml
注射薬 Propofol 10 mg/ml
なし 300
1時間後のエマルジョンの不安定性 非互換
注射薬 Atracurium besylate 10 mg/ml
注射薬 Propofol
660
不特定の非互換性 非互換
注射薬 Atracurium besylate
注射薬 Propofol
3659
対応
注射薬 Atracurium besylate 10 mg/ml
注射薬 Propofol 2 mg/ml
なし 319
不特定の非互換性 非互換
注射薬 Atracurium besylate
注射薬 Propofol
3502
対応
注射薬 Atracurium besylate 0.5 mg/ml
注射薬 Ranitidine hydrochloride 0.5 mg/ml
グルコース5% 402
不特定の非互換性 非互換
注射薬 Atracurium besylate
注射薬 Sodium bicarbonate
3629
不特定の非互換性 非互換
注射薬 Atracurium besylate
注射薬 Sodium bicarbonate
3676
即時降水 非互換
注射薬 Atracurium besylate
注射薬 Thiopental sodium
3373
不特定の非互換性 非互換
注射薬 Atracurium besylate
注射薬 Thiopental sodium
3629
不特定の非互換性 非互換
注射薬 Atracurium besylate
注射薬 Thiopental sodium
3676
対応
注射薬 Atracurium besylate 0.2 mg/ml
注射薬 Valproic acid 2 & 20 mg/ml
NaCl 0,9% 4428
対応
注射薬 Atracurium besylate
NaCl 0,9% 3629
すぐに濁り 非互換
注射薬 Atracurium besylate 10 mg/ml
注射薬 Thiopental sodium 25 mg/ml
注射用水 319
対応
注射薬 Atracurium besylate 0.2 mg/ml
注射薬 Valproic acid 2 & 20 mg/ml
グルコース5% 4428
対応
注射薬 Atracurium besylate 0.5 mg/ml
注射薬 Vancomycin hydrochloride 5 mg/ml
グルコース5% 402

  Mentions Légales