Ultimo aggiornamento :
18/03/2026
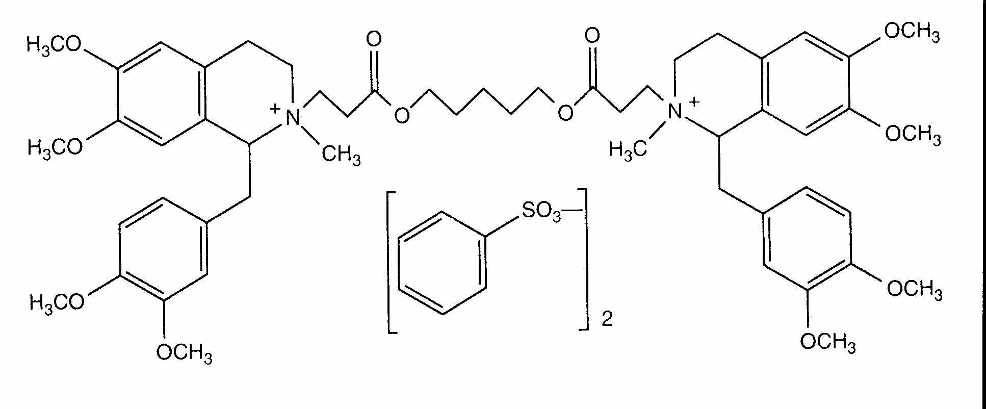
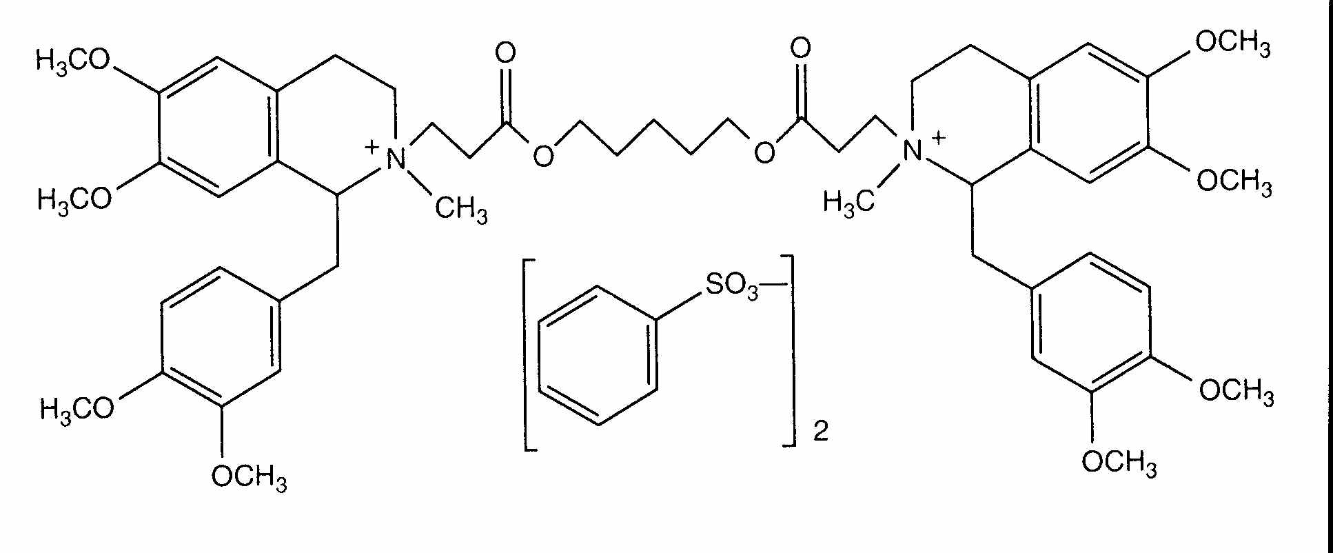
Curarizzante   Atracurium besylate  
Iniezione
Stabilità in soluzione Stabilità in miscela Fattori che influenzano la stabilità Compatibilità metodo di iniezione Bibliografia pdf
   Struttura chimica  

Nome commerciale   Nome commerciale     

Trade names are indicative and excipients composition can be different depending on the country and manufacturers

Abbocurium Polonia
Acurmil Italia
Ancour Iran
Anecur Iran
Atacur Arabia Saudita
Atrabesylate Egitto
Atracurio Argentina, Brasile, Spagna
Atracurio besilato Chile, Italia, Perù, Venezuela
Atracurium Arabia Saudita, Argentina, Austria, Egitto, Emirati Arabi Uniti, Germania, Gran Bretagna, Iran, Italia, Malaysia, Svezia
Atracurium besilat Austria
Atracurium besilate Arabia Saudita, Australia, Canada, Egitto, Emirati Arabi Uniti, Iran, nuova Zelanda, Stati Uniti d’America
Atralex Malaysia
Atrasyl Turchia
Besilato Atracurio Chile, Portogallo, Spagna
Faulcurium Egitto, Portogallo
Gelolagar Argentina
Laurak Spagna
Neucurium Turchia
Notrixum Turchia
Relactrac Colombia
Relatrac Messico
Tracrium Arabia Saudita, Austria, Belgio, Chile, Colombia, Ecuador, Egitto, Emirati Arabi Uniti, Francia, Germania, Gran Bretagna, Grecia, Iran, Irlanda, Italia, Lussemburgo, Malaysia, Marocco, Messico, nuova Zelanda, Paesi Bassi, Polonia, Portogallo, Romania, Slovenia, Spagna, Stati Uniti d’America, Svizzera, Turchia, Ungheria
Tracumek Perù
Tracurix Argentina
Tracuron Argentina
Compatibilità   Iniezione   Compatibilità : Atracurium besylate              
explication_incompatibilite_molecules
Molecola Solvente Bibliografia
Incompatibilità non specificata Incompatibile
Iniezione Atracurium besylate
Iniezione Amobarbital sodium
3676
Incompatibile
Iniezione Atracurium besylate 0.5 mg/ml
Ringer lattato 1093
Compatibile
Iniezione Atracurium besylate 0.5 mg/ml
Iniezione Aminophylline 1 mg/ml
Glucosio 5% 402
Compatibile
Iniezione Atracurium besylate 5 mg/ml
Iniezione Amiodarone hydrochloride 6 mg/ml
Glucosio 5% 1611
Compatibile
Iniezione Atracurium besylate 0.5 mg/ml
Iniezione Cefazolin sodium 10 mg/ml
Glucosio 5% 402
Compatibile
Iniezione Atracurium besylate
Glucosio 5% 3629
Compatibile
Iniezione Atracurium besylate 0.5 mg/ml
Iniezione Cefuroxime sodium 7.5 mg/ml
Glucosio 5% 402
Compatibile
Iniezione Atracurium besylate 0.5 mg/ml
Iniezione Co-trimoxazole 3.2/0.64 mg/ml
Glucosio 5% 402
Precipitazioni immediate Incompatibile
Iniezione Atracurium besylate 0.5 mg/ml
Iniezione Diazepam 5 mg/ml
Glucosio 5% 402
Precipitazioni immediate Incompatibile
Iniezione Atracurium besylate
Iniezione Diclofenac
1647
Compatibile
Iniezione Atracurium besylate 0.5 mg/ml
Iniezione Dopamine hydrochloride 1.6 mg/ml
Glucosio 5% 402
Incompatibilità non specificata Incompatibile
Iniezione Atracurium besylate
NaHCO3 3676
Compatibile
Iniezione Atracurium besylate 0.5 mg/ml
Iniezione Cimetidine hydrochloride 6 mg/ml
Glucosio 5% 402
Compatibile
Iniezione Atracurium besylate
Iniezione Dexmedetomidine
5042
Compatibile
Iniezione Atracurium besylate 0.5 mg/ml
Iniezione Dobutamine hydrochloride 1 mg/ml
Glucosio 5% 402
Incompatibilità non specificata Incompatibile
Iniezione Atracurium besylate
NaHCO3 3629
Compatibile
Iniezione Atracurium besylate 2 mg/ml
Iniezione Ciprofloxacin lactate 2 mg/ml
Glucosio 5% 285
Compatibile
Iniezione Atracurium besylate 0.5 mg/ml
Iniezione Epinephrine hydrochloride 4 µg/ml
Glucosio 5% 402
Compatibile
Iniezione Atracurium besylate 0.5 mg/ml
Iniezione Esmolol hydrochloride 10 mg/ml
Glucosio 5% 402
Compatibile
Iniezione Atracurium besylate 10 mg/ml
Nutrizione parenterale (privo di lipidi) 939
Compatibile
Iniezione Atracurium besylate 10 mg/ml
Iniezione Etomidate 2 mg/ml
Nessuno 319
Compatibile
Iniezione Atracurium besylate 0.5 mg/ml
Iniezione Fenoldopam mesylate 80 µg/ml
Cloruro di sodio 0,9% 1803
Compatibile
Iniezione Atracurium besylate 0.5 mg/ml
Iniezione Fentanyl citrate 10 µg/ml
Glucosio 5% 402
Compatibile
Iniezione Atracurium besylate 0.5 mg/ml
Iniezione Gentamicin sulfate 2 mg/ml
Glucosio 5% 402
Compatibile
Iniezione Atracurium besylate 0.5 mg/ml
Iniezione Heparin sodium 40 UI/ml
Glucosio 5% 402
Compatibile
Iniezione Atracurium besylate 0.5 mg/ml
Iniezione Hetastarch 60 mg/ml
solvente specifico 1721
Compatibile
Iniezione Atracurium besylate 0.5 mg/ml
Iniezione Hydrocortisone sodium succinate 1 mg/ml
Glucosio 5% 402
Compatibile
Iniezione Atracurium besylate 0.5 mg/ml
Iniezione Isoprenaline hydrochloride 0.004 mg/ml
Glucosio 5% 402
Compatibile
Iniezione Atracurium besylate 0.5 mg/ml
Iniezione Lorazepam 0.5 mg/ml
Glucosio 5% 402
Incompatibilità non specificata Incompatibile
Iniezione Atracurium besylate
Iniezione Methohexital sodium
3676
Compatibile
Iniezione Atracurium besylate 1 & 5 mg/ml
Iniezione Midazolam hydrochloride 0.1 & 0.5 mg/ml
Glucosio 5% 865
Compatibile
Iniezione Atracurium besylate 0.5 mg/ml
Iniezione Midazolam hydrochloride 0.05 mg/ml
Glucosio 5% 402
Compatibile
Iniezione Atracurium besylate 2 mg/ml
Iniezione Milrinone lactate 0.8 mg/ml
Glucosio 5% 813
Compatibile
Iniezione Atracurium besylate 0.5 mg/ml
Iniezione Morphine sulfate 1 mg/ml
Glucosio 5% 402
Compatibile
Iniezione Atracurium besylate 0.5 mg/ml
Iniezione Nitroglycerin 0.4 mg/ml
Glucosio 5% 402
Compatibile
Iniezione Atracurium besylate 0.5 mg/ml
Iniezione Nitroprusside sodium 0.2 mg/ml
Glucosio 5% 402
Incompatibilità non specificata Incompatibile
Iniezione Atracurium besylate
Iniezione Pentobarbital sodium
3676
Incompatibilità non specificata Incompatibile
Iniezione Atracurium besylate
Iniezione Phenobarbital sodium
3676
Instabilità immediata dell'emulsione Incompatibile
Iniezione Atracurium besylate 10 mg/ml
Iniezione Propofol 10 mg/ml
Nessuno 300
Instabilità dell'emulsione dopo 1 ora Incompatibile
Iniezione Atracurium besylate 10 mg/ml
Iniezione Propofol
660
Incompatibilità non specificata Incompatibile
Iniezione Atracurium besylate
Iniezione Propofol
3659
Compatibile
Iniezione Atracurium besylate 10 mg/ml
Iniezione Propofol 2 mg/ml
Nessuno 319
Incompatibilità non specificata Incompatibile
Iniezione Atracurium besylate
Iniezione Propofol
3502
Compatibile
Iniezione Atracurium besylate 0.5 mg/ml
Iniezione Ranitidine hydrochloride 0.5 mg/ml
Glucosio 5% 402
Incompatibilità non specificata Incompatibile
Iniezione Atracurium besylate
Iniezione Sodium bicarbonate
3629
Incompatibilità non specificata Incompatibile
Iniezione Atracurium besylate
Iniezione Sodium bicarbonate
3676
Precipitazioni immediate Incompatibile
Iniezione Atracurium besylate
Iniezione Thiopental sodium
3373
Incompatibilità non specificata Incompatibile
Iniezione Atracurium besylate
Iniezione Thiopental sodium
3629
Incompatibilità non specificata Incompatibile
Iniezione Atracurium besylate
Iniezione Thiopental sodium
3676
Compatibile
Iniezione Atracurium besylate 0.2 mg/ml
Iniezione Valproic acid 2 & 20 mg/ml
Cloruro di sodio 0,9% 4428
Compatibile
Iniezione Atracurium besylate
Cloruro di sodio 0,9% 3629
Torbidità immediata Incompatibile
Iniezione Atracurium besylate 10 mg/ml
Iniezione Thiopental sodium 25 mg/ml
Acqua per preparato iniettabile 319
Compatibile
Iniezione Atracurium besylate 0.2 mg/ml
Iniezione Valproic acid 2 & 20 mg/ml
Glucosio 5% 4428
Compatibile
Iniezione Atracurium besylate 0.5 mg/ml
Iniezione Vancomycin hydrochloride 5 mg/ml
Glucosio 5% 402

  Mentions Légales