最新更新 :
18/03/2026
仿箭毒药   Atracurium besylate  
注射液
溶液稳定性 混合物稳定性 影响稳定性的因素 兼容性 用药途径 引用文献 PDF
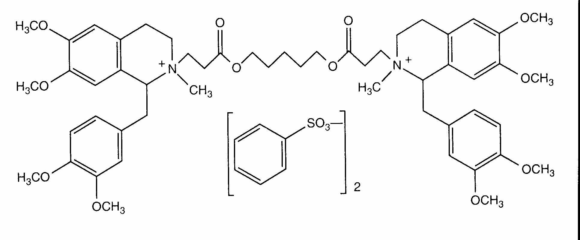
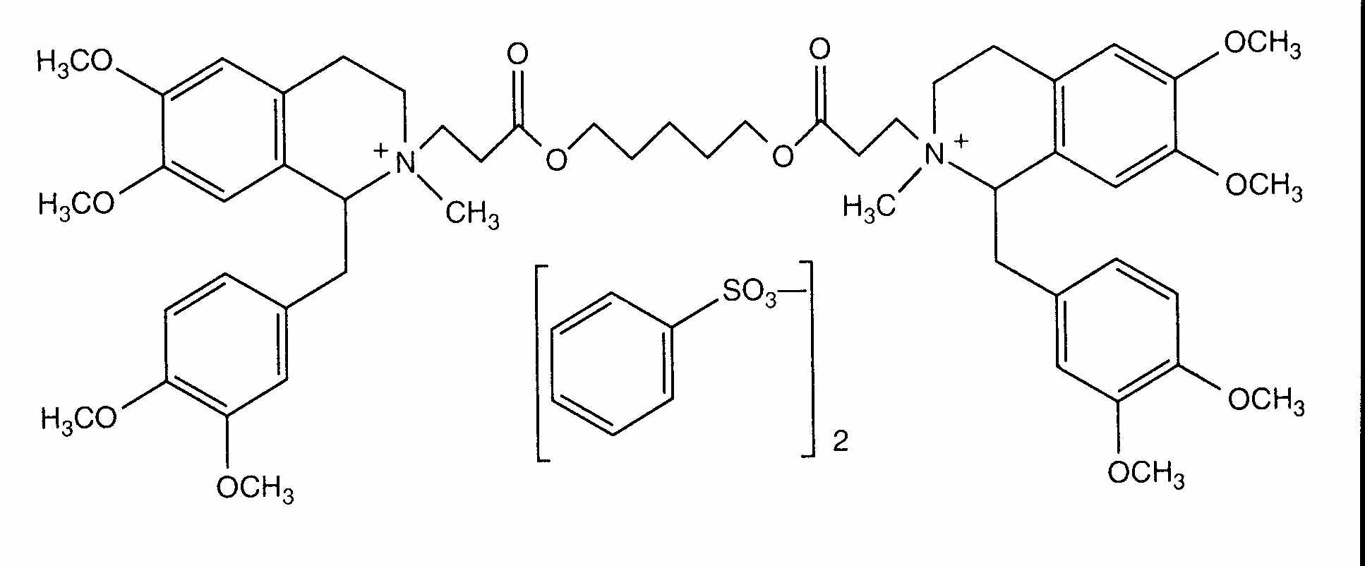
   化学式  

商品名   商品名     

商品名仅供参考, 药品所用的辅料可能依国家或厂商不同有所不同。

Abbocurium 波兰
Acurmil 意大利
Ancour 伊朗
Anecur 伊朗
Atacur 沙特阿拉伯
Atrabesylate 埃及
Atracurio 巴西, 西班牙, 阿根廷
Atracurio besilato 委内瑞拉, 意大利, 智利, 秘鲁
Atracurium 伊朗, 埃及, 奥地利, 德国, 意大利, 沙特阿拉伯, 瑞典, 英国, 阿根廷, 阿联酋, 马来西亚
Atracurium besilat 奥地利
Atracurium besilate 伊朗, 加拿大, 埃及, 新西蘭, 沙特阿拉伯, 澳大利亚, 美国, 阿联酋
Atralex 马来西亚
Atrasyl 土耳其
Besilato Atracurio 智利, 葡萄牙, 西班牙
Faulcurium 埃及, 葡萄牙
Gelolagar 阿根廷
Laurak 西班牙
Neucurium 土耳其
Notrixum 土耳其
Relactrac 哥伦比亚
Relatrac 墨西哥
Tracrium 伊朗, 匈牙利, 卢森堡, 厄瓜多尔, 哥伦比亚, 土耳其, 埃及, 墨西哥, 奥地利, 希腊, 德国, 意大利, 摩洛哥, 斯洛文尼亚, 新西蘭, 智利, 比利时, 沙特阿拉伯, 法国, 波兰, 爱尔兰, 瑞士, 罗马尼亚, 美国, 英国, 荷兰, 葡萄牙, 西班牙, 阿联酋, 马来西亚
Tracumek 秘鲁
Tracurix 阿根廷
Tracuron 阿根廷
兼容性   注射液   兼容性 : Atracurium besylate              
This screen indicates the compatibilities or incompatibilities with, in this case, the type of incompatibility (precipitation, color change, modification of an emulsion, etc.). The compatibilities shown here are mostly physical only, with the chemical stability of each molecule rarely being assessed. The evaluation of these mixtures was studied to consider the possibility of Y-site administration to the patient. These data cannot be used for making mixtures in advance in bags or syringes. This type of information is available in the screen "Stability in mixture ».
分子 溶剂 引用文献
未指定的不兼容性 不相容
注射液 Atracurium besylate
注射液 Amobarbital sodium
3676
不相容
注射液 Atracurium besylate 0.5 mg/ml
Ringer乳酸溶液 1093
兼容
注射液 Atracurium besylate 0.5 mg/ml
注射液 Aminophylline 1 mg/ml
葡萄糖5% 402
兼容
注射液 Atracurium besylate 5 mg/ml
注射液 Amiodarone hydrochloride 6 mg/ml
葡萄糖5% 1611
兼容
注射液 Atracurium besylate 0.5 mg/ml
注射液 Cefazolin sodium 10 mg/ml
葡萄糖5% 402
兼容
注射液 Atracurium besylate
葡萄糖5% 3629
兼容
注射液 Atracurium besylate 0.5 mg/ml
注射液 Cefuroxime sodium 7.5 mg/ml
葡萄糖5% 402
兼容
注射液 Atracurium besylate 0.5 mg/ml
注射液 Co-trimoxazole 3.2/0.64 mg/ml
葡萄糖5% 402
立即沉澱 不相容
注射液 Atracurium besylate 0.5 mg/ml
注射液 Diazepam 5 mg/ml
葡萄糖5% 402
立即沉澱 不相容
注射液 Atracurium besylate
注射液 Diclofenac
1647
兼容
注射液 Atracurium besylate 0.5 mg/ml
注射液 Dopamine hydrochloride 1.6 mg/ml
葡萄糖5% 402
未指定的不兼容性 不相容
注射液 Atracurium besylate
NaHCO3 3676
兼容
注射液 Atracurium besylate 0.5 mg/ml
注射液 Cimetidine hydrochloride 6 mg/ml
葡萄糖5% 402
兼容
注射液 Atracurium besylate
注射液 Dexmedetomidine
5042
兼容
注射液 Atracurium besylate 0.5 mg/ml
注射液 Dobutamine hydrochloride 1 mg/ml
葡萄糖5% 402
未指定的不兼容性 不相容
注射液 Atracurium besylate
NaHCO3 3629
兼容
注射液 Atracurium besylate 2 mg/ml
注射液 Ciprofloxacin lactate 2 mg/ml
葡萄糖5% 285
兼容
注射液 Atracurium besylate 0.5 mg/ml
注射液 Epinephrine hydrochloride 4 µg/ml
葡萄糖5% 402
兼容
注射液 Atracurium besylate 0.5 mg/ml
注射液 Esmolol hydrochloride 10 mg/ml
葡萄糖5% 402
兼容
注射液 Atracurium besylate 10 mg/ml
肠外营养(二种混合物) 939
兼容
注射液 Atracurium besylate 10 mg/ml
注射液 Etomidate 2 mg/ml
无 319
兼容
注射液 Atracurium besylate 0.5 mg/ml
注射液 Fenoldopam mesylate 80 µg/ml
NaCl 0,9% 1803
兼容
注射液 Atracurium besylate 0.5 mg/ml
注射液 Fentanyl citrate 10 µg/ml
葡萄糖5% 402
兼容
注射液 Atracurium besylate 0.5 mg/ml
注射液 Gentamicin sulfate 2 mg/ml
葡萄糖5% 402
兼容
注射液 Atracurium besylate 0.5 mg/ml
注射液 Heparin sodium 40 UI/ml
葡萄糖5% 402
兼容
注射液 Atracurium besylate 0.5 mg/ml
注射液 Hetastarch 60 mg/ml
特定溶液 1721
兼容
注射液 Atracurium besylate 0.5 mg/ml
注射液 Hydrocortisone sodium succinate 1 mg/ml
葡萄糖5% 402
兼容
注射液 Atracurium besylate 0.5 mg/ml
注射液 Isoprenaline hydrochloride 0.004 mg/ml
葡萄糖5% 402
兼容
注射液 Atracurium besylate 0.5 mg/ml
注射液 Lorazepam 0.5 mg/ml
葡萄糖5% 402
未指定的不兼容性 不相容
注射液 Atracurium besylate
注射液 Methohexital sodium
3676
兼容
注射液 Atracurium besylate 1 & 5 mg/ml
注射液 Midazolam hydrochloride 0.1 & 0.5 mg/ml
葡萄糖5% 865
兼容
注射液 Atracurium besylate 0.5 mg/ml
注射液 Midazolam hydrochloride 0.05 mg/ml
葡萄糖5% 402
兼容
注射液 Atracurium besylate 2 mg/ml
注射液 Milrinone lactate 0.8 mg/ml
葡萄糖5% 813
兼容
注射液 Atracurium besylate 0.5 mg/ml
注射液 Morphine sulfate 1 mg/ml
葡萄糖5% 402
兼容
注射液 Atracurium besylate 0.5 mg/ml
注射液 Nitroglycerin 0.4 mg/ml
葡萄糖5% 402
兼容
注射液 Atracurium besylate 0.5 mg/ml
注射液 Nitroprusside sodium 0.2 mg/ml
葡萄糖5% 402
未指定的不兼容性 不相容
注射液 Atracurium besylate
注射液 Pentobarbital sodium
3676
未指定的不兼容性 不相容
注射液 Atracurium besylate
注射液 Phenobarbital sodium
3676
乳液立即不穩定 不相容
注射液 Atracurium besylate 10 mg/ml
注射液 Propofol 10 mg/ml
无 300
1小時後乳液的不穩定性 不相容
注射液 Atracurium besylate 10 mg/ml
注射液 Propofol
660
未指定的不兼容性 不相容
注射液 Atracurium besylate
注射液 Propofol
3659
兼容
注射液 Atracurium besylate 10 mg/ml
注射液 Propofol 2 mg/ml
无 319
未指定的不兼容性 不相容
注射液 Atracurium besylate
注射液 Propofol
3502
兼容
注射液 Atracurium besylate 0.5 mg/ml
注射液 Ranitidine hydrochloride 0.5 mg/ml
葡萄糖5% 402
未指定的不兼容性 不相容
注射液 Atracurium besylate
注射液 Sodium bicarbonate
3629
未指定的不兼容性 不相容
注射液 Atracurium besylate
注射液 Sodium bicarbonate
3676
立即沉澱 不相容
注射液 Atracurium besylate
注射液 Thiopental sodium
3373
未指定的不兼容性 不相容
注射液 Atracurium besylate
注射液 Thiopental sodium
3629
未指定的不兼容性 不相容
注射液 Atracurium besylate
注射液 Thiopental sodium
3676
兼容
注射液 Atracurium besylate 0.2 mg/ml
注射液 Valproic acid 2 & 20 mg/ml
NaCl 0,9% 4428
兼容
注射液 Atracurium besylate
NaCl 0,9% 3629
立即渾濁 不相容
注射液 Atracurium besylate 10 mg/ml
注射液 Thiopental sodium 25 mg/ml
注射用水 319
兼容
注射液 Atracurium besylate 0.2 mg/ml
注射液 Valproic acid 2 & 20 mg/ml
葡萄糖5% 4428
兼容
注射液 Atracurium besylate 0.5 mg/ml
注射液 Vancomycin hydrochloride 5 mg/ml
葡萄糖5% 402

  Mentions Légales