Son güncelleme :
18/03/2026
Kurarimimetik   Atracurium besylate  
Enjeksiyon
Çözeltilerin stabilitesi Karışımlardaki stabilitesi Stabiliteyi etkileyen faktörler Uyumluluk Uygulama yöntemi Kaynaklar pdf
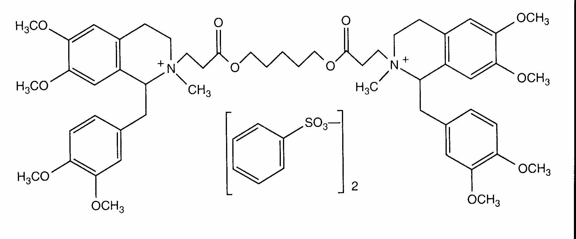
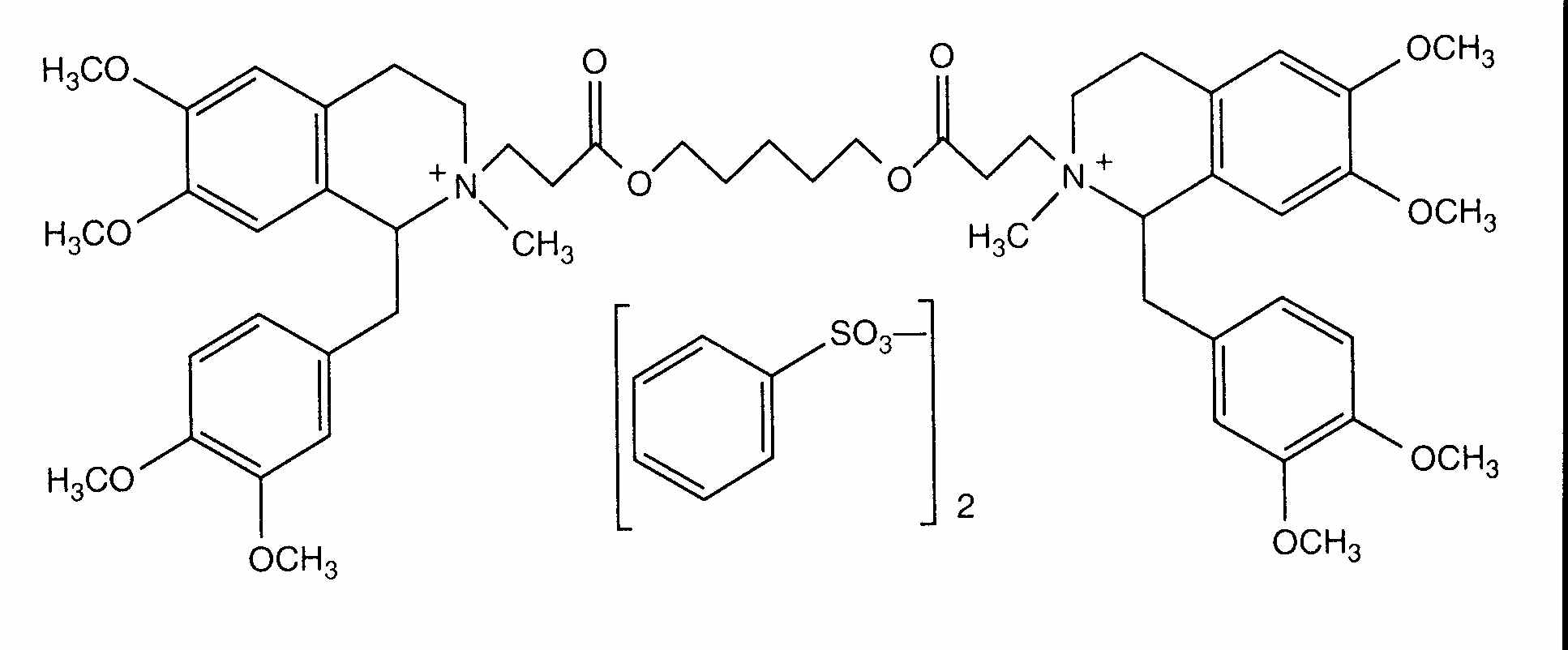
   Kimyasal yapı   

Ticari isim   Ticari isim     

Trade names are indicative and excipients composition can be different depending on the country and manufacturers

Abbocurium Polonya
Acurmil İtalya
Ancour İran
Anecur İran
Atacur Suudi Arabistan
Atrabesylate Mısır
Atracurio Arjantin, Brezilya, İspanya
Atracurio besilato İtalya, Peru, Şili, Venezuela
Atracurium Almanya, Arjantin, Avusturya, Birleşik Arap Emirlikleri, Büyük Britanya, İran, İsveç, İtalya, Malezya, Mısır, Suudi Arabistan
Atracurium besilat Avusturya
Atracurium besilate Amerika Birleşik Devletleri, Avustralya, Birleşik Arap Emirlikleri, İran, Kanada, Mısır, Suudi Arabistan, yeni Zelanda
Atralex Malezya
Atrasyl Türkiye
Besilato Atracurio İspanya, Portekiz, Şili
Faulcurium Mısır, Portekiz
Gelolagar Arjantin
Laurak İspanya
Neucurium Türkiye
Notrixum Türkiye
Relactrac Kolombiya
Relatrac Meksika
Tracrium Almanya, Amerika Birleşik Devletleri, Avusturya, Belçika, Birleşik Arap Emirlikleri, Büyük Britanya, Ekvador, Fas, Fransa, Hollanda, İran, İrlanda, İspanya, İsviçre, İtalya, Kolombiya, Lüksemburg, Macaristan, Malezya, Meksika, Mısır, Polonya, Portekiz, Romanya, Şili, Slovenya, Suudi Arabistan, Türkiye, yeni Zelanda, Yunanistan
Tracumek Peru
Tracurix Arjantin
Tracuron Arjantin
Uyumluluk   Enjeksiyon    Uyumluluk : Atracurium besylate              
Bu ekran, bu durumda uyumsuzluk tipiyle (çökelme, renk değişimi, bir emülsiyonun modifikasyonu, vb.) Uyumlulukları veya uyumsuzlukları gösterir. Burada gösterilen uyumluluklar çoğunlukla yalnızca fizikseldir ve her molekülün kimyasal stabilitesi nadiren değerlendirilir. Bu karışımların değerlendirilmesi, hastaya Y bölgesi uygulama olasılığını göz önünde bulundurmak için çalışıldı. Bu veriler önceden torba veya şırıngalarda karışım yapmak için kullanılamaz. Bu tür bilgiler "Karışımda stabilite" ekranında mevcuttur.
Bileşik Çözücü Kaynaklar
Belirtilmemiş uyumsuzluk uyumsuz
Enjeksiyon Atracurium besylate
Enjeksiyon Amobarbital sodium
3676
uyumsuz
Enjeksiyon Atracurium besylate 0.5 mg/ml
Laktatlı ringer 1093
Uyumlu
Enjeksiyon Atracurium besylate 0.5 mg/ml
Enjeksiyon Aminophylline 1 mg/ml
Glukoz %5 402
Uyumlu
Enjeksiyon Atracurium besylate 5 mg/ml
Enjeksiyon Amiodarone hydrochloride 6 mg/ml
Glukoz %5 1611
Uyumlu
Enjeksiyon Atracurium besylate 0.5 mg/ml
Enjeksiyon Cefazolin sodium 10 mg/ml
Glukoz %5 402
Uyumlu
Enjeksiyon Atracurium besylate
Glukoz %5 3629
Uyumlu
Enjeksiyon Atracurium besylate 0.5 mg/ml
Enjeksiyon Cefuroxime sodium 7.5 mg/ml
Glukoz %5 402
Uyumlu
Enjeksiyon Atracurium besylate 0.5 mg/ml
Enjeksiyon Co-trimoxazole 3.2/0.64 mg/ml
Glukoz %5 402
Acil yağış uyumsuz
Enjeksiyon Atracurium besylate 0.5 mg/ml
Enjeksiyon Diazepam 5 mg/ml
Glukoz %5 402
Acil yağış uyumsuz
Enjeksiyon Atracurium besylate
Enjeksiyon Diclofenac
1647
Uyumlu
Enjeksiyon Atracurium besylate 0.5 mg/ml
Enjeksiyon Dopamine hydrochloride 1.6 mg/ml
Glukoz %5 402
Belirtilmemiş uyumsuzluk uyumsuz
Enjeksiyon Atracurium besylate
NaHCO3 3676
Uyumlu
Enjeksiyon Atracurium besylate 0.5 mg/ml
Enjeksiyon Cimetidine hydrochloride 6 mg/ml
Glukoz %5 402
Uyumlu
Enjeksiyon Atracurium besylate
Enjeksiyon Dexmedetomidine
5042
Uyumlu
Enjeksiyon Atracurium besylate 0.5 mg/ml
Enjeksiyon Dobutamine hydrochloride 1 mg/ml
Glukoz %5 402
Belirtilmemiş uyumsuzluk uyumsuz
Enjeksiyon Atracurium besylate
NaHCO3 3629
Uyumlu
Enjeksiyon Atracurium besylate 2 mg/ml
Enjeksiyon Ciprofloxacin lactate 2 mg/ml
Glukoz %5 285
Uyumlu
Enjeksiyon Atracurium besylate 0.5 mg/ml
Enjeksiyon Epinephrine hydrochloride 4 µg/ml
Glukoz %5 402
Uyumlu
Enjeksiyon Atracurium besylate 0.5 mg/ml
Enjeksiyon Esmolol hydrochloride 10 mg/ml
Glukoz %5 402
Uyumlu
Enjeksiyon Atracurium besylate 10 mg/ml
Parenteral beslenme (ikili karışım) 939
Uyumlu
Enjeksiyon Atracurium besylate 10 mg/ml
Enjeksiyon Etomidate 2 mg/ml
Yok 319
Uyumlu
Enjeksiyon Atracurium besylate 0.5 mg/ml
Enjeksiyon Fenoldopam mesylate 80 µg/ml
Sodyum klorür % 0,9 1803
Uyumlu
Enjeksiyon Atracurium besylate 0.5 mg/ml
Enjeksiyon Fentanyl citrate 10 µg/ml
Glukoz %5 402
Uyumlu
Enjeksiyon Atracurium besylate 0.5 mg/ml
Enjeksiyon Gentamicin sulfate 2 mg/ml
Glukoz %5 402
Uyumlu
Enjeksiyon Atracurium besylate 0.5 mg/ml
Enjeksiyon Heparin sodium 40 UI/ml
Glukoz %5 402
Uyumlu
Enjeksiyon Atracurium besylate 0.5 mg/ml
Enjeksiyon Hetastarch 60 mg/ml
çözücü Özgül 1721
Uyumlu
Enjeksiyon Atracurium besylate 0.5 mg/ml
Enjeksiyon Hydrocortisone sodium succinate 1 mg/ml
Glukoz %5 402
Uyumlu
Enjeksiyon Atracurium besylate 0.5 mg/ml
Enjeksiyon Isoprenaline hydrochloride 0.004 mg/ml
Glukoz %5 402
Uyumlu
Enjeksiyon Atracurium besylate 0.5 mg/ml
Enjeksiyon Lorazepam 0.5 mg/ml
Glukoz %5 402
Belirtilmemiş uyumsuzluk uyumsuz
Enjeksiyon Atracurium besylate
Enjeksiyon Methohexital sodium
3676
Uyumlu
Enjeksiyon Atracurium besylate 1 & 5 mg/ml
Enjeksiyon Midazolam hydrochloride 0.1 & 0.5 mg/ml
Glukoz %5 865
Uyumlu
Enjeksiyon Atracurium besylate 0.5 mg/ml
Enjeksiyon Midazolam hydrochloride 0.05 mg/ml
Glukoz %5 402
Uyumlu
Enjeksiyon Atracurium besylate 2 mg/ml
Enjeksiyon Milrinone lactate 0.8 mg/ml
Glukoz %5 813
Uyumlu
Enjeksiyon Atracurium besylate 0.5 mg/ml
Enjeksiyon Morphine sulfate 1 mg/ml
Glukoz %5 402
Uyumlu
Enjeksiyon Atracurium besylate 0.5 mg/ml
Enjeksiyon Nitroglycerin 0.4 mg/ml
Glukoz %5 402
Uyumlu
Enjeksiyon Atracurium besylate 0.5 mg/ml
Enjeksiyon Nitroprusside sodium 0.2 mg/ml
Glukoz %5 402
Belirtilmemiş uyumsuzluk uyumsuz
Enjeksiyon Atracurium besylate
Enjeksiyon Pentobarbital sodium
3676
Belirtilmemiş uyumsuzluk uyumsuz
Enjeksiyon Atracurium besylate
Enjeksiyon Phenobarbital sodium
3676
Emülsiyonun anında dengesizliği uyumsuz
Enjeksiyon Atracurium besylate 10 mg/ml
Enjeksiyon Propofol 10 mg/ml
Yok 300
1 saat sonra emülsiyonun kararsızlığı uyumsuz
Enjeksiyon Atracurium besylate 10 mg/ml
Enjeksiyon Propofol
660
Belirtilmemiş uyumsuzluk uyumsuz
Enjeksiyon Atracurium besylate
Enjeksiyon Propofol
3659
Uyumlu
Enjeksiyon Atracurium besylate 10 mg/ml
Enjeksiyon Propofol 2 mg/ml
Yok 319
Belirtilmemiş uyumsuzluk uyumsuz
Enjeksiyon Atracurium besylate
Enjeksiyon Propofol
3502
Uyumlu
Enjeksiyon Atracurium besylate 0.5 mg/ml
Enjeksiyon Ranitidine hydrochloride 0.5 mg/ml
Glukoz %5 402
Belirtilmemiş uyumsuzluk uyumsuz
Enjeksiyon Atracurium besylate
Enjeksiyon Sodium bicarbonate
3629
Belirtilmemiş uyumsuzluk uyumsuz
Enjeksiyon Atracurium besylate
Enjeksiyon Sodium bicarbonate
3676
Acil yağış uyumsuz
Enjeksiyon Atracurium besylate
Enjeksiyon Thiopental sodium
3373
Belirtilmemiş uyumsuzluk uyumsuz
Enjeksiyon Atracurium besylate
Enjeksiyon Thiopental sodium
3629
Belirtilmemiş uyumsuzluk uyumsuz
Enjeksiyon Atracurium besylate
Enjeksiyon Thiopental sodium
3676
Uyumlu
Enjeksiyon Atracurium besylate 0.2 mg/ml
Enjeksiyon Valproic acid 2 & 20 mg/ml
Sodyum klorür % 0,9 4428
Uyumlu
Enjeksiyon Atracurium besylate
Sodyum klorür % 0,9 3629
Anında bulanıklık uyumsuz
Enjeksiyon Atracurium besylate 10 mg/ml
Enjeksiyon Thiopental sodium 25 mg/ml
Enjeksiyonluk su 319
Uyumlu
Enjeksiyon Atracurium besylate 0.2 mg/ml
Enjeksiyon Valproic acid 2 & 20 mg/ml
Glukoz %5 4428
Uyumlu
Enjeksiyon Atracurium besylate 0.5 mg/ml
Enjeksiyon Vancomycin hydrochloride 5 mg/ml
Glukoz %5 402

  Mentions Légales