Laatste update :
18/03/2026
Curarimimeticum   Atracurium besylate  
injecteerbaar geneesmiddel
Stabiliteit in oplossing Stabiliteit in mengsels Factoren die de stabiliteit beïnvloeden Verenigbaarheden Toedieningswijze Literatuur pdf
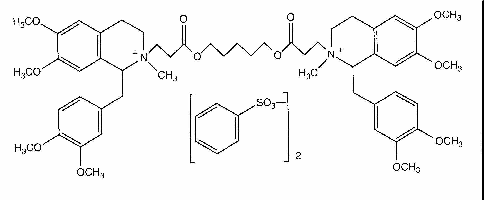
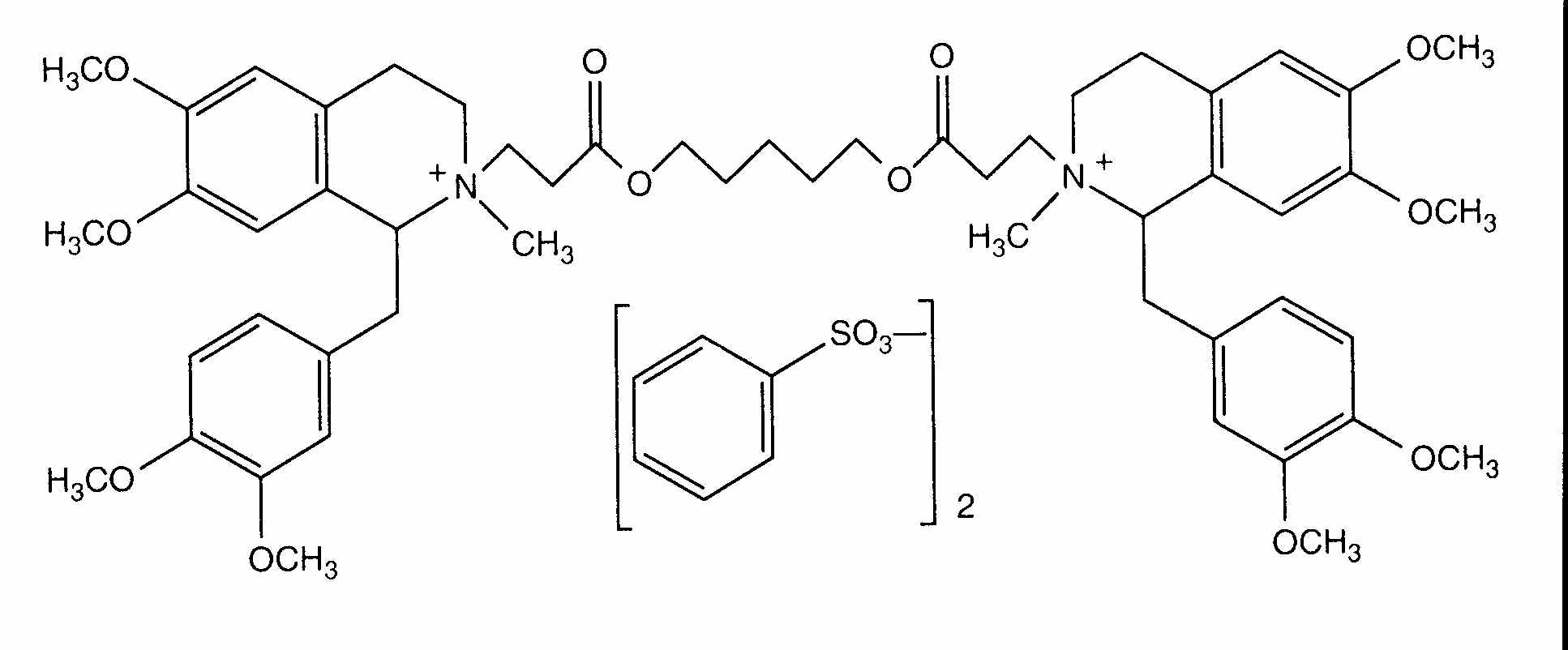
   Molecuulstructuur  

Merknamen in verschillende landen   Merknamen in verschillende landen     

Handelsnamen zijn slechts een indicatie; de samenstelling van hulpstoffen kan per land variëren afhankelijk van de fabrikant

Abbocurium Polen
Acurmil Italië
Ancour Iran
Anecur Iran
Atacur Saudi-Arabië
Atrabesylate Egypte
Atracurio Argentinië, Brazilië, Spanje
Atracurio besilato Chili, Italië, Peru, Venezuela
Atracurium Argentinië, Duitsland, Egypte, Groot Britannië, Iran, Italië, Maleisië, Oostenrijk, Saudi-Arabië, Verenigde Arabische Emiraten, Zweden
Atracurium besilat Oostenrijk
Atracurium besilate Australië, Canada, Egypte, Iran, nieuw Zeeland, Saudi-Arabië, USA, Verenigde Arabische Emiraten
Atralex Maleisië
Atrasyl Turkije
Besilato Atracurio Chili, Portugal, Spanje
Faulcurium Egypte, Portugal
Gelolagar Argentinië
Laurak Spanje
Neucurium Turkije
Notrixum Turkije
Relactrac Colombia
Relatrac Mexico
Tracrium België, Chili, Colombia, Duitsland, Ecuador, Egypte, Frankrijk, Griekenland, Groot Britannië, Hongarije, Ierland, Iran, Italië, Luxemburg, Maleisië, Marokko, Mexico, Nederland, nieuw Zeeland, Oostenrijk, Polen, Portugal, Roemenië, Saudi-Arabië, Slovenië, Spanje, Turkije, USA, Verenigde Arabische Emiraten, Zwitserland
Tracumek Peru
Tracurix Argentinië
Tracuron Argentinië
Verenigbaarheden   injecteerbaar geneesmiddel   Verenigbaarheden : Atracurium besylate              
In dit scherm worden de verenigbaarheden en onverenigbaarheden weergegeven. In het geval van een onverenigbaarheid wordt ook het type (neerslag, kleurverandering, modificatie van een emulsie, etc) weergegeven. De weergegeven verenigbaarheden zijn meestal alleen op uiterlijk beoordeeld, er heeft zelden een chemische beoordeling van iedere component plaatsgevonden. De verenigbaarheden betreffen gelijktijdige toediening aan de patient middels de Y-site. De data kan niet gebruikt worden in de beoordeling van verenigbaarheden van componenten in infuuszakken of spuiten. Die informatie is te vinden onder ‘stabiliteit in mengsels’.
Stof Oplosmiddel Literatuur
Niet-gespecificeerde incompatibiliteit Onverenigbaar
injecteerbaar geneesmiddel Atracurium besylate
injecteerbaar geneesmiddel Amobarbital sodium
3676
Onverenigbaar
injecteerbaar geneesmiddel Atracurium besylate 0.5 mg/ml
Ringer-lactaat 1093
Verenigbaar
injecteerbaar geneesmiddel Atracurium besylate 0.5 mg/ml
injecteerbaar geneesmiddel Aminophylline 1 mg/ml
Glucose 5% 402
Verenigbaar
injecteerbaar geneesmiddel Atracurium besylate 5 mg/ml
injecteerbaar geneesmiddel Amiodarone hydrochloride 6 mg/ml
Glucose 5% 1611
Verenigbaar
injecteerbaar geneesmiddel Atracurium besylate 0.5 mg/ml
injecteerbaar geneesmiddel Cefazolin sodium 10 mg/ml
Glucose 5% 402
Verenigbaar
injecteerbaar geneesmiddel Atracurium besylate
Glucose 5% 3629
Verenigbaar
injecteerbaar geneesmiddel Atracurium besylate 0.5 mg/ml
injecteerbaar geneesmiddel Cefuroxime sodium 7.5 mg/ml
Glucose 5% 402
Verenigbaar
injecteerbaar geneesmiddel Atracurium besylate 0.5 mg/ml
injecteerbaar geneesmiddel Co-trimoxazole 3.2/0.64 mg/ml
Glucose 5% 402
Onmiddellijke neerslag Onverenigbaar
injecteerbaar geneesmiddel Atracurium besylate 0.5 mg/ml
injecteerbaar geneesmiddel Diazepam 5 mg/ml
Glucose 5% 402
Onmiddellijke neerslag Onverenigbaar
injecteerbaar geneesmiddel Atracurium besylate
injecteerbaar geneesmiddel Diclofenac
1647
Verenigbaar
injecteerbaar geneesmiddel Atracurium besylate 0.5 mg/ml
injecteerbaar geneesmiddel Dopamine hydrochloride 1.6 mg/ml
Glucose 5% 402
Niet-gespecificeerde incompatibiliteit Onverenigbaar
injecteerbaar geneesmiddel Atracurium besylate
NaHCO3 3676
Verenigbaar
injecteerbaar geneesmiddel Atracurium besylate 0.5 mg/ml
injecteerbaar geneesmiddel Cimetidine hydrochloride 6 mg/ml
Glucose 5% 402
Verenigbaar
injecteerbaar geneesmiddel Atracurium besylate
injecteerbaar geneesmiddel Dexmedetomidine
5042
Verenigbaar
injecteerbaar geneesmiddel Atracurium besylate 0.5 mg/ml
injecteerbaar geneesmiddel Dobutamine hydrochloride 1 mg/ml
Glucose 5% 402
Niet-gespecificeerde incompatibiliteit Onverenigbaar
injecteerbaar geneesmiddel Atracurium besylate
NaHCO3 3629
Verenigbaar
injecteerbaar geneesmiddel Atracurium besylate 2 mg/ml
injecteerbaar geneesmiddel Ciprofloxacin lactate 2 mg/ml
Glucose 5% 285
Verenigbaar
injecteerbaar geneesmiddel Atracurium besylate 0.5 mg/ml
injecteerbaar geneesmiddel Epinephrine hydrochloride 4 µg/ml
Glucose 5% 402
Verenigbaar
injecteerbaar geneesmiddel Atracurium besylate 0.5 mg/ml
injecteerbaar geneesmiddel Esmolol hydrochloride 10 mg/ml
Glucose 5% 402
Verenigbaar
injecteerbaar geneesmiddel Atracurium besylate 10 mg/ml
Parenterale voeding (zonder vet) 939
Verenigbaar
injecteerbaar geneesmiddel Atracurium besylate 10 mg/ml
injecteerbaar geneesmiddel Etomidate 2 mg/ml
Geen 319
Verenigbaar
injecteerbaar geneesmiddel Atracurium besylate 0.5 mg/ml
injecteerbaar geneesmiddel Fenoldopam mesylate 80 µg/ml
Natriumchloride 0,9% 1803
Verenigbaar
injecteerbaar geneesmiddel Atracurium besylate 0.5 mg/ml
injecteerbaar geneesmiddel Fentanyl citrate 10 µg/ml
Glucose 5% 402
Verenigbaar
injecteerbaar geneesmiddel Atracurium besylate 0.5 mg/ml
injecteerbaar geneesmiddel Gentamicin sulfate 2 mg/ml
Glucose 5% 402
Verenigbaar
injecteerbaar geneesmiddel Atracurium besylate 0.5 mg/ml
injecteerbaar geneesmiddel Heparin sodium 40 UI/ml
Glucose 5% 402
Verenigbaar
injecteerbaar geneesmiddel Atracurium besylate 0.5 mg/ml
injecteerbaar geneesmiddel Hetastarch 60 mg/ml
specifieke solvent 1721
Verenigbaar
injecteerbaar geneesmiddel Atracurium besylate 0.5 mg/ml
injecteerbaar geneesmiddel Hydrocortisone sodium succinate 1 mg/ml
Glucose 5% 402
Verenigbaar
injecteerbaar geneesmiddel Atracurium besylate 0.5 mg/ml
injecteerbaar geneesmiddel Isoprenaline hydrochloride 0.004 mg/ml
Glucose 5% 402
Verenigbaar
injecteerbaar geneesmiddel Atracurium besylate 0.5 mg/ml
injecteerbaar geneesmiddel Lorazepam 0.5 mg/ml
Glucose 5% 402
Niet-gespecificeerde incompatibiliteit Onverenigbaar
injecteerbaar geneesmiddel Atracurium besylate
injecteerbaar geneesmiddel Methohexital sodium
3676
Verenigbaar
injecteerbaar geneesmiddel Atracurium besylate 1 & 5 mg/ml
injecteerbaar geneesmiddel Midazolam hydrochloride 0.1 & 0.5 mg/ml
Glucose 5% 865
Verenigbaar
injecteerbaar geneesmiddel Atracurium besylate 0.5 mg/ml
injecteerbaar geneesmiddel Midazolam hydrochloride 0.05 mg/ml
Glucose 5% 402
Verenigbaar
injecteerbaar geneesmiddel Atracurium besylate 2 mg/ml
injecteerbaar geneesmiddel Milrinone lactate 0.8 mg/ml
Glucose 5% 813
Verenigbaar
injecteerbaar geneesmiddel Atracurium besylate 0.5 mg/ml
injecteerbaar geneesmiddel Morphine sulfate 1 mg/ml
Glucose 5% 402
Verenigbaar
injecteerbaar geneesmiddel Atracurium besylate 0.5 mg/ml
injecteerbaar geneesmiddel Nitroglycerin 0.4 mg/ml
Glucose 5% 402
Verenigbaar
injecteerbaar geneesmiddel Atracurium besylate 0.5 mg/ml
injecteerbaar geneesmiddel Nitroprusside sodium 0.2 mg/ml
Glucose 5% 402
Niet-gespecificeerde incompatibiliteit Onverenigbaar
injecteerbaar geneesmiddel Atracurium besylate
injecteerbaar geneesmiddel Pentobarbital sodium
3676
Niet-gespecificeerde incompatibiliteit Onverenigbaar
injecteerbaar geneesmiddel Atracurium besylate
injecteerbaar geneesmiddel Phenobarbital sodium
3676
Onmiddellijke instabiliteit van de emulsie Onverenigbaar
injecteerbaar geneesmiddel Atracurium besylate 10 mg/ml
injecteerbaar geneesmiddel Propofol 10 mg/ml
Geen 300
Instabiliteit van de emulsie na 1 uur Onverenigbaar
injecteerbaar geneesmiddel Atracurium besylate 10 mg/ml
injecteerbaar geneesmiddel Propofol
660
Niet-gespecificeerde incompatibiliteit Onverenigbaar
injecteerbaar geneesmiddel Atracurium besylate
injecteerbaar geneesmiddel Propofol
3659
Verenigbaar
injecteerbaar geneesmiddel Atracurium besylate 10 mg/ml
injecteerbaar geneesmiddel Propofol 2 mg/ml
Geen 319
Niet-gespecificeerde incompatibiliteit Onverenigbaar
injecteerbaar geneesmiddel Atracurium besylate
injecteerbaar geneesmiddel Propofol
3502
Verenigbaar
injecteerbaar geneesmiddel Atracurium besylate 0.5 mg/ml
injecteerbaar geneesmiddel Ranitidine hydrochloride 0.5 mg/ml
Glucose 5% 402
Niet-gespecificeerde incompatibiliteit Onverenigbaar
injecteerbaar geneesmiddel Atracurium besylate
injecteerbaar geneesmiddel Sodium bicarbonate
3629
Niet-gespecificeerde incompatibiliteit Onverenigbaar
injecteerbaar geneesmiddel Atracurium besylate
injecteerbaar geneesmiddel Sodium bicarbonate
3676
Onmiddellijke neerslag Onverenigbaar
injecteerbaar geneesmiddel Atracurium besylate
injecteerbaar geneesmiddel Thiopental sodium
3373
Niet-gespecificeerde incompatibiliteit Onverenigbaar
injecteerbaar geneesmiddel Atracurium besylate
injecteerbaar geneesmiddel Thiopental sodium
3629
Niet-gespecificeerde incompatibiliteit Onverenigbaar
injecteerbaar geneesmiddel Atracurium besylate
injecteerbaar geneesmiddel Thiopental sodium
3676
Verenigbaar
injecteerbaar geneesmiddel Atracurium besylate 0.2 mg/ml
injecteerbaar geneesmiddel Valproic acid 2 & 20 mg/ml
Natriumchloride 0,9% 4428
Verenigbaar
injecteerbaar geneesmiddel Atracurium besylate
Natriumchloride 0,9% 3629
Onmiddellijke troebelheid Onverenigbaar
injecteerbaar geneesmiddel Atracurium besylate 10 mg/ml
injecteerbaar geneesmiddel Thiopental sodium 25 mg/ml
Water voor injectie 319
Verenigbaar
injecteerbaar geneesmiddel Atracurium besylate 0.2 mg/ml
injecteerbaar geneesmiddel Valproic acid 2 & 20 mg/ml
Glucose 5% 4428
Verenigbaar
injecteerbaar geneesmiddel Atracurium besylate 0.5 mg/ml
injecteerbaar geneesmiddel Vancomycin hydrochloride 5 mg/ml
Glucose 5% 402

  Mentions Légales