Last update :
18/03/2026
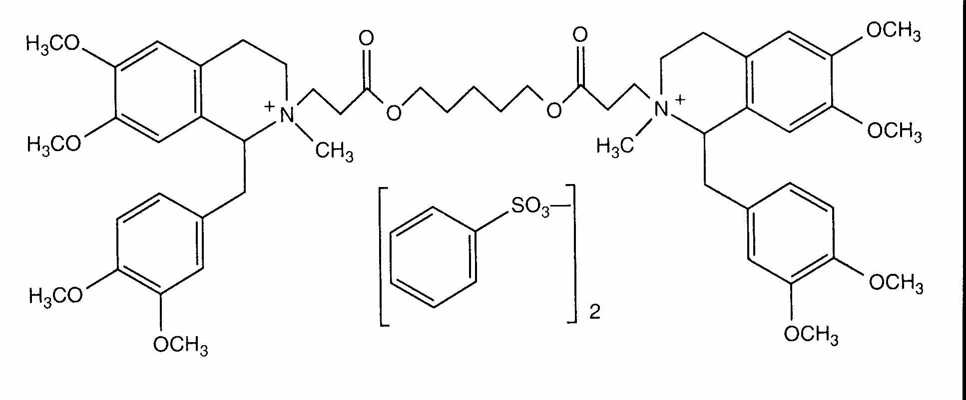
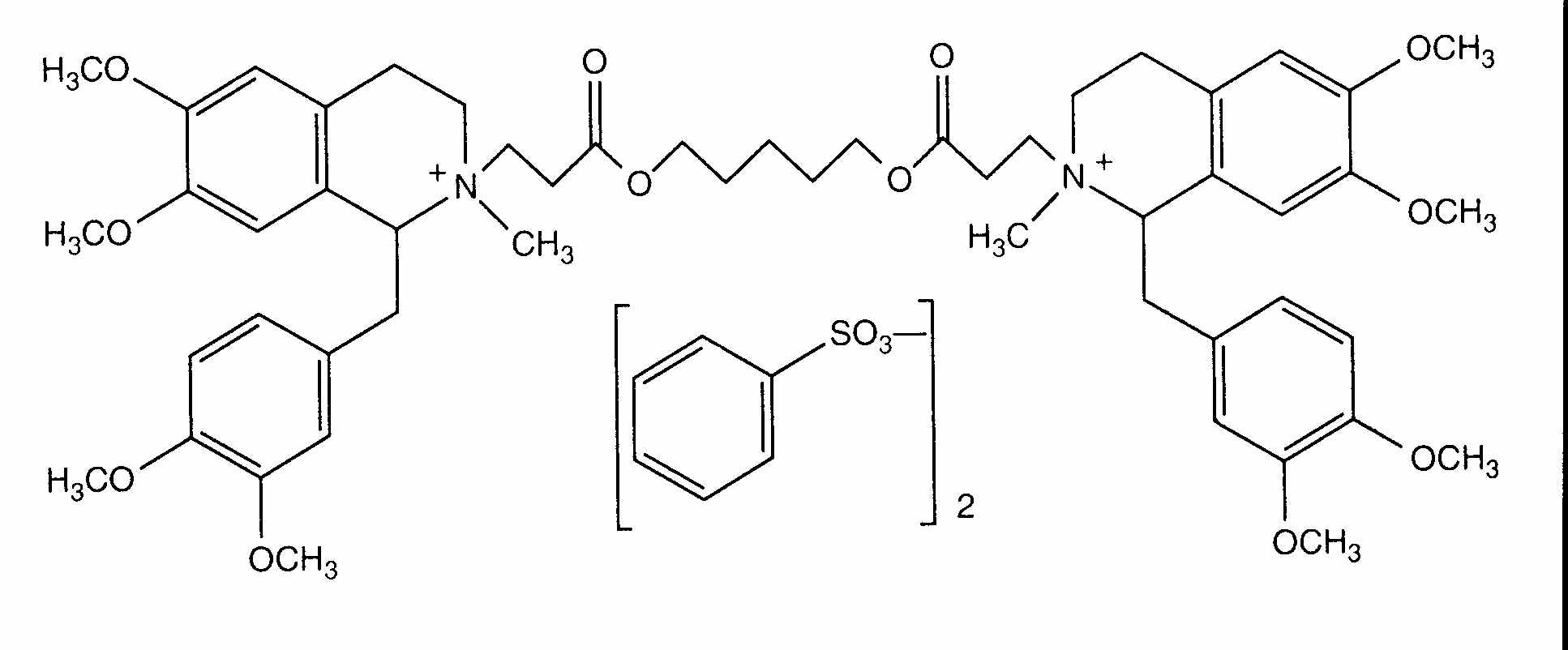
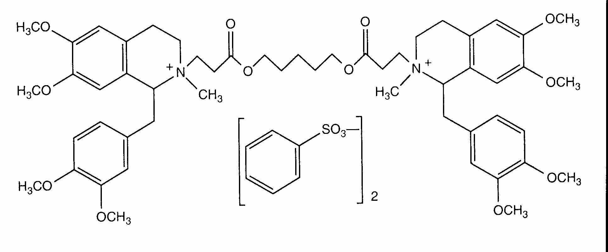
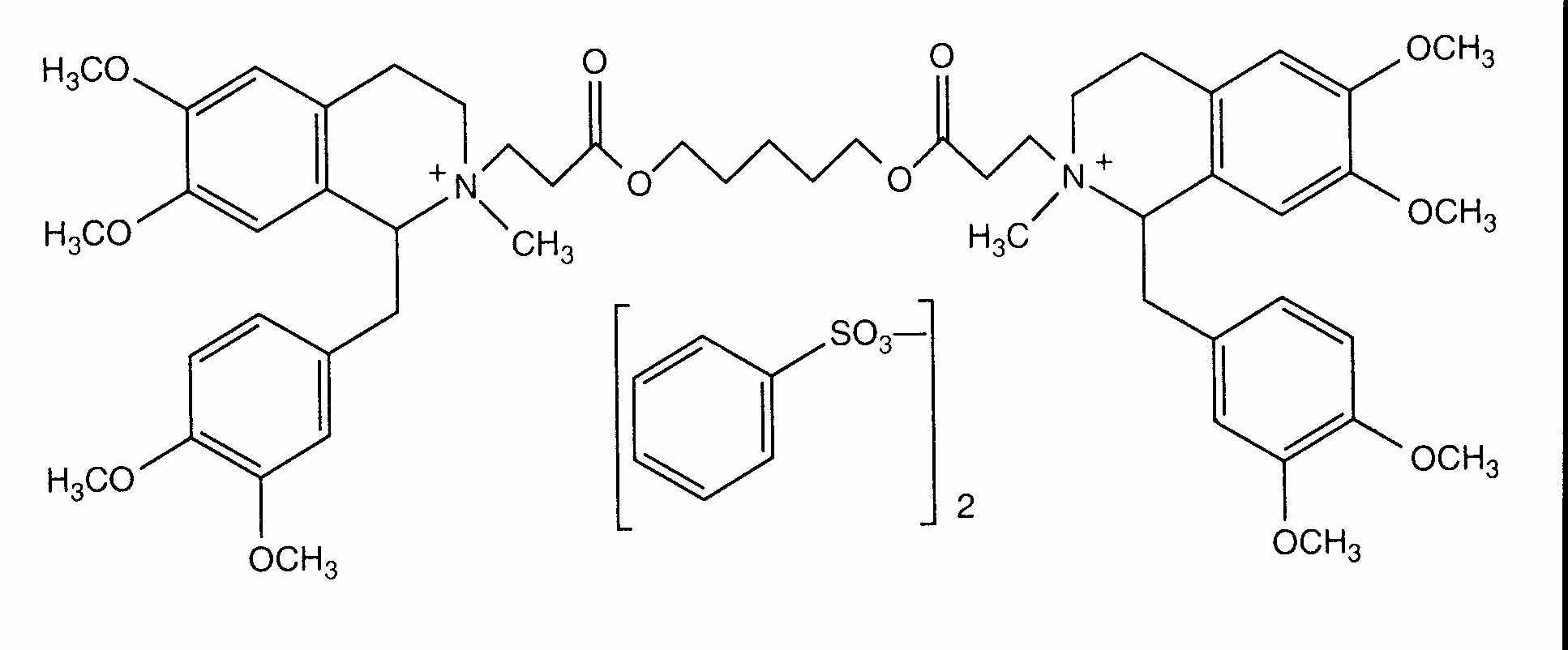
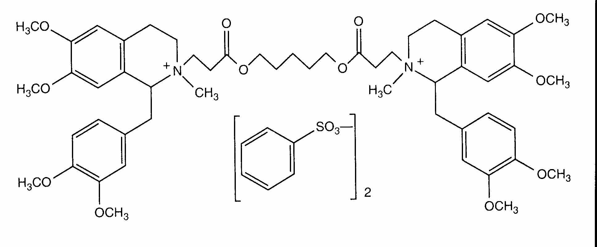
Curarimimetic   Atracurium besylate  
injection
Stability in solutions Stability of mixtures Factors which affect stability Compatibility Route of administration References pdf
   Chemical structure  

Tradename   Tradename     

Trade names are indicative and excipients composition can be different depending on the country and manufacturers

Abbocurium Poland
Acurmil Italy
Ancour Iran
Anecur Iran
Atacur Saudi Arabia
Atrabesylate Egypt
Atracurio Argentina, Brazil, Spain
Atracurio besilato Chile, Italy, Peru, Venezuela
Atracurium Argentina, Austria, Egypt, Germany, Great Britain, Iran, Italy, Malaysia, Saudi Arabia, Sweden, United Arab Emirates
Atracurium besilat Austria
Atracurium besilate Australia, Canada, Egypt, Iran, New Zealand, Saudi Arabia, United Arab Emirates, United States of America
Atralex Malaysia
Atrasyl Turkey
Besilato Atracurio Chile, Portugal, Spain
Faulcurium Egypt, Portugal
Gelolagar Argentina
Laurak Spain
Neucurium Turkey
Notrixum Turkey
Relactrac Colombia
Relatrac Mexico
Tracrium Austria, Belgium, Chile, Colombia, Ecuador, Egypt, France, Germany, Great Britain, Greece, Hungary, Iran, Ireland, Italy, Luxembourg, Malaysia, Mexico, Morocco, Netherlands, New Zealand, Poland, Portugal, Romania, Saudi Arabia, Slovenia, Spain, Switzerland, Turkey, United Arab Emirates, United States of America
Tracumek Peru
Tracurix Argentina
Tracuron Argentina
Compatibility   injection   Compatibility : Atracurium besylate              
This screen indicates the compatibilities or incompatibilities with, in this case, the type of incompatibility (precipitation, color change, modification of an emulsion, etc.). The compatibilities shown here are mostly physical only, with the chemical stability of each molecule rarely being assessed. The evaluation of these mixtures was studied to consider the possibility of Y-site administration to the patient. These data cannot be used for making mixtures in advance in bags or syringes. This type of information is available in the screen "Stability in mixture ».
Compound Solvent References
Unspecified incompatibility Incompatible
injection Atracurium besylate
injection Amobarbital sodium
3676
Incompatible
injection Atracurium besylate 0.5 mg/ml
Ringer’s lactate solution 1093
Compatible
injection Atracurium besylate 0.5 mg/ml
injection Aminophylline 1 mg/ml
Glucose 5% 402
Compatible
injection Atracurium besylate 5 mg/ml
injection Amiodarone hydrochloride 6 mg/ml
Glucose 5% 1611
Compatible
injection Atracurium besylate 0.5 mg/ml
injection Cefazolin sodium 10 mg/ml
Glucose 5% 402
Compatible
injection Atracurium besylate
Glucose 5% 3629
Compatible
injection Atracurium besylate 0.5 mg/ml
injection Cefuroxime sodium 7.5 mg/ml
Glucose 5% 402
Compatible
injection Atracurium besylate 0.5 mg/ml
injection Co-trimoxazole 3.2/0.64 mg/ml
Glucose 5% 402
Immediate precipitation Incompatible
injection Atracurium besylate 0.5 mg/ml
injection Diazepam 5 mg/ml
Glucose 5% 402
Immediate precipitation Incompatible
injection Atracurium besylate
injection Diclofenac
1647
Compatible
injection Atracurium besylate 0.5 mg/ml
injection Dopamine hydrochloride 1.6 mg/ml
Glucose 5% 402
Unspecified incompatibility Incompatible
injection Atracurium besylate
NaHCO3 3676
Compatible
injection Atracurium besylate 0.5 mg/ml
injection Cimetidine hydrochloride 6 mg/ml
Glucose 5% 402
Compatible
injection Atracurium besylate
injection Dexmedetomidine
5042
Compatible
injection Atracurium besylate 0.5 mg/ml
injection Dobutamine hydrochloride 1 mg/ml
Glucose 5% 402
Unspecified incompatibility Incompatible
injection Atracurium besylate
NaHCO3 3629
Compatible
injection Atracurium besylate 2 mg/ml
injection Ciprofloxacin lactate 2 mg/ml
Glucose 5% 285
Compatible
injection Atracurium besylate 0.5 mg/ml
injection Epinephrine hydrochloride 4 µg/ml
Glucose 5% 402
Compatible
injection Atracurium besylate 0.5 mg/ml
injection Esmolol hydrochloride 10 mg/ml
Glucose 5% 402
Compatible
injection Atracurium besylate 10 mg/ml
Parenteral nutrition (binary mixture) 939
Compatible
injection Atracurium besylate 10 mg/ml
injection Etomidate 2 mg/ml
None 319
Compatible
injection Atracurium besylate 0.5 mg/ml
injection Fenoldopam mesylate 80 µg/ml
Sodium chloride 0,9% 1803
Compatible
injection Atracurium besylate 0.5 mg/ml
injection Fentanyl citrate 10 µg/ml
Glucose 5% 402
Compatible
injection Atracurium besylate 0.5 mg/ml
injection Gentamicin sulfate 2 mg/ml
Glucose 5% 402
Compatible
injection Atracurium besylate 0.5 mg/ml
injection Heparin sodium 40 UI/ml
Glucose 5% 402
Compatible
injection Atracurium besylate 0.5 mg/ml
injection Hetastarch 60 mg/ml
specific solvent 1721
Compatible
injection Atracurium besylate 0.5 mg/ml
injection Hydrocortisone sodium succinate 1 mg/ml
Glucose 5% 402
Compatible
injection Atracurium besylate 0.5 mg/ml
injection Isoprenaline hydrochloride 0.004 mg/ml
Glucose 5% 402
Compatible
injection Atracurium besylate 0.5 mg/ml
injection Lorazepam 0.5 mg/ml
Glucose 5% 402
Unspecified incompatibility Incompatible
injection Atracurium besylate
injection Methohexital sodium
3676
Compatible
injection Atracurium besylate 1 & 5 mg/ml
injection Midazolam hydrochloride 0.1 & 0.5 mg/ml
Glucose 5% 865
Compatible
injection Atracurium besylate 0.5 mg/ml
injection Midazolam hydrochloride 0.05 mg/ml
Glucose 5% 402
Compatible
injection Atracurium besylate 2 mg/ml
injection Milrinone lactate 0.8 mg/ml
Glucose 5% 813
Compatible
injection Atracurium besylate 0.5 mg/ml
injection Morphine sulfate 1 mg/ml
Glucose 5% 402
Compatible
injection Atracurium besylate 0.5 mg/ml
injection Nitroglycerin 0.4 mg/ml
Glucose 5% 402
Compatible
injection Atracurium besylate 0.5 mg/ml
injection Nitroprusside sodium 0.2 mg/ml
Glucose 5% 402
Unspecified incompatibility Incompatible
injection Atracurium besylate
injection Pentobarbital sodium
3676
Unspecified incompatibility Incompatible
injection Atracurium besylate
injection Phenobarbital sodium
3676
Immediate instability of the emulsion Incompatible
injection Atracurium besylate 10 mg/ml
injection Propofol 10 mg/ml
None 300
Instability of the emulsion after 1 hour Incompatible
injection Atracurium besylate 10 mg/ml
injection Propofol
660
Unspecified incompatibility Incompatible
injection Atracurium besylate
injection Propofol
3659
Compatible
injection Atracurium besylate 10 mg/ml
injection Propofol 2 mg/ml
None 319
Unspecified incompatibility Incompatible
injection Atracurium besylate
injection Propofol
3502
Compatible
injection Atracurium besylate 0.5 mg/ml
injection Ranitidine hydrochloride 0.5 mg/ml
Glucose 5% 402
Unspecified incompatibility Incompatible
injection Atracurium besylate
injection Sodium bicarbonate
3629
Unspecified incompatibility Incompatible
injection Atracurium besylate
injection Sodium bicarbonate
3676
Immediate precipitation Incompatible
injection Atracurium besylate
injection Thiopental sodium
3373
Unspecified incompatibility Incompatible
injection Atracurium besylate
injection Thiopental sodium
3629
Unspecified incompatibility Incompatible
injection Atracurium besylate
injection Thiopental sodium
3676
Compatible
injection Atracurium besylate 0.2 mg/ml
injection Valproic acid 2 & 20 mg/ml
Sodium chloride 0,9% 4428
Compatible
injection Atracurium besylate
Sodium chloride 0,9% 3629
Immediate turbidity Incompatible
injection Atracurium besylate 10 mg/ml
injection Thiopental sodium 25 mg/ml
Water for Injection 319
Compatible
injection Atracurium besylate 0.2 mg/ml
injection Valproic acid 2 & 20 mg/ml
Glucose 5% 4428
Compatible
injection Atracurium besylate 0.5 mg/ml
injection Vancomycin hydrochloride 5 mg/ml
Glucose 5% 402

  Mentions Légales