Última actualización :
18/03/2026
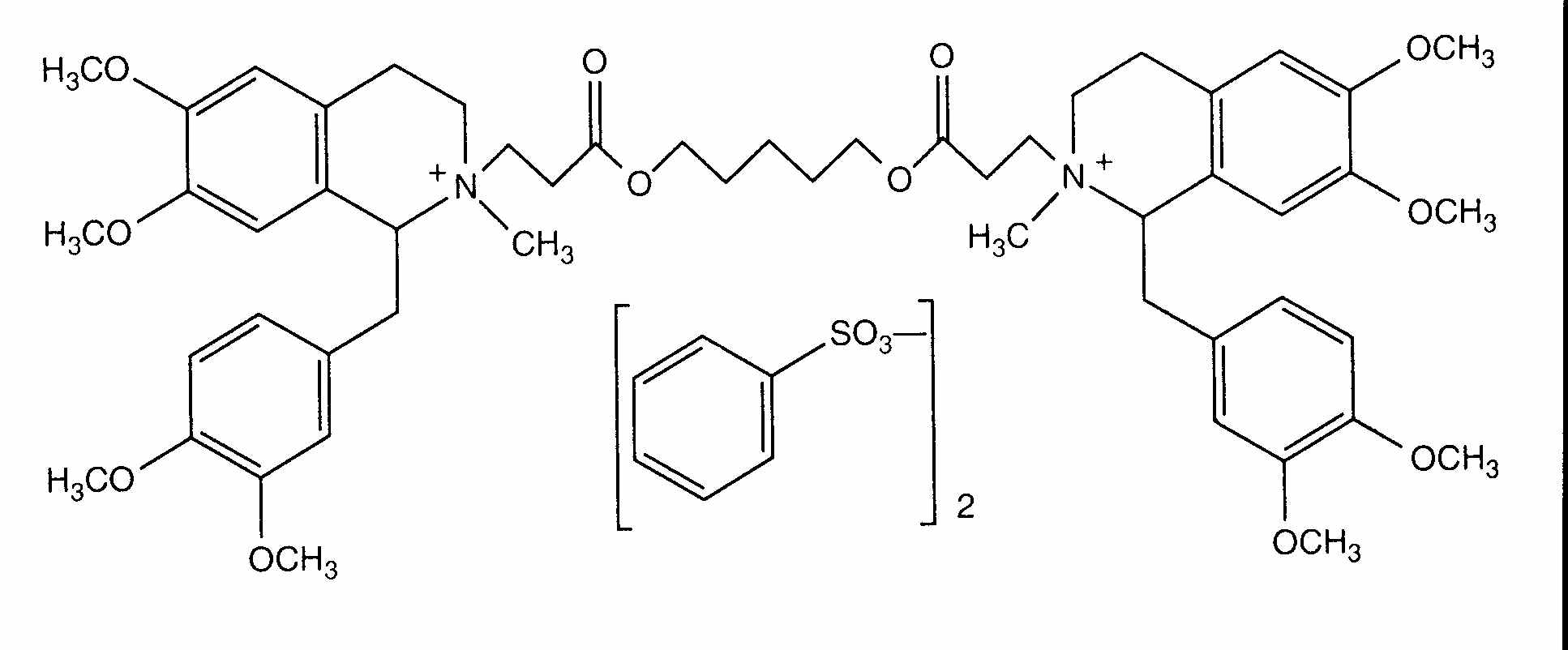
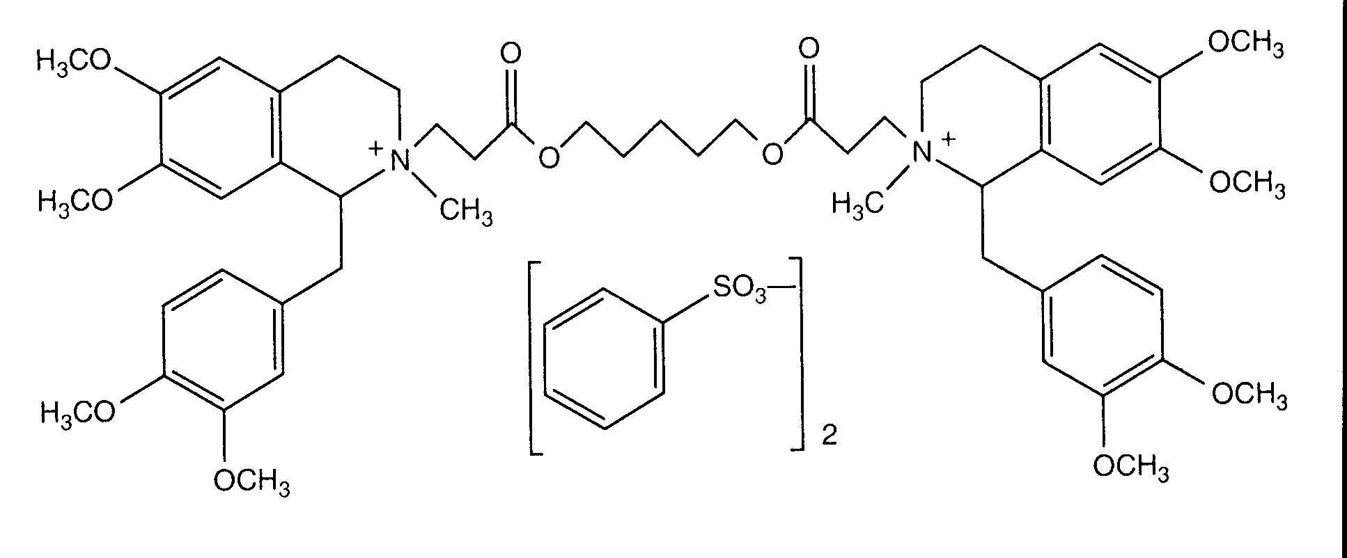
Curarizante   Atracurium besylate  
Inyectables
Estabilidad en solucion Estabilidad en mezcla Factores que influyen sobre la estabilidad Compatibilidades método de inyección Bibliografía pdf
   Estructura química  

Nombre comercial   Nombre comercial     

Los nombres comerciales son orientativos y los excipientes de la formulación pueden ser distintos dependiendo del país y del laboratorio fabricante.

Abbocurium Polonia
Acurmil Italia
Ancour Irán
Anecur Irán
Atacur Arabia Saudita
Atrabesylate Egipto
Atracurio Argentina, Brasil, España
Atracurio besilato Chile, Italia, Marruecos, Venezuela
Atracurium Alemania, Arabia Saudita, Argentina, Austria, Egipto, Emiratos Árabes Unidos, Gran Bretaña, Irán, Italia, Malasia, Suecia
Atracurium besilat Austria
Atracurium besilate Arabia Saudita, Australia, Canadá, Egipto, Emiratos Árabes Unidos, Estados Unidos de América, Irán, Nueva Zelanda
Atralex Malasia
Atrasyl Turquía
Besilato Atracurio Chile, España, Portugal
Faulcurium Egipto, Portugal
Gelolagar Argentina
Laurak España
Neucurium Turquía
Notrixum Turquía
Relactrac Colombia
Relatrac México
Tracrium Alemania, Arabia Saudita, Austria, Bélgica, Chile, Colombia, Ecuador, Egipto, Emiratos Árabes Unidos, Eslovenia, España, Estados Unidos de América, Francia, Gran Bretaña, Grecia, Hungría, Irán, Irlanda, Italia, Luxemburgo, Malasia, Marruecos, México, Nueva Zelanda, Países Bajos, Polonia, Portugal, Rumania, Suiza, Turquía
Tracumek Marruecos
Tracurix Argentina
Tracuron Argentina
Compatibilidades   Inyectables   Compatibilidades : Atracurium besylate              
Esta pantalla muestra las compatibilidades o incompatibilidades, así como el tipo de incompatibilidad (precipitación, cambio de color, modificación de una emulsión, etc). Las compatibilidades que se recogen aquí son fundamentalmente físicas, mostrando raramente la estabilidad química de la molécula. La evaluación de estas mezclas se estudió con el fin de de comprobar la posibilidad de administración en Y al paciente. Estos datos no pueden utilizarse en el caso de la preparación de mezclas dentro de bolsas o jeringas. Este tipo de información está disponible en la pantalla “Estabilidad en mezcla”.
Molécula Solvente Bibliografía
Incompatibilidad no especificada Incompatible
Inyectables Atracurium besylate
Inyectables Amobarbital sodium
3676
Incompatible
Inyectables Atracurium besylate 0.5 mg/ml
Ringer lactato 1093
Compatible
Inyectables Atracurium besylate 0.5 mg/ml
Inyectables Aminophylline 1 mg/ml
Glucosa 5% 402
Compatible
Inyectables Atracurium besylate 5 mg/ml
Inyectables Amiodarone hydrochloride 6 mg/ml
Glucosa 5% 1611
Compatible
Inyectables Atracurium besylate 0.5 mg/ml
Inyectables Cefazolin sodium 10 mg/ml
Glucosa 5% 402
Compatible
Inyectables Atracurium besylate
Glucosa 5% 3629
Compatible
Inyectables Atracurium besylate 0.5 mg/ml
Inyectables Cefuroxime sodium 7.5 mg/ml
Glucosa 5% 402
Compatible
Inyectables Atracurium besylate 0.5 mg/ml
Inyectables Co-trimoxazole 3.2/0.64 mg/ml
Glucosa 5% 402
Precipitación inmediata Incompatible
Inyectables Atracurium besylate 0.5 mg/ml
Inyectables Diazepam 5 mg/ml
Glucosa 5% 402
Precipitación inmediata Incompatible
Inyectables Atracurium besylate
Inyectables Diclofenac
1647
Compatible
Inyectables Atracurium besylate 0.5 mg/ml
Inyectables Dopamine hydrochloride 1.6 mg/ml
Glucosa 5% 402
Incompatibilidad no especificada Incompatible
Inyectables Atracurium besylate
NaHCO3 3676
Compatible
Inyectables Atracurium besylate 0.5 mg/ml
Inyectables Cimetidine hydrochloride 6 mg/ml
Glucosa 5% 402
Compatible
Inyectables Atracurium besylate
Inyectables Dexmedetomidine
5042
Compatible
Inyectables Atracurium besylate 0.5 mg/ml
Inyectables Dobutamine hydrochloride 1 mg/ml
Glucosa 5% 402
Incompatibilidad no especificada Incompatible
Inyectables Atracurium besylate
NaHCO3 3629
Compatible
Inyectables Atracurium besylate 2 mg/ml
Inyectables Ciprofloxacin lactate 2 mg/ml
Glucosa 5% 285
Compatible
Inyectables Atracurium besylate 0.5 mg/ml
Inyectables Epinephrine hydrochloride 4 µg/ml
Glucosa 5% 402
Compatible
Inyectables Atracurium besylate 0.5 mg/ml
Inyectables Esmolol hydrochloride 10 mg/ml
Glucosa 5% 402
Compatible
Inyectables Atracurium besylate 10 mg/ml
Nutrición parenteral (libre de lípidos) 939
Compatible
Inyectables Atracurium besylate 10 mg/ml
Inyectables Etomidate 2 mg/ml
Ninguno 319
Compatible
Inyectables Atracurium besylate 0.5 mg/ml
Inyectables Fenoldopam mesylate 80 µg/ml
Cloruro de sodio 0,9% 1803
Compatible
Inyectables Atracurium besylate 0.5 mg/ml
Inyectables Fentanyl citrate 10 µg/ml
Glucosa 5% 402
Compatible
Inyectables Atracurium besylate 0.5 mg/ml
Inyectables Gentamicin sulfate 2 mg/ml
Glucosa 5% 402
Compatible
Inyectables Atracurium besylate 0.5 mg/ml
Inyectables Heparin sodium 40 UI/ml
Glucosa 5% 402
Compatible
Inyectables Atracurium besylate 0.5 mg/ml
Inyectables Hetastarch 60 mg/ml
específico disolvente 1721
Compatible
Inyectables Atracurium besylate 0.5 mg/ml
Inyectables Hydrocortisone sodium succinate 1 mg/ml
Glucosa 5% 402
Compatible
Inyectables Atracurium besylate 0.5 mg/ml
Inyectables Isoprenaline hydrochloride 0.004 mg/ml
Glucosa 5% 402
Compatible
Inyectables Atracurium besylate 0.5 mg/ml
Inyectables Lorazepam 0.5 mg/ml
Glucosa 5% 402
Incompatibilidad no especificada Incompatible
Inyectables Atracurium besylate
Inyectables Methohexital sodium
3676
Compatible
Inyectables Atracurium besylate 1 & 5 mg/ml
Inyectables Midazolam hydrochloride 0.1 & 0.5 mg/ml
Glucosa 5% 865
Compatible
Inyectables Atracurium besylate 0.5 mg/ml
Inyectables Midazolam hydrochloride 0.05 mg/ml
Glucosa 5% 402
Compatible
Inyectables Atracurium besylate 2 mg/ml
Inyectables Milrinone lactate 0.8 mg/ml
Glucosa 5% 813
Compatible
Inyectables Atracurium besylate 0.5 mg/ml
Inyectables Morphine sulfate 1 mg/ml
Glucosa 5% 402
Compatible
Inyectables Atracurium besylate 0.5 mg/ml
Inyectables Nitroglycerin 0.4 mg/ml
Glucosa 5% 402
Compatible
Inyectables Atracurium besylate 0.5 mg/ml
Inyectables Nitroprusside sodium 0.2 mg/ml
Glucosa 5% 402
Incompatibilidad no especificada Incompatible
Inyectables Atracurium besylate
Inyectables Pentobarbital sodium
3676
Incompatibilidad no especificada Incompatible
Inyectables Atracurium besylate
Inyectables Phenobarbital sodium
3676
Inestabilidad inmediata de la emulsión Incompatible
Inyectables Atracurium besylate 10 mg/ml
Inyectables Propofol 10 mg/ml
Ninguno 300
Inestabilidad de la emulsión después de 1 hora. Incompatible
Inyectables Atracurium besylate 10 mg/ml
Inyectables Propofol
660
Incompatibilidad no especificada Incompatible
Inyectables Atracurium besylate
Inyectables Propofol
3659
Compatible
Inyectables Atracurium besylate 10 mg/ml
Inyectables Propofol 2 mg/ml
Ninguno 319
Incompatibilidad no especificada Incompatible
Inyectables Atracurium besylate
Inyectables Propofol
3502
Compatible
Inyectables Atracurium besylate 0.5 mg/ml
Inyectables Ranitidine hydrochloride 0.5 mg/ml
Glucosa 5% 402
Incompatibilidad no especificada Incompatible
Inyectables Atracurium besylate
Inyectables Sodium bicarbonate
3629
Incompatibilidad no especificada Incompatible
Inyectables Atracurium besylate
Inyectables Sodium bicarbonate
3676
Precipitación inmediata Incompatible
Inyectables Atracurium besylate
Inyectables Thiopental sodium
3373
Incompatibilidad no especificada Incompatible
Inyectables Atracurium besylate
Inyectables Thiopental sodium
3629
Incompatibilidad no especificada Incompatible
Inyectables Atracurium besylate
Inyectables Thiopental sodium
3676
Compatible
Inyectables Atracurium besylate 0.2 mg/ml
Inyectables Valproic acid 2 & 20 mg/ml
Cloruro de sodio 0,9% 4428
Compatible
Inyectables Atracurium besylate
Cloruro de sodio 0,9% 3629
Turbidez inmediata Incompatible
Inyectables Atracurium besylate 10 mg/ml
Inyectables Thiopental sodium 25 mg/ml
Agua para preparación inyectable 319
Compatible
Inyectables Atracurium besylate 0.2 mg/ml
Inyectables Valproic acid 2 & 20 mg/ml
Glucosa 5% 4428
Compatible
Inyectables Atracurium besylate 0.5 mg/ml
Inyectables Vancomycin hydrochloride 5 mg/ml
Glucosa 5% 402

  Mentions Légales