Poslední aktualizace :
18/03/2026
Kurarimimetikas   Atracurium besylate  
Įpurškimas
Tirpalų stabilumas Mišinių stabilumas Stabilumą lemiantys veiksniai Suderinamumas Leidimo būdai Bibliografija pdf
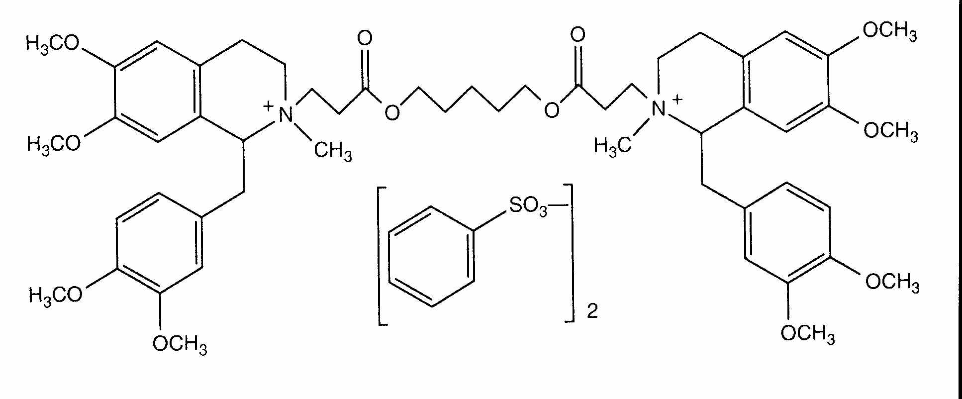
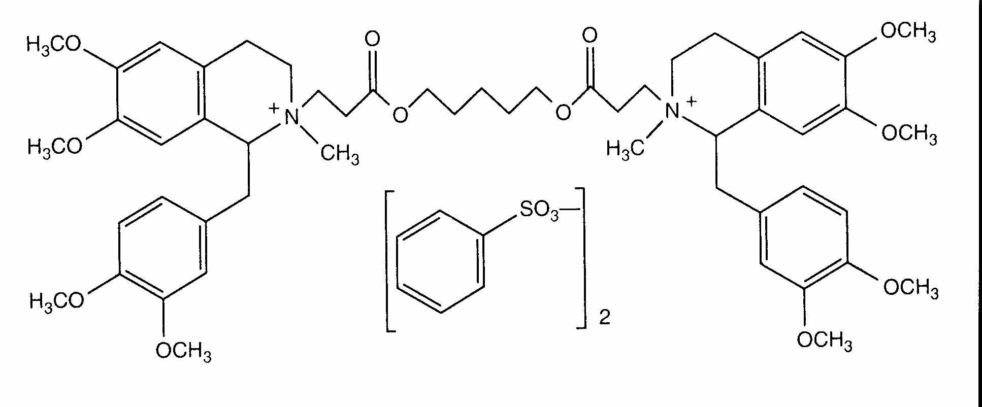
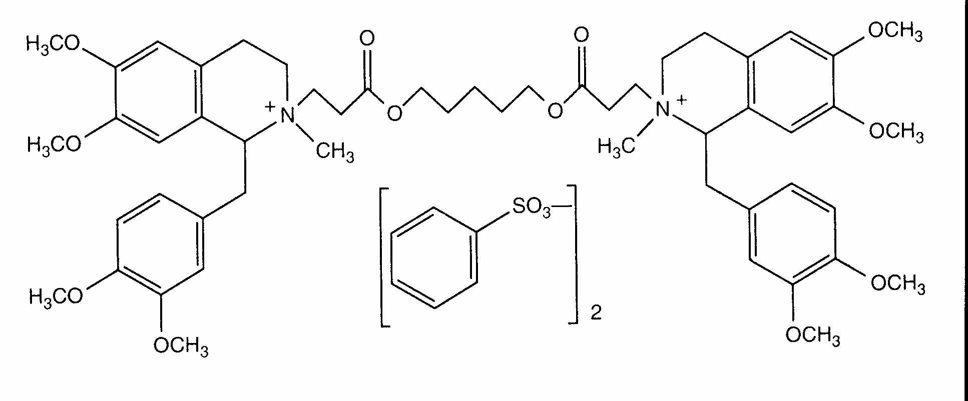
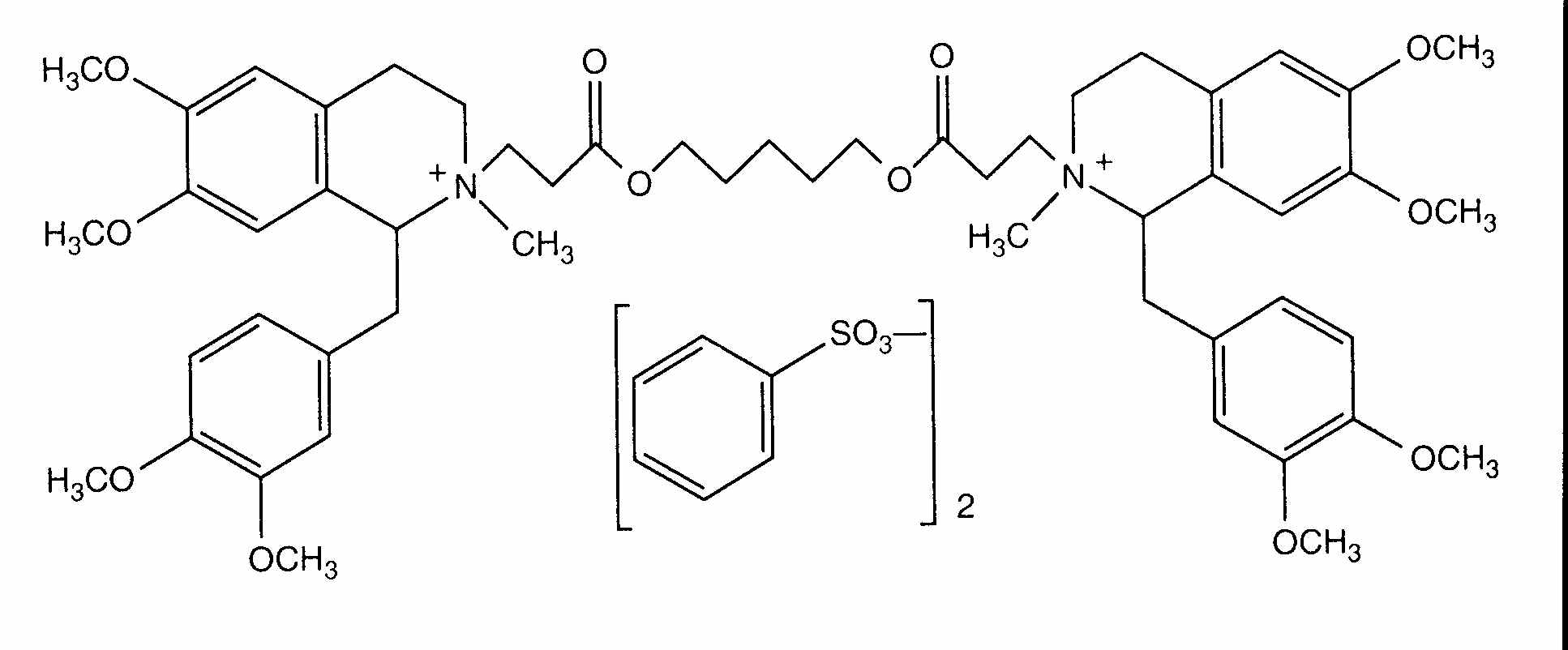
   Cheminė sandara  

Prekinis pavadinimas   Prekinis pavadinimas     

Trade names are indicative and excipients composition can be different depending on the country and manufacturers

Abbocurium Lenkija
Acurmil Italija
Ancour Iranas
Anecur Iranas
Atacur Saudo Arabija
Atrabesylate Egiptas
Atracurio Argentina, Brazilija, Ispanija
Atracurio besilato Čilė, Italija, Peru, Venesuela
Atracurium Argentina, Austrija, Didžioji Britanija, Egiptas, Iranas, Italija, Jungtiniai Arabų Emyratai, Malaizija, Saudo Arabija, Švedija, Vokietija
Atracurium besilat Austrija
Atracurium besilate Australija, Egiptas, Iranas, Jungtinės Amerikos Valstijos, Jungtiniai Arabų Emyratai, Kanada, Naujojoje Zelandijoje, Saudo Arabija
Atralex Malaizija
Atrasyl Turkija
Besilato Atracurio Čilė, Ispanija, Portugalija
Faulcurium Egiptas, Portugalija
Gelolagar Argentina
Laurak Ispanija
Neucurium Turkija
Notrixum Turkija
Relactrac Kolumbija
Relatrac Meksikas
Tracrium Airija, Austrija, Belgija, Čilė, Didžioji Britanija, Egiptas, Ekvadoras, Graikija, Iranas, Ispanija, Italija, Jungtinės Amerikos Valstijos, Jungtiniai Arabų Emyratai, Kolumbija, Lenkija, Liuksemburgas, Malaizija, Marokas, Meksikas, Naujojoje Zelandijoje, Olandija, Portugalija, Prancūzija, Rumunija, Saudo Arabija, Slovėnija, Šveicarija, Turkija, Vengrija, Vokietija
Tracumek Peru
Tracurix Argentina
Tracuron Argentina
Suderinamumas   Įpurškimas   Suderinamumas : Atracurium besylate              
explication_incompatibilite_molecules
Molekulė Tirpiklis Nuorodos
Nepatikslintas nesuderinamumas Nesuderinamas
Įpurškimas Atracurium besylate
Įpurškimas Amobarbital sodium
3676
Nesuderinamas
Įpurškimas Atracurium besylate 0.5 mg/ml
Ringerio laktato tirpalas 1093
Suderinamas
Įpurškimas Atracurium besylate 0.5 mg/ml
Įpurškimas Aminophylline 1 mg/ml
Gliukozė 5% 402
Suderinamas
Įpurškimas Atracurium besylate 5 mg/ml
Įpurškimas Amiodarone hydrochloride 6 mg/ml
Gliukozė 5% 1611
Suderinamas
Įpurškimas Atracurium besylate 0.5 mg/ml
Įpurškimas Cefazolin sodium 10 mg/ml
Gliukozė 5% 402
Suderinamas
Įpurškimas Atracurium besylate
Gliukozė 5% 3629
Suderinamas
Įpurškimas Atracurium besylate 0.5 mg/ml
Įpurškimas Cefuroxime sodium 7.5 mg/ml
Gliukozė 5% 402
Suderinamas
Įpurškimas Atracurium besylate 0.5 mg/ml
Įpurškimas Co-trimoxazole 3.2/0.64 mg/ml
Gliukozė 5% 402
Nedelsiant krituliai Nesuderinamas
Įpurškimas Atracurium besylate 0.5 mg/ml
Įpurškimas Diazepam 5 mg/ml
Gliukozė 5% 402
Nedelsiant krituliai Nesuderinamas
Įpurškimas Atracurium besylate
Įpurškimas Diclofenac
1647
Suderinamas
Įpurškimas Atracurium besylate 0.5 mg/ml
Įpurškimas Dopamine hydrochloride 1.6 mg/ml
Gliukozė 5% 402
Nepatikslintas nesuderinamumas Nesuderinamas
Įpurškimas Atracurium besylate
NaHCO3 3676
Suderinamas
Įpurškimas Atracurium besylate 0.5 mg/ml
Įpurškimas Cimetidine hydrochloride 6 mg/ml
Gliukozė 5% 402
Suderinamas
Įpurškimas Atracurium besylate
Įpurškimas Dexmedetomidine
5042
Suderinamas
Įpurškimas Atracurium besylate 0.5 mg/ml
Įpurškimas Dobutamine hydrochloride 1 mg/ml
Gliukozė 5% 402
Nepatikslintas nesuderinamumas Nesuderinamas
Įpurškimas Atracurium besylate
NaHCO3 3629
Suderinamas
Įpurškimas Atracurium besylate 2 mg/ml
Įpurškimas Ciprofloxacin lactate 2 mg/ml
Gliukozė 5% 285
Suderinamas
Įpurškimas Atracurium besylate 0.5 mg/ml
Įpurškimas Epinephrine hydrochloride 4 µg/ml
Gliukozė 5% 402
Suderinamas
Įpurškimas Atracurium besylate 0.5 mg/ml
Įpurškimas Esmolol hydrochloride 10 mg/ml
Gliukozė 5% 402
Suderinamas
Įpurškimas Atracurium besylate 10 mg/ml
Parenterinis maitinimas (lipidų nemokamai) 939
Suderinamas
Įpurškimas Atracurium besylate 10 mg/ml
Įpurškimas Etomidate 2 mg/ml
Nėra 319
Suderinamas
Įpurškimas Atracurium besylate 0.5 mg/ml
Įpurškimas Fenoldopam mesylate 80 µg/ml
Natrio chloridas 0,9% 1803
Suderinamas
Įpurškimas Atracurium besylate 0.5 mg/ml
Įpurškimas Fentanyl citrate 10 µg/ml
Gliukozė 5% 402
Suderinamas
Įpurškimas Atracurium besylate 0.5 mg/ml
Įpurškimas Gentamicin sulfate 2 mg/ml
Gliukozė 5% 402
Suderinamas
Įpurškimas Atracurium besylate 0.5 mg/ml
Įpurškimas Heparin sodium 40 UI/ml
Gliukozė 5% 402
Suderinamas
Įpurškimas Atracurium besylate 0.5 mg/ml
Įpurškimas Hetastarch 60 mg/ml
specifinis tirpiklis 1721
Suderinamas
Įpurškimas Atracurium besylate 0.5 mg/ml
Įpurškimas Hydrocortisone sodium succinate 1 mg/ml
Gliukozė 5% 402
Suderinamas
Įpurškimas Atracurium besylate 0.5 mg/ml
Įpurškimas Isoprenaline hydrochloride 0.004 mg/ml
Gliukozė 5% 402
Suderinamas
Įpurškimas Atracurium besylate 0.5 mg/ml
Įpurškimas Lorazepam 0.5 mg/ml
Gliukozė 5% 402
Nepatikslintas nesuderinamumas Nesuderinamas
Įpurškimas Atracurium besylate
Įpurškimas Methohexital sodium
3676
Suderinamas
Įpurškimas Atracurium besylate 1 & 5 mg/ml
Įpurškimas Midazolam hydrochloride 0.1 & 0.5 mg/ml
Gliukozė 5% 865
Suderinamas
Įpurškimas Atracurium besylate 0.5 mg/ml
Įpurškimas Midazolam hydrochloride 0.05 mg/ml
Gliukozė 5% 402
Suderinamas
Įpurškimas Atracurium besylate 2 mg/ml
Įpurškimas Milrinone lactate 0.8 mg/ml
Gliukozė 5% 813
Suderinamas
Įpurškimas Atracurium besylate 0.5 mg/ml
Įpurškimas Morphine sulfate 1 mg/ml
Gliukozė 5% 402
Suderinamas
Įpurškimas Atracurium besylate 0.5 mg/ml
Įpurškimas Nitroglycerin 0.4 mg/ml
Gliukozė 5% 402
Suderinamas
Įpurškimas Atracurium besylate 0.5 mg/ml
Įpurškimas Nitroprusside sodium 0.2 mg/ml
Gliukozė 5% 402
Nepatikslintas nesuderinamumas Nesuderinamas
Įpurškimas Atracurium besylate
Įpurškimas Pentobarbital sodium
3676
Nepatikslintas nesuderinamumas Nesuderinamas
Įpurškimas Atracurium besylate
Įpurškimas Phenobarbital sodium
3676
Skubus emulsijos nestabilumas Nesuderinamas
Įpurškimas Atracurium besylate 10 mg/ml
Įpurškimas Propofol 10 mg/ml
Nėra 300
Emulsijos nestabilumas po 1 valandos Nesuderinamas
Įpurškimas Atracurium besylate 10 mg/ml
Įpurškimas Propofol
660
Nepatikslintas nesuderinamumas Nesuderinamas
Įpurškimas Atracurium besylate
Įpurškimas Propofol
3659
Suderinamas
Įpurškimas Atracurium besylate 10 mg/ml
Įpurškimas Propofol 2 mg/ml
Nėra 319
Nepatikslintas nesuderinamumas Nesuderinamas
Įpurškimas Atracurium besylate
Įpurškimas Propofol
3502
Suderinamas
Įpurškimas Atracurium besylate 0.5 mg/ml
Įpurškimas Ranitidine hydrochloride 0.5 mg/ml
Gliukozė 5% 402
Nepatikslintas nesuderinamumas Nesuderinamas
Įpurškimas Atracurium besylate
Įpurškimas Sodium bicarbonate
3629
Nepatikslintas nesuderinamumas Nesuderinamas
Įpurškimas Atracurium besylate
Įpurškimas Sodium bicarbonate
3676
Nedelsiant krituliai Nesuderinamas
Įpurškimas Atracurium besylate
Įpurškimas Thiopental sodium
3373
Nepatikslintas nesuderinamumas Nesuderinamas
Įpurškimas Atracurium besylate
Įpurškimas Thiopental sodium
3629
Nepatikslintas nesuderinamumas Nesuderinamas
Įpurškimas Atracurium besylate
Įpurškimas Thiopental sodium
3676
Suderinamas
Įpurškimas Atracurium besylate 0.2 mg/ml
Įpurškimas Valproic acid 2 & 20 mg/ml
Natrio chloridas 0,9% 4428
Suderinamas
Įpurškimas Atracurium besylate
Natrio chloridas 0,9% 3629
Tiesioginis drumstumas Nesuderinamas
Įpurškimas Atracurium besylate 10 mg/ml
Įpurškimas Thiopental sodium 25 mg/ml
Vanduo injekcijoms 319
Suderinamas
Įpurškimas Atracurium besylate 0.2 mg/ml
Įpurškimas Valproic acid 2 & 20 mg/ml
Gliukozė 5% 4428
Suderinamas
Įpurškimas Atracurium besylate 0.5 mg/ml
Įpurškimas Vancomycin hydrochloride 5 mg/ml
Gliukozė 5% 402

  Mentions Légales