Siste oppdatering :
18/03/2026
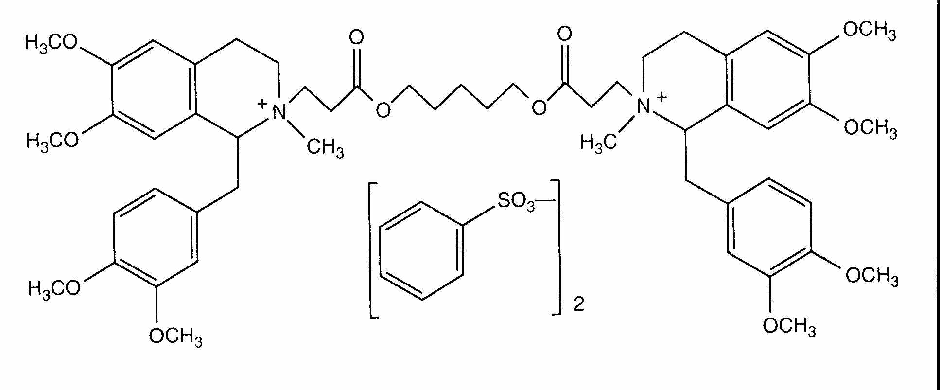
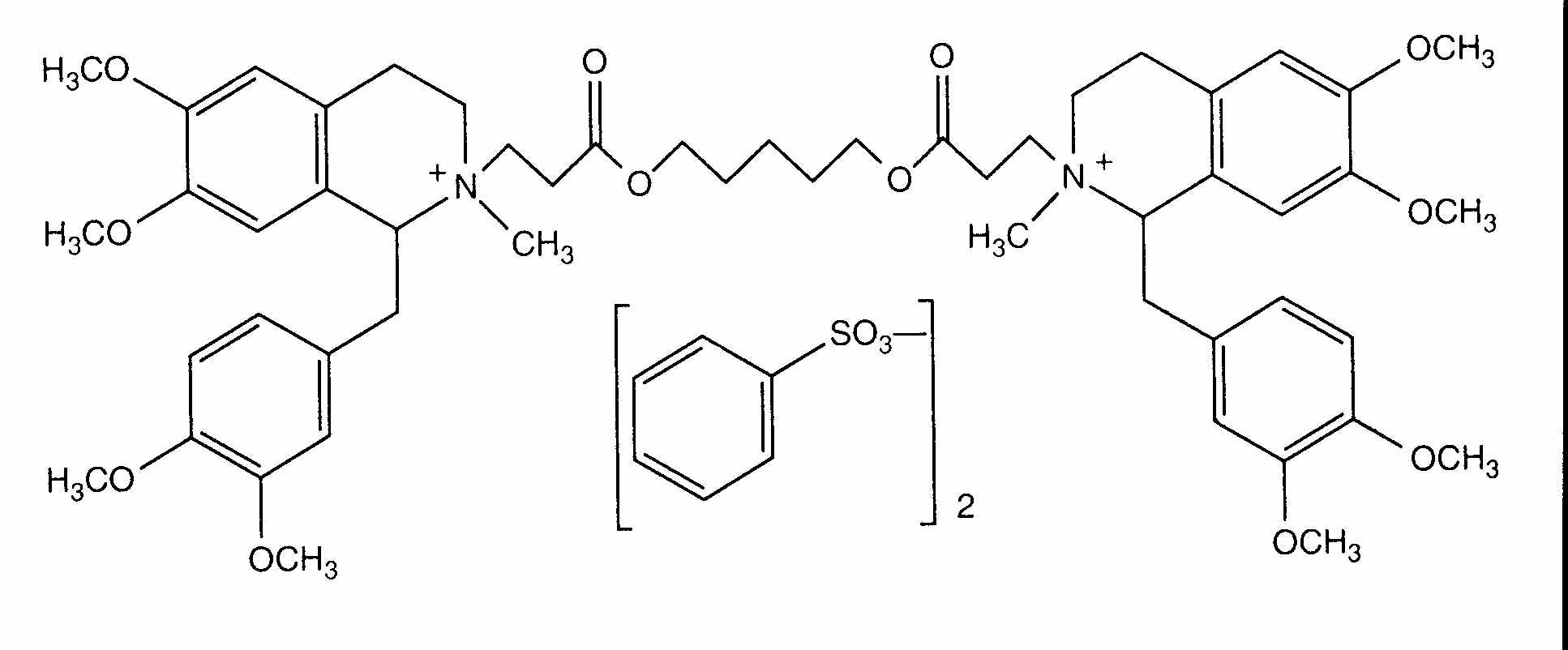
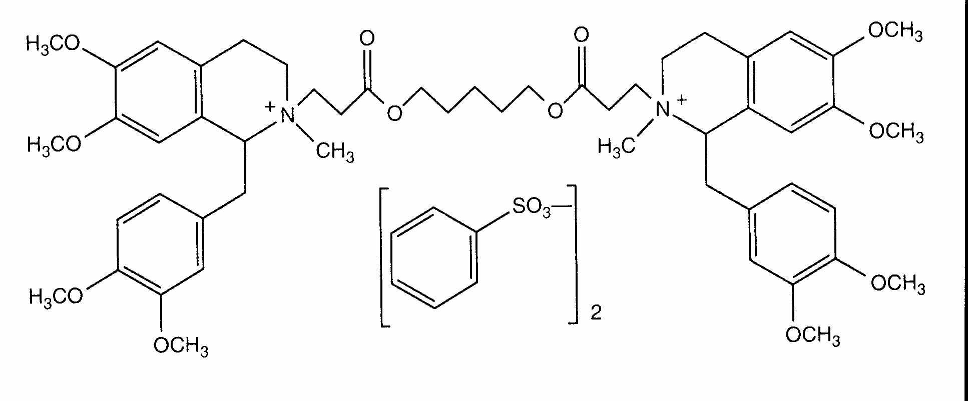
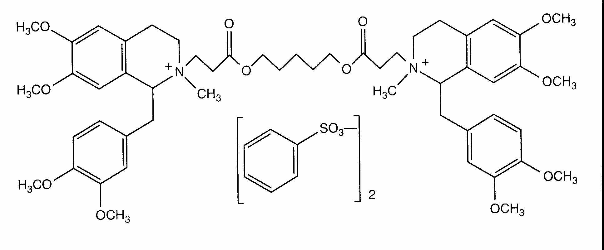
Kurarelignende middel   Atracurium besylate  
Injeksjon
Oppløsningsstabilitet Stabilitet i blandinger Faktorer som påvirker stabiliteten Kompatibilitet Administrasjonsmåte Referanser pdf
   Kjemisk struktur  

Handelsnavn   Handelsnavn     

Handelsnavn er veiledende og sammensetning av hjelpestoffer kan være forskjellig avhengig av land og produsent

Abbocurium Polen
Acurmil Italia
Ancour Iran
Anecur Iran
Atacur Saudi-Arabia
Atrabesylate Egypt
Atracurio Argentina, Brasil, Spania
Atracurio besilato Chile, Italia, Peru, Venezuela
Atracurium Argentina, De forente arabiske emirater, Egypt, Iran, Italia, Malaysia, Saudi-Arabia, Storbritannia, Sverige, Tyskland, Østerrike
Atracurium besilat Østerrike
Atracurium besilate Australia, Canada, De forente arabiske emirater, Egypt, Iran, New Zealand, Saudi-Arabia, USA
Atralex Malaysia
Atrasyl Tyrkia
Besilato Atracurio Chile, Portugal, Spania
Faulcurium Egypt, Portugal
Gelolagar Argentina
Laurak Spania
Neucurium Tyrkia
Notrixum Tyrkia
Relactrac Colombia
Relatrac Mexico
Tracrium Belgia, Chile, Colombia, De forente arabiske emirater, Ecuador, Egypt, Frankrike, Hellas, Iran, Irland, Italia, Luxembourg, Malaysia, Marokko, Mexico, Nederland, New Zealand, Polen, Portugal, Romania, Saudi-Arabia, Slovenia, Spania, Storbritannia, Sveits, Tyrkia, Tyskland, Ungarn, USA, Østerrike
Tracumek Peru
Tracurix Argentina
Tracuron Argentina
Kompatibilitet   Injeksjon   Kompatibilitet : Atracurium besylate              
Dette skjermbildet viser kompatibilitet eller inkompatibilitet med, i dette tilfellet, typen inkompatibilitet (nedbør, fargeendring, modifisering av en emulsjon, etc.). Kompatibilitetene som er vist her, er for det meste bare fysiske, og den kjemiske stabiliteten til hvert molekyl blir sjelden vurdert. Evalueringen av disse blandingene ble studert for å vurdere muligheten for Y-stedadministrasjon til pasienten. Disse dataene kan ikke brukes til å lage blandinger på forhånd i poser eller sprøyter. Denne typen informasjon er tilgjengelig på skjermen "Stabilitet i blanding".
Legemiddel Oppløsningsmiddel Referanser
Uspesifisert inkompatibilitet Uforenlig
Injeksjon Atracurium besylate
Injeksjon Amobarbital sodium
3676
Uforenlig
Injeksjon Atracurium besylate 0.5 mg/ml
Ringers laktatoppløsning 1093
Kompatibel
Injeksjon Atracurium besylate 0.5 mg/ml
Injeksjon Aminophylline 1 mg/ml
Glukose 5 % 402
Kompatibel
Injeksjon Atracurium besylate 5 mg/ml
Injeksjon Amiodarone hydrochloride 6 mg/ml
Glukose 5 % 1611
Kompatibel
Injeksjon Atracurium besylate 0.5 mg/ml
Injeksjon Cefazolin sodium 10 mg/ml
Glukose 5 % 402
Kompatibel
Injeksjon Atracurium besylate
Glukose 5 % 3629
Kompatibel
Injeksjon Atracurium besylate 0.5 mg/ml
Injeksjon Cefuroxime sodium 7.5 mg/ml
Glukose 5 % 402
Kompatibel
Injeksjon Atracurium besylate 0.5 mg/ml
Injeksjon Co-trimoxazole 3.2/0.64 mg/ml
Glukose 5 % 402
Umiddelbar nedbør Uforenlig
Injeksjon Atracurium besylate 0.5 mg/ml
Injeksjon Diazepam 5 mg/ml
Glukose 5 % 402
Umiddelbar nedbør Uforenlig
Injeksjon Atracurium besylate
Injeksjon Diclofenac
1647
Kompatibel
Injeksjon Atracurium besylate 0.5 mg/ml
Injeksjon Dopamine hydrochloride 1.6 mg/ml
Glukose 5 % 402
Uspesifisert inkompatibilitet Uforenlig
Injeksjon Atracurium besylate
NaHCO3 3676
Kompatibel
Injeksjon Atracurium besylate 0.5 mg/ml
Injeksjon Cimetidine hydrochloride 6 mg/ml
Glukose 5 % 402
Kompatibel
Injeksjon Atracurium besylate
Injeksjon Dexmedetomidine
5042
Kompatibel
Injeksjon Atracurium besylate 0.5 mg/ml
Injeksjon Dobutamine hydrochloride 1 mg/ml
Glukose 5 % 402
Uspesifisert inkompatibilitet Uforenlig
Injeksjon Atracurium besylate
NaHCO3 3629
Kompatibel
Injeksjon Atracurium besylate 2 mg/ml
Injeksjon Ciprofloxacin lactate 2 mg/ml
Glukose 5 % 285
Kompatibel
Injeksjon Atracurium besylate 0.5 mg/ml
Injeksjon Epinephrine hydrochloride 4 µg/ml
Glukose 5 % 402
Kompatibel
Injeksjon Atracurium besylate 0.5 mg/ml
Injeksjon Esmolol hydrochloride 10 mg/ml
Glukose 5 % 402
Kompatibel
Injeksjon Atracurium besylate 10 mg/ml
Parenteral ernæring(lipid-free) 939
Kompatibel
Injeksjon Atracurium besylate 10 mg/ml
Injeksjon Etomidate 2 mg/ml
Ingen 319
Kompatibel
Injeksjon Atracurium besylate 0.5 mg/ml
Injeksjon Fenoldopam mesylate 80 µg/ml
Natriumklorid 0,9 % 1803
Kompatibel
Injeksjon Atracurium besylate 0.5 mg/ml
Injeksjon Fentanyl citrate 10 µg/ml
Glukose 5 % 402
Kompatibel
Injeksjon Atracurium besylate 0.5 mg/ml
Injeksjon Gentamicin sulfate 2 mg/ml
Glukose 5 % 402
Kompatibel
Injeksjon Atracurium besylate 0.5 mg/ml
Injeksjon Heparin sodium 40 UI/ml
Glukose 5 % 402
Kompatibel
Injeksjon Atracurium besylate 0.5 mg/ml
Injeksjon Hetastarch 60 mg/ml
spesifikk løsemiddel 1721
Kompatibel
Injeksjon Atracurium besylate 0.5 mg/ml
Injeksjon Hydrocortisone sodium succinate 1 mg/ml
Glukose 5 % 402
Kompatibel
Injeksjon Atracurium besylate 0.5 mg/ml
Injeksjon Isoprenaline hydrochloride 0.004 mg/ml
Glukose 5 % 402
Kompatibel
Injeksjon Atracurium besylate 0.5 mg/ml
Injeksjon Lorazepam 0.5 mg/ml
Glukose 5 % 402
Uspesifisert inkompatibilitet Uforenlig
Injeksjon Atracurium besylate
Injeksjon Methohexital sodium
3676
Kompatibel
Injeksjon Atracurium besylate 1 & 5 mg/ml
Injeksjon Midazolam hydrochloride 0.1 & 0.5 mg/ml
Glukose 5 % 865
Kompatibel
Injeksjon Atracurium besylate 0.5 mg/ml
Injeksjon Midazolam hydrochloride 0.05 mg/ml
Glukose 5 % 402
Kompatibel
Injeksjon Atracurium besylate 2 mg/ml
Injeksjon Milrinone lactate 0.8 mg/ml
Glukose 5 % 813
Kompatibel
Injeksjon Atracurium besylate 0.5 mg/ml
Injeksjon Morphine sulfate 1 mg/ml
Glukose 5 % 402
Kompatibel
Injeksjon Atracurium besylate 0.5 mg/ml
Injeksjon Nitroglycerin 0.4 mg/ml
Glukose 5 % 402
Kompatibel
Injeksjon Atracurium besylate 0.5 mg/ml
Injeksjon Nitroprusside sodium 0.2 mg/ml
Glukose 5 % 402
Uspesifisert inkompatibilitet Uforenlig
Injeksjon Atracurium besylate
Injeksjon Pentobarbital sodium
3676
Uspesifisert inkompatibilitet Uforenlig
Injeksjon Atracurium besylate
Injeksjon Phenobarbital sodium
3676
Umiddelbar ustabilitet av emulsjonen Uforenlig
Injeksjon Atracurium besylate 10 mg/ml
Injeksjon Propofol 10 mg/ml
Ingen 300
Ustabilitet av emulsjonen etter 1 time Uforenlig
Injeksjon Atracurium besylate 10 mg/ml
Injeksjon Propofol
660
Uspesifisert inkompatibilitet Uforenlig
Injeksjon Atracurium besylate
Injeksjon Propofol
3659
Kompatibel
Injeksjon Atracurium besylate 10 mg/ml
Injeksjon Propofol 2 mg/ml
Ingen 319
Uspesifisert inkompatibilitet Uforenlig
Injeksjon Atracurium besylate
Injeksjon Propofol
3502
Kompatibel
Injeksjon Atracurium besylate 0.5 mg/ml
Injeksjon Ranitidine hydrochloride 0.5 mg/ml
Glukose 5 % 402
Uspesifisert inkompatibilitet Uforenlig
Injeksjon Atracurium besylate
Injeksjon Sodium bicarbonate
3629
Uspesifisert inkompatibilitet Uforenlig
Injeksjon Atracurium besylate
Injeksjon Sodium bicarbonate
3676
Umiddelbar nedbør Uforenlig
Injeksjon Atracurium besylate
Injeksjon Thiopental sodium
3373
Uspesifisert inkompatibilitet Uforenlig
Injeksjon Atracurium besylate
Injeksjon Thiopental sodium
3629
Uspesifisert inkompatibilitet Uforenlig
Injeksjon Atracurium besylate
Injeksjon Thiopental sodium
3676
Kompatibel
Injeksjon Atracurium besylate 0.2 mg/ml
Injeksjon Valproic acid 2 & 20 mg/ml
Natriumklorid 0,9 % 4428
Kompatibel
Injeksjon Atracurium besylate
Natriumklorid 0,9 % 3629
Umiddelbar turbiditet Uforenlig
Injeksjon Atracurium besylate 10 mg/ml
Injeksjon Thiopental sodium 25 mg/ml
Vann til injeksjon 319
Kompatibel
Injeksjon Atracurium besylate 0.2 mg/ml
Injeksjon Valproic acid 2 & 20 mg/ml
Glukose 5 % 4428
Kompatibel
Injeksjon Atracurium besylate 0.5 mg/ml
Injeksjon Vancomycin hydrochloride 5 mg/ml
Glukose 5 % 402

  Mentions Légales