Dernière mise à jour :
18/03/2026
Curarisant   Atracurium besylate  
injectable
Stabilité des solutions Stabilité en mélange Facteur influençant la stabilité Compatibilités Voie d’administration Bibliographie pdf
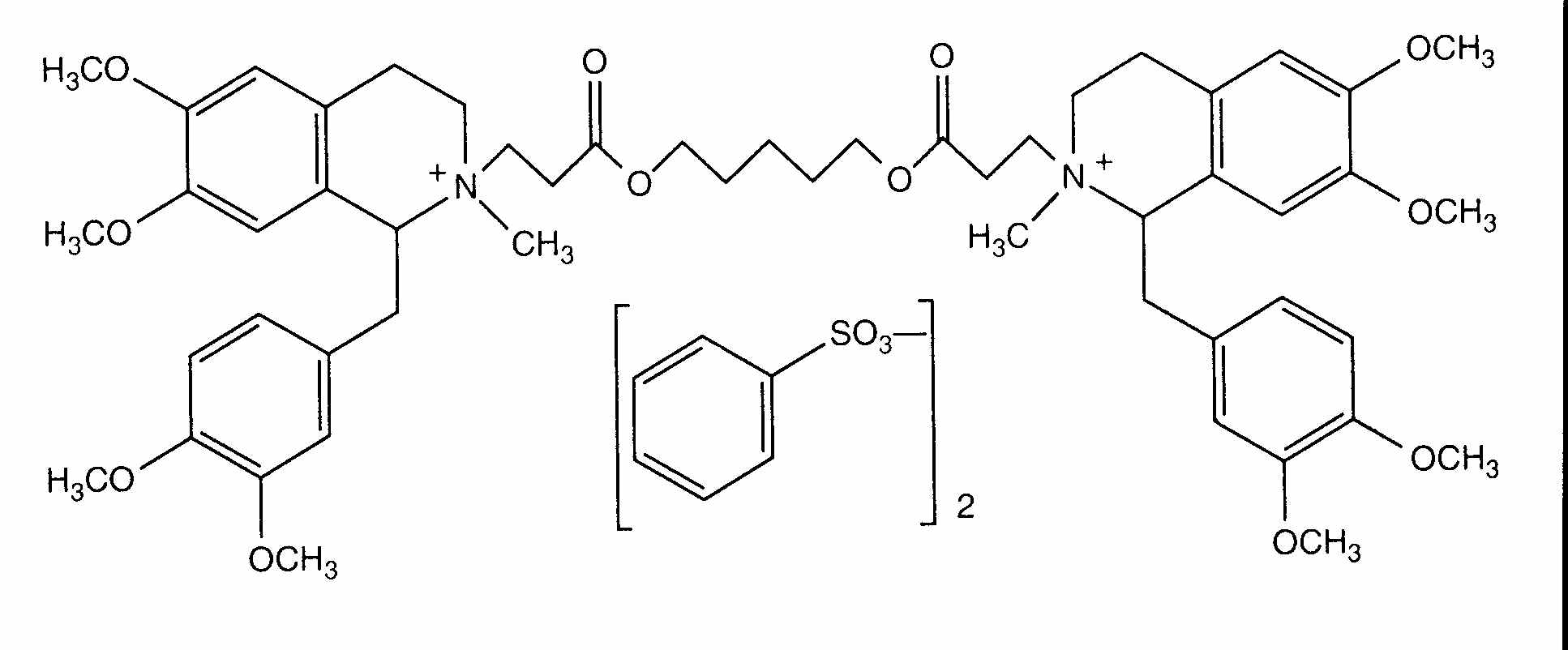
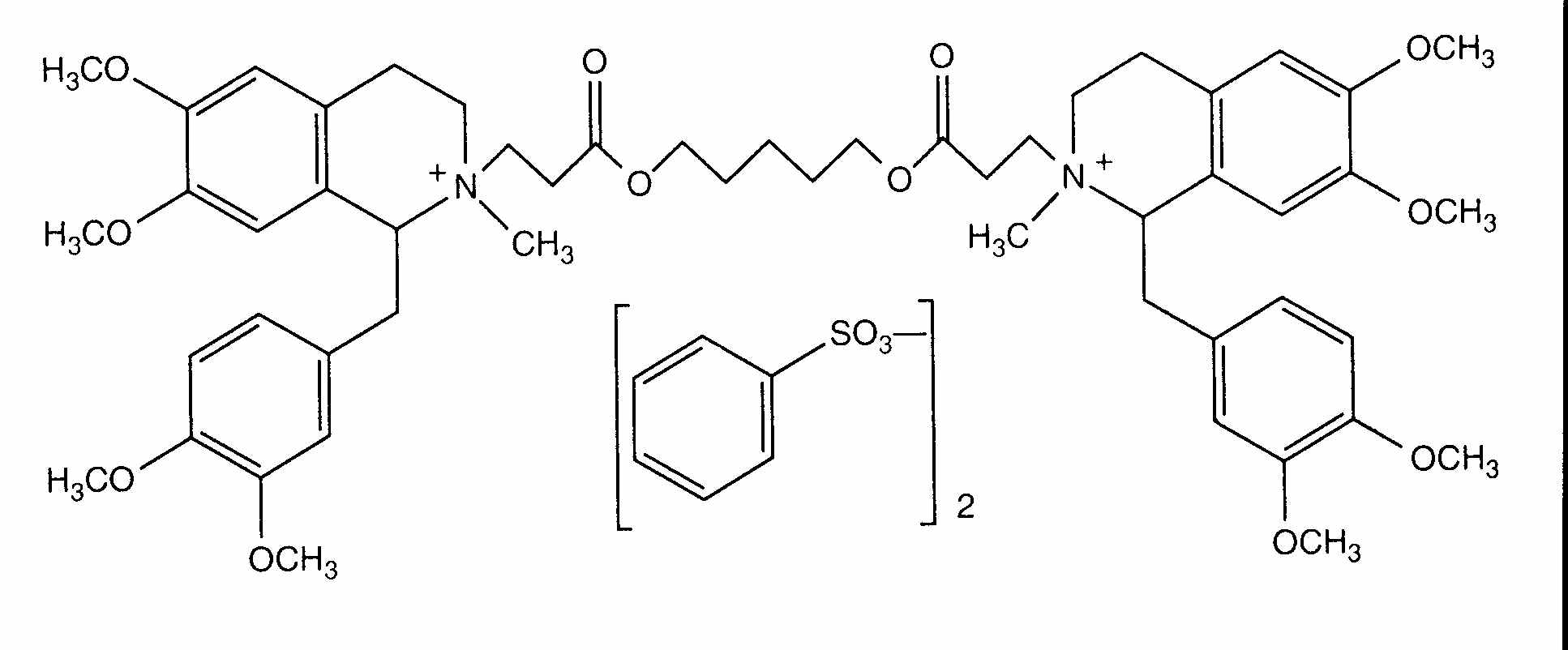
   Structure chimique  

Noms commerciaux   Noms commerciaux     

Les noms commerciaux sont donnés à titre indicatif et la composition en excipients peut être différente selon les pays et selon les laboratoires

Abbocurium Pologne
Acurmil Italie
Ancour Iran
Anecur Iran
Atacur Arabie Saoudite
Atrabesylate Egypte
Atracurio Argentine, Brésil, Espagne
Atracurio besilato Chili, Italie, Pérou, Vénézuela
Atracurium Allemagne, Arabie Saoudite, Argentine, Autriche, Egypte, Emirats Arabes Unis , Grande Bretagne, Iran, Italie, Malaisie, Suède
Atracurium besilat Autriche
Atracurium besilate Arabie Saoudite, Australie, Canada, Egypte, Emirats Arabes Unis , Etats Unis d’Amérique, Iran, Nouvelle Zélande
Atralex Malaisie
Atrasyl Turquie
Besilato Atracurio Chili, Espagne, Portugal
Faulcurium Egypte, Portugal
Gelolagar Argentine
Laurak Espagne
Neucurium Turquie
Notrixum Turquie
Relactrac Colombie
Relatrac Mexique
Tracrium Allemagne, Arabie Saoudite, Autriche, Belgique, Chili, Colombie, Egypte, Emirats Arabes Unis , Equateur, Espagne, Etats Unis d’Amérique, France, Grande Bretagne, Grèce, Hongrie, Iran, Irlande, Italie, Luxembourg, Malaisie, Maroc, Mexique, Nouvelle Zélande, Pays bas, Pologne, Portugal, Roumanie, Slovénie, Suisse, Turquie
Tracumek Pérou
Tracurix Argentine
Tracuron Argentine
Compatibilités   injectable   Compatibilités : Atracurium besylate              
Cet écran indique les compatibilités ou incompatibilités avec, dans ce cas, le type d'incompatibilité (précipitation, changement de couleur, modification d'une émulsion, etc.). Les compatibilités présentées ici sont pour la plupart uniquement physiques, la stabilité chimique de chaque molécule étant rarement évaluée. L'évaluation de ces mélanges a été étudiée pour envisager la possibilité d'une administration en site Y au patient. Ces données ne peuvent pas être utilisées pour préparer des mélanges à l'avance dans des poches de perfusion ou des seringues. Ce type d'informations est disponible dans l'écran « Stabilité en mélange ».
Molécule Solvant Bibliographie
Incompatibilité non précisée Incompatible
injectable Atracurium besylate
injectable Amobarbital sodium
3676
Incompatible
injectable Atracurium besylate 0.5 mg/ml
Ringer lactate 1093
Compatible
injectable Atracurium besylate 0.5 mg/ml
injectable Aminophylline 1 mg/ml
Glucose 5% 402
Compatible
injectable Atracurium besylate 5 mg/ml
injectable Amiodarone hydrochloride 6 mg/ml
Glucose 5% 1611
Compatible
injectable Atracurium besylate 0.5 mg/ml
injectable Cefazolin sodium 10 mg/ml
Glucose 5% 402
Compatible
injectable Atracurium besylate
Glucose 5% 3629
Compatible
injectable Atracurium besylate 0.5 mg/ml
injectable Cefuroxime sodium 7.5 mg/ml
Glucose 5% 402
Compatible
injectable Atracurium besylate 0.5 mg/ml
injectable Co-trimoxazole 3.2/0.64 mg/ml
Glucose 5% 402
Précipitation immédiate Incompatible
injectable Atracurium besylate 0.5 mg/ml
injectable Diazepam 5 mg/ml
Glucose 5% 402
Précipitation immédiate Incompatible
injectable Atracurium besylate
injectable Diclofenac
1647
Compatible
injectable Atracurium besylate 0.5 mg/ml
injectable Dopamine hydrochloride 1.6 mg/ml
Glucose 5% 402
Incompatibilité non précisée Incompatible
injectable Atracurium besylate
NaHCO3 3676
Compatible
injectable Atracurium besylate 0.5 mg/ml
injectable Cimetidine hydrochloride 6 mg/ml
Glucose 5% 402
Compatible
injectable Atracurium besylate
injectable Dexmedetomidine
5042
Compatible
injectable Atracurium besylate 0.5 mg/ml
injectable Dobutamine hydrochloride 1 mg/ml
Glucose 5% 402
Incompatibilité non précisée Incompatible
injectable Atracurium besylate
NaHCO3 3629
Compatible
injectable Atracurium besylate 2 mg/ml
injectable Ciprofloxacin lactate 2 mg/ml
Glucose 5% 285
Compatible
injectable Atracurium besylate 0.5 mg/ml
injectable Epinephrine hydrochloride 4 µg/ml
Glucose 5% 402
Compatible
injectable Atracurium besylate 0.5 mg/ml
injectable Esmolol hydrochloride 10 mg/ml
Glucose 5% 402
Compatible
injectable Atracurium besylate 10 mg/ml
Nutrition parentérale (mélange binaire) 939
Compatible
injectable Atracurium besylate 10 mg/ml
injectable Etomidate 2 mg/ml
Aucun 319
Compatible
injectable Atracurium besylate 0.5 mg/ml
injectable Fenoldopam mesylate 80 µg/ml
Chlorure de sodium 0,9% 1803
Compatible
injectable Atracurium besylate 0.5 mg/ml
injectable Fentanyl citrate 10 µg/ml
Glucose 5% 402
Compatible
injectable Atracurium besylate 0.5 mg/ml
injectable Gentamicin sulfate 2 mg/ml
Glucose 5% 402
Compatible
injectable Atracurium besylate 0.5 mg/ml
injectable Heparin sodium 40 UI/ml
Glucose 5% 402
Compatible
injectable Atracurium besylate 0.5 mg/ml
injectable Hetastarch 60 mg/ml
Solvant spécifique 1721
Compatible
injectable Atracurium besylate 0.5 mg/ml
injectable Hydrocortisone sodium succinate 1 mg/ml
Glucose 5% 402
Compatible
injectable Atracurium besylate 0.5 mg/ml
injectable Isoprenaline hydrochloride 0.004 mg/ml
Glucose 5% 402
Compatible
injectable Atracurium besylate 0.5 mg/ml
injectable Lorazepam 0.5 mg/ml
Glucose 5% 402
Incompatibilité non précisée Incompatible
injectable Atracurium besylate
injectable Methohexital sodium
3676
Compatible
injectable Atracurium besylate 1 & 5 mg/ml
injectable Midazolam hydrochloride 0.1 & 0.5 mg/ml
Glucose 5% 865
Compatible
injectable Atracurium besylate 0.5 mg/ml
injectable Midazolam hydrochloride 0.05 mg/ml
Glucose 5% 402
Compatible
injectable Atracurium besylate 2 mg/ml
injectable Milrinone lactate 0.8 mg/ml
Glucose 5% 813
Compatible
injectable Atracurium besylate 0.5 mg/ml
injectable Morphine sulfate 1 mg/ml
Glucose 5% 402
Compatible
injectable Atracurium besylate 0.5 mg/ml
injectable Nitroglycerin 0.4 mg/ml
Glucose 5% 402
Compatible
injectable Atracurium besylate 0.5 mg/ml
injectable Nitroprusside sodium 0.2 mg/ml
Glucose 5% 402
Incompatibilité non précisée Incompatible
injectable Atracurium besylate
injectable Pentobarbital sodium
3676
Incompatibilité non précisée Incompatible
injectable Atracurium besylate
injectable Phenobarbital sodium
3676
Instabilité de l'émulsion immédiate Incompatible
injectable Atracurium besylate 10 mg/ml
injectable Propofol 10 mg/ml
Aucun 300
Instabilité de l'émulsion en 1 heure Incompatible
injectable Atracurium besylate 10 mg/ml
injectable Propofol
660
Incompatibilité non précisée Incompatible
injectable Atracurium besylate
injectable Propofol
3659
Compatible
injectable Atracurium besylate 10 mg/ml
injectable Propofol 2 mg/ml
Aucun 319
Incompatibilité non précisée Incompatible
injectable Atracurium besylate
injectable Propofol
3502
Compatible
injectable Atracurium besylate 0.5 mg/ml
injectable Ranitidine hydrochloride 0.5 mg/ml
Glucose 5% 402
Incompatibilité non précisée Incompatible
injectable Atracurium besylate
injectable Sodium bicarbonate
3629
Incompatibilité non précisée Incompatible
injectable Atracurium besylate
injectable Sodium bicarbonate
3676
Précipitation immédiate Incompatible
injectable Atracurium besylate
injectable Thiopental sodium
3373
Incompatibilité non précisée Incompatible
injectable Atracurium besylate
injectable Thiopental sodium
3629
Incompatibilité non précisée Incompatible
injectable Atracurium besylate
injectable Thiopental sodium
3676
Compatible
injectable Atracurium besylate 0.2 mg/ml
injectable Valproic acid 2 & 20 mg/ml
Chlorure de sodium 0,9% 4428
Compatible
injectable Atracurium besylate
Chlorure de sodium 0,9% 3629
Turbidité immédiate Incompatible
injectable Atracurium besylate 10 mg/ml
injectable Thiopental sodium 25 mg/ml
Eau pour préparation injectable 319
Compatible
injectable Atracurium besylate 0.2 mg/ml
injectable Valproic acid 2 & 20 mg/ml
Glucose 5% 4428
Compatible
injectable Atracurium besylate 0.5 mg/ml
injectable Vancomycin hydrochloride 5 mg/ml
Glucose 5% 402

  Mentions Légales