Senaste uppdateringen :
18/03/2026
Muskel avslappande medel   Atracurium besylate  
injektion
Lösningars stabilitet Stabilitet i blandningar Faktorer som påverkar stabiliteten Kompatibilitet Administreringssätt Hänvisningar pdf
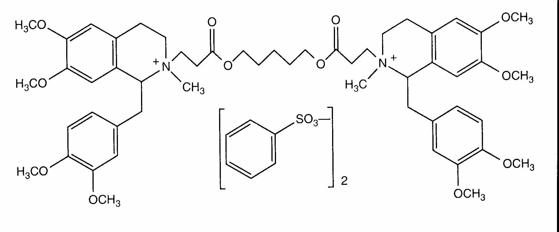
   Molekylstruktur  

Varunamn   Varunamn     

Angivna handelsnamn på läkemedel är enbart vägledande då formulering inklusive hjälpämnen kan variera mellan länder och tillverkare

Abbocurium Polen
Acurmil Italien
Ancour Iran
Anecur Iran
Atacur Saudi-Arabien
Atrabesylate Egypten
Atracurio Argentina, Brasilien, Spanien
Atracurio besilato Chile, Italien, Peru, Venezuela
Atracurium Argentina, Egypten, Förenade Arabemiraten, Iran, Italien, Malaysia, Österrike, Saudi-Arabien, Storbritannien, Sverige, Tyskland
Atracurium besilat Österrike
Atracurium besilate Australien, Egypten, Förenade Arabemiraten, Förenta Staterna, Iran, Kanada, nya Zeeland, Saudi-Arabien
Atralex Malaysia
Atrasyl Turkiet
Besilato Atracurio Chile, Portugal, Spanien
Faulcurium Egypten, Portugal
Gelolagar Argentina
Laurak Spanien
Neucurium Turkiet
Notrixum Turkiet
Relactrac Colombia
Relatrac Mexiko
Tracrium Belgien, Chile, Colombia, Ecuador, Egypten, Förenade Arabemiraten, Förenta Staterna, Frankrike, Grekland, Iran, Irland, Italien, Luxemburg, Malaysia, Marocko, Mexiko, Nederländerna, nya Zeeland, Österrike, Polen, Portugal, Rumänien, Saudi-Arabien, Schweiz, Slovenien, Spanien, Storbritannien, Turkiet, Tyskland, Ungern
Tracumek Peru
Tracurix Argentina
Tracuron Argentina
Kompatibilitet   injektion   Kompatibilitet : Atracurium besylate              
Den här skärmen visar kompatibiliteten eller inkompatibiliteten med, i detta fall, typen av inkompatibilitet (utfällning, färgförändring, modifiering av en emulsion, etc.). De kompatibiliteter som visas här är oftast endast fysiska, varvid den kemiska stabiliteten för varje molekyl sällan utvärderas. Utvärderingen av dessa blandningar studerades för att överväga möjligheten för Y-platsadministrering till patienten. Dessa data kan inte användas för att göra blandningar i förväg i påsar eller sprutor. Denna typ av information finns på skärmen "Stabilitet i blandning".
Substans Lösningsmedel Hänvisningar
Ospecificerad inkompatibilitet Oförenlig
injektion Atracurium besylate
injektion Amobarbital sodium
3676
Oförenlig
injektion Atracurium besylate 0.5 mg/ml
Ringer-laktatlösning 1093
Kompatibel
injektion Atracurium besylate 0.5 mg/ml
injektion Aminophylline 1 mg/ml
Glukos 5 % 402
Kompatibel
injektion Atracurium besylate 5 mg/ml
injektion Amiodarone hydrochloride 6 mg/ml
Glukos 5 % 1611
Kompatibel
injektion Atracurium besylate 0.5 mg/ml
injektion Cefazolin sodium 10 mg/ml
Glukos 5 % 402
Kompatibel
injektion Atracurium besylate
Glukos 5 % 3629
Kompatibel
injektion Atracurium besylate 0.5 mg/ml
injektion Cefuroxime sodium 7.5 mg/ml
Glukos 5 % 402
Kompatibel
injektion Atracurium besylate 0.5 mg/ml
injektion Co-trimoxazole 3.2/0.64 mg/ml
Glukos 5 % 402
Omedelbar nederbörd Oförenlig
injektion Atracurium besylate 0.5 mg/ml
injektion Diazepam 5 mg/ml
Glukos 5 % 402
Omedelbar nederbörd Oförenlig
injektion Atracurium besylate
injektion Diclofenac
1647
Kompatibel
injektion Atracurium besylate 0.5 mg/ml
injektion Dopamine hydrochloride 1.6 mg/ml
Glukos 5 % 402
Ospecificerad inkompatibilitet Oförenlig
injektion Atracurium besylate
NaHCO3 3676
Kompatibel
injektion Atracurium besylate 0.5 mg/ml
injektion Cimetidine hydrochloride 6 mg/ml
Glukos 5 % 402
Kompatibel
injektion Atracurium besylate
injektion Dexmedetomidine
5042
Kompatibel
injektion Atracurium besylate 0.5 mg/ml
injektion Dobutamine hydrochloride 1 mg/ml
Glukos 5 % 402
Ospecificerad inkompatibilitet Oförenlig
injektion Atracurium besylate
NaHCO3 3629
Kompatibel
injektion Atracurium besylate 2 mg/ml
injektion Ciprofloxacin lactate 2 mg/ml
Glukos 5 % 285
Kompatibel
injektion Atracurium besylate 0.5 mg/ml
injektion Epinephrine hydrochloride 4 µg/ml
Glukos 5 % 402
Kompatibel
injektion Atracurium besylate 0.5 mg/ml
injektion Esmolol hydrochloride 10 mg/ml
Glukos 5 % 402
Kompatibel
injektion Atracurium besylate 10 mg/ml
Parenteral nutrition (binär blandning) 939
Kompatibel
injektion Atracurium besylate 10 mg/ml
injektion Etomidate 2 mg/ml
Ingen 319
Kompatibel
injektion Atracurium besylate 0.5 mg/ml
injektion Fenoldopam mesylate 80 µg/ml
Natriumklorid 0,9 % 1803
Kompatibel
injektion Atracurium besylate 0.5 mg/ml
injektion Fentanyl citrate 10 µg/ml
Glukos 5 % 402
Kompatibel
injektion Atracurium besylate 0.5 mg/ml
injektion Gentamicin sulfate 2 mg/ml
Glukos 5 % 402
Kompatibel
injektion Atracurium besylate 0.5 mg/ml
injektion Heparin sodium 40 UI/ml
Glukos 5 % 402
Kompatibel
injektion Atracurium besylate 0.5 mg/ml
injektion Hetastarch 60 mg/ml
specifikt lösningsmedel 1721
Kompatibel
injektion Atracurium besylate 0.5 mg/ml
injektion Hydrocortisone sodium succinate 1 mg/ml
Glukos 5 % 402
Kompatibel
injektion Atracurium besylate 0.5 mg/ml
injektion Isoprenaline hydrochloride 0.004 mg/ml
Glukos 5 % 402
Kompatibel
injektion Atracurium besylate 0.5 mg/ml
injektion Lorazepam 0.5 mg/ml
Glukos 5 % 402
Ospecificerad inkompatibilitet Oförenlig
injektion Atracurium besylate
injektion Methohexital sodium
3676
Kompatibel
injektion Atracurium besylate 1 & 5 mg/ml
injektion Midazolam hydrochloride 0.1 & 0.5 mg/ml
Glukos 5 % 865
Kompatibel
injektion Atracurium besylate 0.5 mg/ml
injektion Midazolam hydrochloride 0.05 mg/ml
Glukos 5 % 402
Kompatibel
injektion Atracurium besylate 2 mg/ml
injektion Milrinone lactate 0.8 mg/ml
Glukos 5 % 813
Kompatibel
injektion Atracurium besylate 0.5 mg/ml
injektion Morphine sulfate 1 mg/ml
Glukos 5 % 402
Kompatibel
injektion Atracurium besylate 0.5 mg/ml
injektion Nitroglycerin 0.4 mg/ml
Glukos 5 % 402
Kompatibel
injektion Atracurium besylate 0.5 mg/ml
injektion Nitroprusside sodium 0.2 mg/ml
Glukos 5 % 402
Ospecificerad inkompatibilitet Oförenlig
injektion Atracurium besylate
injektion Pentobarbital sodium
3676
Ospecificerad inkompatibilitet Oförenlig
injektion Atracurium besylate
injektion Phenobarbital sodium
3676
Omedelbar instabilitet hos emulsionen Oförenlig
injektion Atracurium besylate 10 mg/ml
injektion Propofol 10 mg/ml
Ingen 300
Emulsionens instabilitet efter 1 timme Oförenlig
injektion Atracurium besylate 10 mg/ml
injektion Propofol
660
Ospecificerad inkompatibilitet Oförenlig
injektion Atracurium besylate
injektion Propofol
3659
Kompatibel
injektion Atracurium besylate 10 mg/ml
injektion Propofol 2 mg/ml
Ingen 319
Ospecificerad inkompatibilitet Oförenlig
injektion Atracurium besylate
injektion Propofol
3502
Kompatibel
injektion Atracurium besylate 0.5 mg/ml
injektion Ranitidine hydrochloride 0.5 mg/ml
Glukos 5 % 402
Ospecificerad inkompatibilitet Oförenlig
injektion Atracurium besylate
injektion Sodium bicarbonate
3629
Ospecificerad inkompatibilitet Oförenlig
injektion Atracurium besylate
injektion Sodium bicarbonate
3676
Omedelbar nederbörd Oförenlig
injektion Atracurium besylate
injektion Thiopental sodium
3373
Ospecificerad inkompatibilitet Oförenlig
injektion Atracurium besylate
injektion Thiopental sodium
3629
Ospecificerad inkompatibilitet Oförenlig
injektion Atracurium besylate
injektion Thiopental sodium
3676
Kompatibel
injektion Atracurium besylate 0.2 mg/ml
injektion Valproic acid 2 & 20 mg/ml
Natriumklorid 0,9 % 4428
Kompatibel
injektion Atracurium besylate
Natriumklorid 0,9 % 3629
Omedelbar grumlighet Oförenlig
injektion Atracurium besylate 10 mg/ml
injektion Thiopental sodium 25 mg/ml
Vatten för injektion 319
Kompatibel
injektion Atracurium besylate 0.2 mg/ml
injektion Valproic acid 2 & 20 mg/ml
Glukos 5 % 4428
Kompatibel
injektion Atracurium besylate 0.5 mg/ml
injektion Vancomycin hydrochloride 5 mg/ml
Glukos 5 % 402

  Mentions Légales