zadnja posodobitev :
18/03/2026
Kurarimetik   Atracurium besylate  
Brizgalka
Stabilnost raztopine Stabilnost mešanice Faktorji, ki vplivajo na stabilnost Kompatibilnost način aplikacije Viri pdf
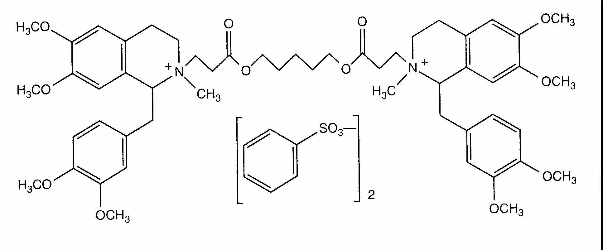
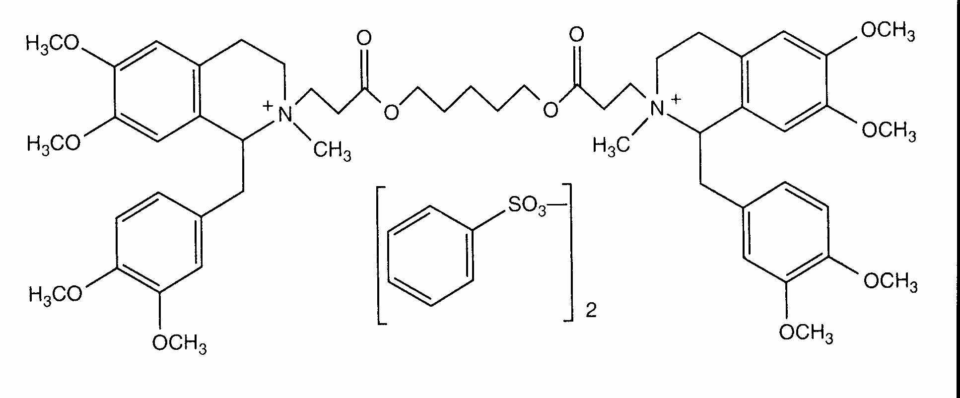
   Kemična formula  

Lastniško ime   Lastniško ime     

Sestava pomožnih snovi je med paralelami lahko različna

Abbocurium Poljska
Acurmil Italija
Ancour Iran
Anecur Iran
Atacur Savdska Arabija
Atrabesylate Egipt
Atracurio Argentina, Brazilija, Španija
Atracurio besilato Čile, Italija, Peru, Venezuela
Atracurium Argentina, Avstrija, Egipt, Iran, Italija, Malezija, Nemčija, Savdska Arabija, Švedska, Velika Britanija, Združeni arabski emirati
Atracurium besilat Avstrija
Atracurium besilate Avstralija, Egipt, Iran, Kanada, nova Zelandija, Savdska Arabija, Združene države Amerike, Združeni arabski emirati
Atralex Malezija
Atrasyl Turčija
Besilato Atracurio Čile, Portugalska, Španija
Faulcurium Egipt, Portugalska
Gelolagar Argentina
Laurak Španija
Neucurium Turčija
Notrixum Turčija
Relactrac Kolumbija
Relatrac Mehika
Tracrium Avstrija, Belgija, Čile, Egipt, Ekvador, Francija, Grčija, Iran, Irska, Italija, Kolumbija, Luksemburg, Madžarska, Malezija, Maroko, Mehika, Nemčija, Nizozemska, nova Zelandija, Poljska, Portugalska, Romunija, Savdska Arabija, Slovenija, Španija, Švica, Turčija, Velika Britanija, Združene države Amerike, Združeni arabski emirati
Tracumek Peru
Tracurix Argentina
Tracuron Argentina
Kompatibilnost   Brizgalka   Kompatibilnost : Atracurium besylate              
Ta zaslon prikazuje združljivost ali nezdružljivost s, v tem primeru, vrsto nezdružljivosti (padavine, sprememba barve, sprememba emulzije itd.). Tu prikazane združljivosti so večinoma samo fizične, pri čemer se kemijska stabilnost vsake molekule redko ocenjuje. Vrednotenje teh zmesi so preučevali, da bi preučili možnost pacientovega dajanja na mestu Y. Teh podatkov ni mogoče uporabiti za pripravo mešanic v vrečkah ali brizgah. Ta vrsta informacij je na voljo na zaslonu "Obstojnost v mešanici".
Sestava Topilo Viri
Nedoločena nezdružljivost Nezdružljivo
Brizgalka Atracurium besylate
Brizgalka Amobarbital sodium
3676
Nezdružljivo
Brizgalka Atracurium besylate 0.5 mg/ml
Ringerjev laktat 1093
Združljivo
Brizgalka Atracurium besylate 0.5 mg/ml
Brizgalka Aminophylline 1 mg/ml
Glukoza 5% 402
Združljivo
Brizgalka Atracurium besylate 5 mg/ml
Brizgalka Amiodarone hydrochloride 6 mg/ml
Glukoza 5% 1611
Združljivo
Brizgalka Atracurium besylate 0.5 mg/ml
Brizgalka Cefazolin sodium 10 mg/ml
Glukoza 5% 402
Združljivo
Brizgalka Atracurium besylate
Glukoza 5% 3629
Združljivo
Brizgalka Atracurium besylate 0.5 mg/ml
Brizgalka Cefuroxime sodium 7.5 mg/ml
Glukoza 5% 402
Združljivo
Brizgalka Atracurium besylate 0.5 mg/ml
Brizgalka Co-trimoxazole 3.2/0.64 mg/ml
Glukoza 5% 402
Takoj padavine Nezdružljivo
Brizgalka Atracurium besylate 0.5 mg/ml
Brizgalka Diazepam 5 mg/ml
Glukoza 5% 402
Takoj padavine Nezdružljivo
Brizgalka Atracurium besylate
Brizgalka Diclofenac
1647
Združljivo
Brizgalka Atracurium besylate 0.5 mg/ml
Brizgalka Dopamine hydrochloride 1.6 mg/ml
Glukoza 5% 402
Nedoločena nezdružljivost Nezdružljivo
Brizgalka Atracurium besylate
NaHCO3 3676
Združljivo
Brizgalka Atracurium besylate 0.5 mg/ml
Brizgalka Cimetidine hydrochloride 6 mg/ml
Glukoza 5% 402
Združljivo
Brizgalka Atracurium besylate
Brizgalka Dexmedetomidine
5042
Združljivo
Brizgalka Atracurium besylate 0.5 mg/ml
Brizgalka Dobutamine hydrochloride 1 mg/ml
Glukoza 5% 402
Nedoločena nezdružljivost Nezdružljivo
Brizgalka Atracurium besylate
NaHCO3 3629
Združljivo
Brizgalka Atracurium besylate 2 mg/ml
Brizgalka Ciprofloxacin lactate 2 mg/ml
Glukoza 5% 285
Združljivo
Brizgalka Atracurium besylate 0.5 mg/ml
Brizgalka Epinephrine hydrochloride 4 µg/ml
Glukoza 5% 402
Združljivo
Brizgalka Atracurium besylate 0.5 mg/ml
Brizgalka Esmolol hydrochloride 10 mg/ml
Glukoza 5% 402
Združljivo
Brizgalka Atracurium besylate 10 mg/ml
Parenteralna prehrana (binarno zmes) 939
Združljivo
Brizgalka Atracurium besylate 10 mg/ml
Brizgalka Etomidate 2 mg/ml
Nobeden 319
Združljivo
Brizgalka Atracurium besylate 0.5 mg/ml
Brizgalka Fenoldopam mesylate 80 µg/ml
Natrijev klorid 0,9% 1803
Združljivo
Brizgalka Atracurium besylate 0.5 mg/ml
Brizgalka Fentanyl citrate 10 µg/ml
Glukoza 5% 402
Združljivo
Brizgalka Atracurium besylate 0.5 mg/ml
Brizgalka Gentamicin sulfate 2 mg/ml
Glukoza 5% 402
Združljivo
Brizgalka Atracurium besylate 0.5 mg/ml
Brizgalka Heparin sodium 40 UI/ml
Glukoza 5% 402
Združljivo
Brizgalka Atracurium besylate 0.5 mg/ml
Brizgalka Hetastarch 60 mg/ml
Posebni topila 1721
Združljivo
Brizgalka Atracurium besylate 0.5 mg/ml
Brizgalka Hydrocortisone sodium succinate 1 mg/ml
Glukoza 5% 402
Združljivo
Brizgalka Atracurium besylate 0.5 mg/ml
Brizgalka Isoprenaline hydrochloride 0.004 mg/ml
Glukoza 5% 402
Združljivo
Brizgalka Atracurium besylate 0.5 mg/ml
Brizgalka Lorazepam 0.5 mg/ml
Glukoza 5% 402
Nedoločena nezdružljivost Nezdružljivo
Brizgalka Atracurium besylate
Brizgalka Methohexital sodium
3676
Združljivo
Brizgalka Atracurium besylate 1 & 5 mg/ml
Brizgalka Midazolam hydrochloride 0.1 & 0.5 mg/ml
Glukoza 5% 865
Združljivo
Brizgalka Atracurium besylate 0.5 mg/ml
Brizgalka Midazolam hydrochloride 0.05 mg/ml
Glukoza 5% 402
Združljivo
Brizgalka Atracurium besylate 2 mg/ml
Brizgalka Milrinone lactate 0.8 mg/ml
Glukoza 5% 813
Združljivo
Brizgalka Atracurium besylate 0.5 mg/ml
Brizgalka Morphine sulfate 1 mg/ml
Glukoza 5% 402
Združljivo
Brizgalka Atracurium besylate 0.5 mg/ml
Brizgalka Nitroglycerin 0.4 mg/ml
Glukoza 5% 402
Združljivo
Brizgalka Atracurium besylate 0.5 mg/ml
Brizgalka Nitroprusside sodium 0.2 mg/ml
Glukoza 5% 402
Nedoločena nezdružljivost Nezdružljivo
Brizgalka Atracurium besylate
Brizgalka Pentobarbital sodium
3676
Nedoločena nezdružljivost Nezdružljivo
Brizgalka Atracurium besylate
Brizgalka Phenobarbital sodium
3676
Takojšnja nestabilnost emulzije Nezdružljivo
Brizgalka Atracurium besylate 10 mg/ml
Brizgalka Propofol 10 mg/ml
Nobeden 300
Nestabilnost emulzije po 1 uri Nezdružljivo
Brizgalka Atracurium besylate 10 mg/ml
Brizgalka Propofol
660
Nedoločena nezdružljivost Nezdružljivo
Brizgalka Atracurium besylate
Brizgalka Propofol
3659
Združljivo
Brizgalka Atracurium besylate 10 mg/ml
Brizgalka Propofol 2 mg/ml
Nobeden 319
Nedoločena nezdružljivost Nezdružljivo
Brizgalka Atracurium besylate
Brizgalka Propofol
3502
Združljivo
Brizgalka Atracurium besylate 0.5 mg/ml
Brizgalka Ranitidine hydrochloride 0.5 mg/ml
Glukoza 5% 402
Nedoločena nezdružljivost Nezdružljivo
Brizgalka Atracurium besylate
Brizgalka Sodium bicarbonate
3629
Nedoločena nezdružljivost Nezdružljivo
Brizgalka Atracurium besylate
Brizgalka Sodium bicarbonate
3676
Takoj padavine Nezdružljivo
Brizgalka Atracurium besylate
Brizgalka Thiopental sodium
3373
Nedoločena nezdružljivost Nezdružljivo
Brizgalka Atracurium besylate
Brizgalka Thiopental sodium
3629
Nedoločena nezdružljivost Nezdružljivo
Brizgalka Atracurium besylate
Brizgalka Thiopental sodium
3676
Združljivo
Brizgalka Atracurium besylate 0.2 mg/ml
Brizgalka Valproic acid 2 & 20 mg/ml
Natrijev klorid 0,9% 4428
Združljivo
Brizgalka Atracurium besylate
Natrijev klorid 0,9% 3629
Takojšnja motnost Nezdružljivo
Brizgalka Atracurium besylate 10 mg/ml
Brizgalka Thiopental sodium 25 mg/ml
Voda za injekcije 319
Združljivo
Brizgalka Atracurium besylate 0.2 mg/ml
Brizgalka Valproic acid 2 & 20 mg/ml
Glukoza 5% 4428
Združljivo
Brizgalka Atracurium besylate 0.5 mg/ml
Brizgalka Vancomycin hydrochloride 5 mg/ml
Glukoza 5% 402

  Mentions Légales