Pēdējā atjaunošana :
18/03/2026
Kurarīnmimētiķis   Atracurium besylate  
Injekcija
Šķīduma stabilitāte Maisījuma stabilitāte Stabilitāti ietekmējoši faktori Saderība Levadīšanas veids Literatūras saraksts pdf
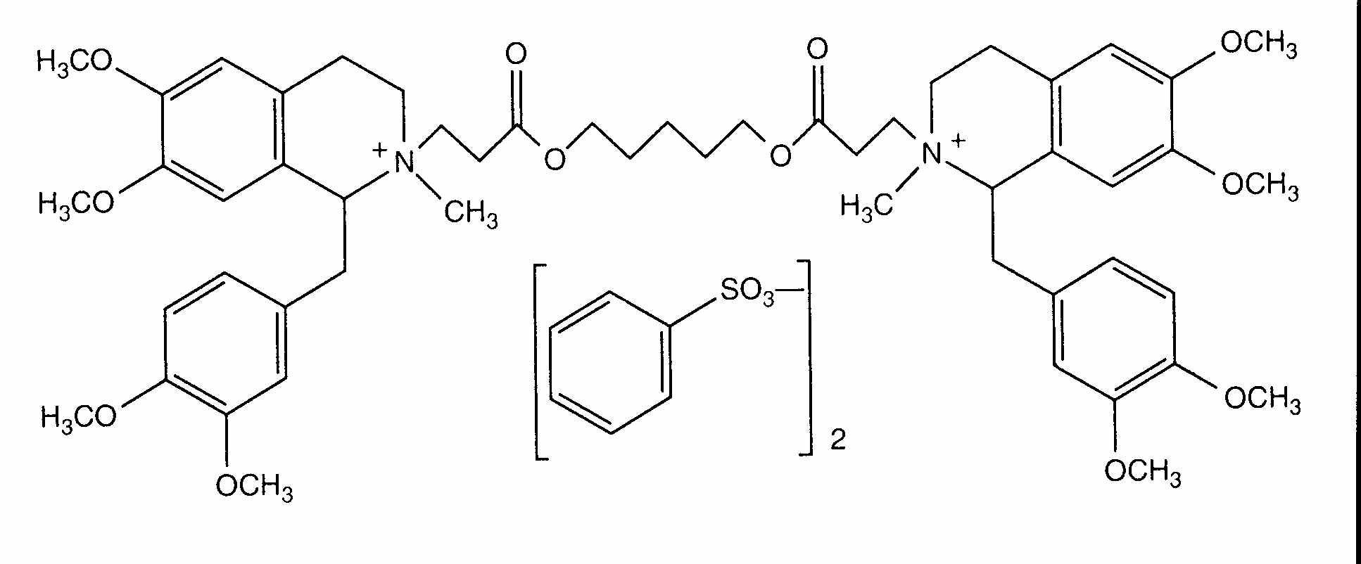
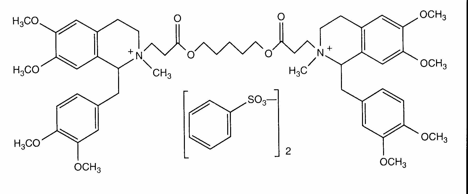
   Ķīmiskā uzbūve   

Oriģinālais nosaukums   Oriģinālais nosaukums     

Tirdzniecības nosaukumi ir apzīmējoši un palīgvielas var atšķirties dažādām valstīm un laboratorijām

Abbocurium Polija
Acurmil Itālija
Ancour Irāna
Anecur Irāna
Atacur Saūda Arābija
Atrabesylate Ēģipte
Atracurio Argentīna, Brazīlija, Spānija
Atracurio besilato Čīle, Itālija, Peru, Venecuēla
Atracurium Apvienotie Arābu Emirāti, Argentīna, Austrija, Ēģipte, Irāna, Itālija, Lielbritānija, Malaizija, Saūda Arābija, Vācija, Zviedrija
Atracurium besilat Austrija
Atracurium besilate Amerikas Savienotās Valstis, Apvienotie Arābu Emirāti, Austrālija, Ēģipte, Irāna, Jaunzēlande, Kanāda, Saūda Arābija
Atralex Malaizija
Atrasyl Turcija
Besilato Atracurio Čīle, Portugāle, Spānija
Faulcurium Ēģipte, Portugāle
Gelolagar Argentīna
Laurak Spānija
Neucurium Turcija
Notrixum Turcija
Relactrac Kolumbija
Relatrac Meksika
Tracrium Amerikas Savienotās Valstis, Apvienotie Arābu Emirāti, Austrija, Beļģija, Čīle, Ēģipte, Ekvadora, Francija, Grieķija, Holande, Irāna, Īrija, Itālija, Jaunzēlande, Kolumbija, Lielbritānija, Luksemburga, Malaizija, Maroka, Meksika, Polija, Portugāle, Rumānija, Saūda Arābija, Slovēnija, Spānija, Šveice, Turcija, Ungārija, Vācija
Tracumek Peru
Tracurix Argentīna
Tracuron Argentīna
Saderība   Injekcija   Saderība : Atracurium besylate              
Šī tabula parāda zāļu saderību vai nesaderību, pēc iespējas arī nesaderības tipu (precipitācija, krāsas maiņa, emulsijas sadalīšanās utt). Parādītas šeit saderības ir pārsvarā tikai fizikālās, pēc iespējas tiek parādīta ķīmiskā stabilitāte katrai molekulai. Šo maisījumu analīze tikai veikta, lai izprastu iespējamību ievadīt zāles Y-savienojuma vietā sistēmā pacientam. Šie dati nevar tikt izmantoti, lai pagatavot zāļu maisījumus vēlākai lietošanai maisos vai šļircēs. Šī informācija ir pieejama sadaļā "Maisījuma stabilitāte".
Savienojums Šķīdinātājs Literatūras saraksts
Neprecizēta nesaderība Nesavienojams
Injekcija Atracurium besylate
Injekcija Amobarbital sodium
3676
Nesavienojams
Injekcija Atracurium besylate 0.5 mg/ml
Ringera laktāta šķīdums 1093
Savietojams
Injekcija Atracurium besylate 0.5 mg/ml
Injekcija Aminophylline 1 mg/ml
5% glikoze 402
Savietojams
Injekcija Atracurium besylate 5 mg/ml
Injekcija Amiodarone hydrochloride 6 mg/ml
5% glikoze 1611
Savietojams
Injekcija Atracurium besylate 0.5 mg/ml
Injekcija Cefazolin sodium 10 mg/ml
5% glikoze 402
Savietojams
Injekcija Atracurium besylate
5% glikoze 3629
Savietojams
Injekcija Atracurium besylate 0.5 mg/ml
Injekcija Cefuroxime sodium 7.5 mg/ml
5% glikoze 402
Savietojams
Injekcija Atracurium besylate 0.5 mg/ml
Injekcija Co-trimoxazole 3.2/0.64 mg/ml
5% glikoze 402
Tūlītēji nokrišņi Nesavienojams
Injekcija Atracurium besylate 0.5 mg/ml
Injekcija Diazepam 5 mg/ml
5% glikoze 402
Tūlītēji nokrišņi Nesavienojams
Injekcija Atracurium besylate
Injekcija Diclofenac
1647
Savietojams
Injekcija Atracurium besylate 0.5 mg/ml
Injekcija Dopamine hydrochloride 1.6 mg/ml
5% glikoze 402
Neprecizēta nesaderība Nesavienojams
Injekcija Atracurium besylate
NaHCO3 3676
Savietojams
Injekcija Atracurium besylate 0.5 mg/ml
Injekcija Cimetidine hydrochloride 6 mg/ml
5% glikoze 402
Savietojams
Injekcija Atracurium besylate
Injekcija Dexmedetomidine
5042
Savietojams
Injekcija Atracurium besylate 0.5 mg/ml
Injekcija Dobutamine hydrochloride 1 mg/ml
5% glikoze 402
Neprecizēta nesaderība Nesavienojams
Injekcija Atracurium besylate
NaHCO3 3629
Savietojams
Injekcija Atracurium besylate 2 mg/ml
Injekcija Ciprofloxacin lactate 2 mg/ml
5% glikoze 285
Savietojams
Injekcija Atracurium besylate 0.5 mg/ml
Injekcija Epinephrine hydrochloride 4 µg/ml
5% glikoze 402
Savietojams
Injekcija Atracurium besylate 0.5 mg/ml
Injekcija Esmolol hydrochloride 10 mg/ml
5% glikoze 402
Savietojams
Injekcija Atracurium besylate 10 mg/ml
Parenterāla barošana (lipīdu-free) 939
Savietojams
Injekcija Atracurium besylate 10 mg/ml
Injekcija Etomidate 2 mg/ml
Nekāds 319
Savietojams
Injekcija Atracurium besylate 0.5 mg/ml
Injekcija Fenoldopam mesylate 80 µg/ml
Nātrija hlorīds 0.9% 1803
Savietojams
Injekcija Atracurium besylate 0.5 mg/ml
Injekcija Fentanyl citrate 10 µg/ml
5% glikoze 402
Savietojams
Injekcija Atracurium besylate 0.5 mg/ml
Injekcija Gentamicin sulfate 2 mg/ml
5% glikoze 402
Savietojams
Injekcija Atracurium besylate 0.5 mg/ml
Injekcija Heparin sodium 40 UI/ml
5% glikoze 402
Savietojams
Injekcija Atracurium besylate 0.5 mg/ml
Injekcija Hetastarch 60 mg/ml
īpašu šķīdinātāju 1721
Savietojams
Injekcija Atracurium besylate 0.5 mg/ml
Injekcija Hydrocortisone sodium succinate 1 mg/ml
5% glikoze 402
Savietojams
Injekcija Atracurium besylate 0.5 mg/ml
Injekcija Isoprenaline hydrochloride 0.004 mg/ml
5% glikoze 402
Savietojams
Injekcija Atracurium besylate 0.5 mg/ml
Injekcija Lorazepam 0.5 mg/ml
5% glikoze 402
Neprecizēta nesaderība Nesavienojams
Injekcija Atracurium besylate
Injekcija Methohexital sodium
3676
Savietojams
Injekcija Atracurium besylate 1 & 5 mg/ml
Injekcija Midazolam hydrochloride 0.1 & 0.5 mg/ml
5% glikoze 865
Savietojams
Injekcija Atracurium besylate 0.5 mg/ml
Injekcija Midazolam hydrochloride 0.05 mg/ml
5% glikoze 402
Savietojams
Injekcija Atracurium besylate 2 mg/ml
Injekcija Milrinone lactate 0.8 mg/ml
5% glikoze 813
Savietojams
Injekcija Atracurium besylate 0.5 mg/ml
Injekcija Morphine sulfate 1 mg/ml
5% glikoze 402
Savietojams
Injekcija Atracurium besylate 0.5 mg/ml
Injekcija Nitroglycerin 0.4 mg/ml
5% glikoze 402
Savietojams
Injekcija Atracurium besylate 0.5 mg/ml
Injekcija Nitroprusside sodium 0.2 mg/ml
5% glikoze 402
Neprecizēta nesaderība Nesavienojams
Injekcija Atracurium besylate
Injekcija Pentobarbital sodium
3676
Neprecizēta nesaderība Nesavienojams
Injekcija Atracurium besylate
Injekcija Phenobarbital sodium
3676
Tūlītēja emulsijas nestabilitāte Nesavienojams
Injekcija Atracurium besylate 10 mg/ml
Injekcija Propofol 10 mg/ml
Nekāds 300
Emulsijas nestabilitāte pēc 1 stundas Nesavienojams
Injekcija Atracurium besylate 10 mg/ml
Injekcija Propofol
660
Neprecizēta nesaderība Nesavienojams
Injekcija Atracurium besylate
Injekcija Propofol
3659
Savietojams
Injekcija Atracurium besylate 10 mg/ml
Injekcija Propofol 2 mg/ml
Nekāds 319
Neprecizēta nesaderība Nesavienojams
Injekcija Atracurium besylate
Injekcija Propofol
3502
Savietojams
Injekcija Atracurium besylate 0.5 mg/ml
Injekcija Ranitidine hydrochloride 0.5 mg/ml
5% glikoze 402
Neprecizēta nesaderība Nesavienojams
Injekcija Atracurium besylate
Injekcija Sodium bicarbonate
3629
Neprecizēta nesaderība Nesavienojams
Injekcija Atracurium besylate
Injekcija Sodium bicarbonate
3676
Tūlītēji nokrišņi Nesavienojams
Injekcija Atracurium besylate
Injekcija Thiopental sodium
3373
Neprecizēta nesaderība Nesavienojams
Injekcija Atracurium besylate
Injekcija Thiopental sodium
3629
Neprecizēta nesaderība Nesavienojams
Injekcija Atracurium besylate
Injekcija Thiopental sodium
3676
Savietojams
Injekcija Atracurium besylate 0.2 mg/ml
Injekcija Valproic acid 2 & 20 mg/ml
Nātrija hlorīds 0.9% 4428
Savietojams
Injekcija Atracurium besylate
Nātrija hlorīds 0.9% 3629
Tūlītēja duļķainība Nesavienojams
Injekcija Atracurium besylate 10 mg/ml
Injekcija Thiopental sodium 25 mg/ml
Ūdens injekcijām 319
Savietojams
Injekcija Atracurium besylate 0.2 mg/ml
Injekcija Valproic acid 2 & 20 mg/ml
5% glikoze 4428
Savietojams
Injekcija Atracurium besylate 0.5 mg/ml
Injekcija Vancomycin hydrochloride 5 mg/ml
5% glikoze 402

  Mentions Légales