Cập nhật lần cuối :
18/03/2026
Thuốc giải độc   Sugammadex  
Dạng tiêm
Tính ổn định của các dung dịch Độ ổn định khi trộn lẫn Những yếu tố ảnh hưởng đến độ ổn định Khả năng tương thích Đường dùng Tài liệu tham khảo Pdf
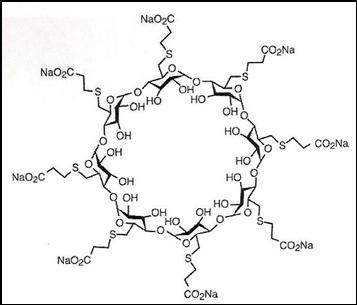
   Cấu trúc hóa học  

Tên thương mại   Tên thương mại     

Các tên thương mại được cung cấp và thành phần tá dược có thể khác nhau giữa các quốc gia và các hãng dược

Bridion Anh, Argentina, Bỉ, Bồ Đào Nha, Brazil, Chile, Colombia, Ecuador, Hungary, Iceland, Ireland, Luxembourg, Malaysia, Mexico, Na Uy, new zealand, Nhật, Peru, Pháp, Romania, Tây Ban Nha, Thổ Nhĩ Kỳ, Thụy Sỹ, Úc, Ý, Đan Mạch, Đức
Desintunev Mexico
Sagomyl Chile
Sugadion Chile
Sugamastar Peru
Sugammadex Bỉ, Chile, Hungary, Ireland, Phần Lan, Tây Ban Nha, Ý
Suvitali Mexico
Khả năng tương thích   Dạng tiêm   Khả năng tương thích : Sugammadex              
Màn hình này cho biết khả năng tương thích hoặc không tương thích, trong trường hợp này là loại không tương thích (kết tủa, thay đổi màu sắc, sửa đổi nhũ tương, v.v.). Sự tương hợp được chỉ ra ở đây chủ yếu chỉ là vật lý, với độ ổn định hóa học của mỗi phân tử hiếm khi được đánh giá. Việc đánh giá các hỗn hợp này được nghiên cứu để xem xét khả năng sử dụng vị trí Y cho bệnh nhân. Những dữ liệu này không thể được sử dụng để tạo hỗn hợp trước trong túi hoặc ống tiêm. Loại thông tin này có sẵn trong màn hình "Độ ổn định trong hỗn hợp».
Phân tử Dung môi Mục lục
Tương thích
Dạng tiêm Sugammadex 100 mg/ml
Dạng tiêm Aminophylline 24 mg/ml
Không 3372
Lượng mưa ngay lập tức Không tương thích
Dạng tiêm Sugammadex 100 mg/ml
Dạng tiêm Amiodarone hydrochloride 50 mg/ml
Không 3372
Tương thích
Dạng tiêm Sugammadex 100 mg/ml
Dạng tiêm Ampicillin sodium - sulbactam sodium 200 mg/ml
Không 3372
Tương thích
Dạng tiêm Sugammadex 100 mg/ml
Dạng tiêm Atropine sulfate 1 mg/ml
Không 3372
Tương thích
Dạng tiêm Sugammadex 100 mg/ml
Dạng tiêm Bupivacaine hydrochloride 5 mg/ml
Không 3372
Tương thích
Dạng tiêm Sugammadex 100 mg/ml
Dạng tiêm Cefazolin sodium 250 mg/ml
Không 3372
Tương thích
Dạng tiêm Sugammadex 100 mg/ml
Dạng tiêm Dexmedetomidine 100 µg/ml
Không 3372
Lượng mưa ngay lập tức Không tương thích
Dạng tiêm Sugammadex 100 mg/ml
Dạng tiêm Dobutamine hydrochloride 12.5 mg/ml
Không 3372
Tương thích
Dạng tiêm Sugammadex 100 mg/ml
Dạng tiêm Dopamine hydrochloride 8 mg/ml
Không 3372
Tương thích
Dạng tiêm Sugammadex 100 mg/ml
Dạng tiêm Ephedrine hydrochloride 50 mg/ml
Không 3372
Tương thích
Dạng tiêm Sugammadex 100 mg/ml
Dạng tiêm Epinephrine hydrochloride 1000 µg/ml
Không 3372
Tương thích
Dạng tiêm Sugammadex 100 mg/ml
Dạng tiêm Esomeprazole sodium 40 mg/ml
Không 3372
Tương thích
Dạng tiêm Sugammadex 100 mg/ml
Dạng tiêm Etomidate 2 mg/ml
Không 3372
Tương thích
Dạng tiêm Sugammadex 100 mg/ml
Dạng tiêm Fentanyl citrate 50 µg/ml
Không 3372
Tương thích
Dạng tiêm Sugammadex 100 mg/ml
Dạng tiêm Flumazenil 0.1 mg/ml
Không 3372
Tương thích
Dạng tiêm Sugammadex 100 mg/ml
Dạng tiêm Furosemide 10 mg/ml
Không 3372
Tương thích
Dạng tiêm Sugammadex 100 mg/ml
Dạng tiêm Gentamicin sulfate 40 mg/ml
Không 3372
Tương thích
Dạng tiêm Sugammadex 100 mg/ml
Dạng tiêm Heparin sodium 1000 UI/ml
Không 3372
Tương thích
Dạng tiêm Sugammadex 100 mg/ml
Dạng tiêm Hydrocortisone sodium succinate 250 mg/ml
Không 3372
Tương thích
Dạng tiêm Sugammadex 100 mg/ml
Dạng tiêm Insulin 100 UI/ml
Không 3372
Tương thích
Dạng tiêm Sugammadex 100 mg/ml
Dạng tiêm Ketamine hydrochloride 50 mg/ml
Không 3372
Tương thích
Dạng tiêm Sugammadex 100 mg/ml
Dạng tiêm Levobupivacaine hydrochloride 7.5 mg/ml
Không 3372
Tương thích
Dạng tiêm Sugammadex 100 mg/ml
Dạng tiêm Magnesium sulfate 72.24 mg/ml
Không 3372
Tương thích
Dạng tiêm Sugammadex 100 mg/ml
Dạng tiêm Metamizol sodium 500 mg/ml
Không 3372
Tương thích
Dạng tiêm Sugammadex 100 mg/ml
Dạng tiêm Metoclopramide hydrochloride 5 mg/ml
Không 3372
Tương thích
Dạng tiêm Sugammadex 100 mg/ml
Dạng tiêm Metoprolol tartrate 1 mg/ml
Không 3372
Tương thích
Dạng tiêm Sugammadex 100 mg/ml
Dạng tiêm Midazolam hydrochloride 5 mg/ml
Không 3372
Tương thích
Dạng tiêm Sugammadex 100 mg/ml
Dạng tiêm N-acetylcysteine 100 mg/ml
Không 3372
Tương thích
Dạng tiêm Sugammadex 100 mg/ml
Dạng tiêm Naloxone hydrochloride 0.4 mg/ml
Không 3372
Tương thích
Dạng tiêm Sugammadex 100 mg/ml
Dạng tiêm Neostigmine methylsulfate 0.5 mg/ml
Không 3372
Tương thích
Dạng tiêm Sugammadex 100 mg/ml
Dạng tiêm Nitroglycerin 5 mg/ml
Không 3372
Tương thích
Dạng tiêm Sugammadex 100 mg/ml
Dạng tiêm Nitroprusside sodium 12 mg/ml
Không 3372
Tương thích
Dạng tiêm Sugammadex 100 mg/ml
Dạng tiêm Norepinephrine bitartrate 1 mg/ml
Không 3372
Không tương thích không xác định Không tương thích
Dạng tiêm Sugammadex
Dạng tiêm Ondansetron hydrochloride
2328
Tương thích
Dạng tiêm Sugammadex 100 mg/ml
Dạng tiêm Ornidazole 166.67 mg/ml
Không 3372
Tương thích
Dạng tiêm Sugammadex 100 mg/ml
Dạng tiêm Oxytocin 5 UI/ml
Không 3372
Tương thích
Dạng tiêm Sugammadex 100 mg/ml
Dạng tiêm Paracetamol 10 mg/ml
Không 3372
Tương thích
Dạng tiêm Sugammadex 100 mg/ml
Dạng tiêm Pethidine hydrochloride 50 mg/ml
Không 3372
Tương thích
Dạng tiêm Sugammadex 100 mg/ml
Dạng tiêm Phenytoin sodium 50 mg/ml
Không 3372
Tương thích
Dạng tiêm Sugammadex 100 mg/ml
Dạng tiêm Phytomenadione 10 mg/ml
Không 3372
Lượng mưa ngay lập tức Không tương thích
Dạng tiêm Sugammadex 100 mg/ml
Dạng tiêm Protamine hydrochloride 1000 UI/ml
Không 3372
Tương thích
Dạng tiêm Sugammadex
NaCl 0,45% Glucose 2,5% 2328
Tương thích
Dạng tiêm Sugammadex
Dung dịch Ringer’s lactate 2328
Tương thích
Dạng tiêm Sugammadex 100 mg/ml
Dạng tiêm Thiopental sodium 25 mg/ml
Không 3372
Tương thích
Dạng tiêm Sugammadex
Glucose 5% 2328
Tương thích
Dạng tiêm Sugammadex
NaCl 0,9% 2328
Tương thích
Dạng tiêm Sugammadex 100 mg/ml
Dạng tiêm Propafenone hydrochloride 3.5 mg/ml
Không 3372
Không tương thích không xác định Không tương thích
Dạng tiêm Sugammadex
Dạng tiêm Ranitidine hydrochloride
2328
Tương thích
Dạng tiêm Sugammadex 100 mg/ml
Dạng tiêm Remifentanil hydrochloride 5000 µg/ml
Không 3372
Tương thích
Dạng tiêm Sugammadex 100 mg/ml
Dạng tiêm Tenoxicam 10 mg/ml
Không 3372
Tương thích
Dạng tiêm Sugammadex 100 mg/ml
Dạng tiêm Theophylline 24 mg/ml
Không 3372
Tương thích
Dạng tiêm Sugammadex 100 mg/ml
Dạng tiêm Tramadol hydrochloride 50 mg/ml
Không 3372
Không tương thích không xác định Không tương thích
Dạng tiêm Sugammadex
Dạng tiêm Verapamil hydrochloride
2328

  Mentions Légales