Laatste update :
18/03/2026
Antidotum   Sugammadex  
injecteerbaar geneesmiddel
Stabiliteit in oplossing Stabiliteit in mengsels Factoren die de stabiliteit beïnvloeden Verenigbaarheden Toedieningswijze Literatuur pdf
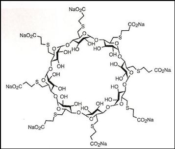
   Molecuulstructuur  

Merknamen in verschillende landen   Merknamen in verschillende landen     

Handelsnamen zijn slechts een indicatie; de samenstelling van hulpstoffen kan per land variëren afhankelijk van de fabrikant

Bridion Argentinië, Australië, België, Brazilië, Chili, Colombia, Denemarken, Duitsland, Ecuador, Frankrijk, Groot Britannië, Hongarije, Ierland, IJsland, Italië, Japan, Luxemburg, Maleisië, Mexico, nieuw Zeeland, Noorwegen, Peru, Portugal, Roemenië, Spanje, Turkije, Zwitserland
Desintunev Mexico
Sagomyl Chili
Sugadion Chili
Sugamastar Peru
Sugammadex België, Chili, Finland, Hongarije, Ierland, Italië, Spanje
Suvitali Mexico
Verenigbaarheden   injecteerbaar geneesmiddel   Verenigbaarheden : Sugammadex              
In dit scherm worden de verenigbaarheden en onverenigbaarheden weergegeven. In het geval van een onverenigbaarheid wordt ook het type (neerslag, kleurverandering, modificatie van een emulsie, etc) weergegeven. De weergegeven verenigbaarheden zijn meestal alleen op uiterlijk beoordeeld, er heeft zelden een chemische beoordeling van iedere component plaatsgevonden. De verenigbaarheden betreffen gelijktijdige toediening aan de patient middels de Y-site. De data kan niet gebruikt worden in de beoordeling van verenigbaarheden van componenten in infuuszakken of spuiten. Die informatie is te vinden onder ‘stabiliteit in mengsels’.
Stof Oplosmiddel Literatuur
Verenigbaar
injecteerbaar geneesmiddel Sugammadex 100 mg/ml
injecteerbaar geneesmiddel Aminophylline 24 mg/ml
Geen 3372
Onmiddellijke neerslag Onverenigbaar
injecteerbaar geneesmiddel Sugammadex 100 mg/ml
injecteerbaar geneesmiddel Amiodarone hydrochloride 50 mg/ml
Geen 3372
Verenigbaar
injecteerbaar geneesmiddel Sugammadex 100 mg/ml
injecteerbaar geneesmiddel Ampicillin sodium - sulbactam sodium 200 mg/ml
Geen 3372
Verenigbaar
injecteerbaar geneesmiddel Sugammadex 100 mg/ml
injecteerbaar geneesmiddel Atropine sulfate 1 mg/ml
Geen 3372
Verenigbaar
injecteerbaar geneesmiddel Sugammadex 100 mg/ml
injecteerbaar geneesmiddel Bupivacaine hydrochloride 5 mg/ml
Geen 3372
Verenigbaar
injecteerbaar geneesmiddel Sugammadex 100 mg/ml
injecteerbaar geneesmiddel Cefazolin sodium 250 mg/ml
Geen 3372
Verenigbaar
injecteerbaar geneesmiddel Sugammadex 100 mg/ml
injecteerbaar geneesmiddel Dexmedetomidine 100 µg/ml
Geen 3372
Onmiddellijke neerslag Onverenigbaar
injecteerbaar geneesmiddel Sugammadex 100 mg/ml
injecteerbaar geneesmiddel Dobutamine hydrochloride 12.5 mg/ml
Geen 3372
Verenigbaar
injecteerbaar geneesmiddel Sugammadex 100 mg/ml
injecteerbaar geneesmiddel Dopamine hydrochloride 8 mg/ml
Geen 3372
Verenigbaar
injecteerbaar geneesmiddel Sugammadex 100 mg/ml
injecteerbaar geneesmiddel Ephedrine hydrochloride 50 mg/ml
Geen 3372
Verenigbaar
injecteerbaar geneesmiddel Sugammadex 100 mg/ml
injecteerbaar geneesmiddel Epinephrine hydrochloride 1000 µg/ml
Geen 3372
Verenigbaar
injecteerbaar geneesmiddel Sugammadex 100 mg/ml
injecteerbaar geneesmiddel Esomeprazole sodium 40 mg/ml
Geen 3372
Verenigbaar
injecteerbaar geneesmiddel Sugammadex 100 mg/ml
injecteerbaar geneesmiddel Etomidate 2 mg/ml
Geen 3372
Verenigbaar
injecteerbaar geneesmiddel Sugammadex 100 mg/ml
injecteerbaar geneesmiddel Fentanyl citrate 50 µg/ml
Geen 3372
Verenigbaar
injecteerbaar geneesmiddel Sugammadex 100 mg/ml
injecteerbaar geneesmiddel Flumazenil 0.1 mg/ml
Geen 3372
Verenigbaar
injecteerbaar geneesmiddel Sugammadex 100 mg/ml
injecteerbaar geneesmiddel Furosemide 10 mg/ml
Geen 3372
Verenigbaar
injecteerbaar geneesmiddel Sugammadex 100 mg/ml
injecteerbaar geneesmiddel Gentamicin sulfate 40 mg/ml
Geen 3372
Verenigbaar
injecteerbaar geneesmiddel Sugammadex 100 mg/ml
injecteerbaar geneesmiddel Heparin sodium 1000 UI/ml
Geen 3372
Verenigbaar
injecteerbaar geneesmiddel Sugammadex 100 mg/ml
injecteerbaar geneesmiddel Hydrocortisone sodium succinate 250 mg/ml
Geen 3372
Verenigbaar
injecteerbaar geneesmiddel Sugammadex 100 mg/ml
injecteerbaar geneesmiddel Insulin 100 UI/ml
Geen 3372
Verenigbaar
injecteerbaar geneesmiddel Sugammadex 100 mg/ml
injecteerbaar geneesmiddel Ketamine hydrochloride 50 mg/ml
Geen 3372
Verenigbaar
injecteerbaar geneesmiddel Sugammadex 100 mg/ml
injecteerbaar geneesmiddel Levobupivacaine hydrochloride 7.5 mg/ml
Geen 3372
Verenigbaar
injecteerbaar geneesmiddel Sugammadex 100 mg/ml
injecteerbaar geneesmiddel Magnesium sulfate 72.24 mg/ml
Geen 3372
Verenigbaar
injecteerbaar geneesmiddel Sugammadex 100 mg/ml
injecteerbaar geneesmiddel Metamizol sodium 500 mg/ml
Geen 3372
Verenigbaar
injecteerbaar geneesmiddel Sugammadex 100 mg/ml
injecteerbaar geneesmiddel Metoclopramide hydrochloride 5 mg/ml
Geen 3372
Verenigbaar
injecteerbaar geneesmiddel Sugammadex 100 mg/ml
injecteerbaar geneesmiddel Metoprolol tartrate 1 mg/ml
Geen 3372
Verenigbaar
injecteerbaar geneesmiddel Sugammadex 100 mg/ml
injecteerbaar geneesmiddel Midazolam hydrochloride 5 mg/ml
Geen 3372
Verenigbaar
injecteerbaar geneesmiddel Sugammadex 100 mg/ml
injecteerbaar geneesmiddel N-acetylcysteine 100 mg/ml
Geen 3372
Verenigbaar
injecteerbaar geneesmiddel Sugammadex 100 mg/ml
injecteerbaar geneesmiddel Naloxone hydrochloride 0.4 mg/ml
Geen 3372
Verenigbaar
injecteerbaar geneesmiddel Sugammadex 100 mg/ml
injecteerbaar geneesmiddel Neostigmine methylsulfate 0.5 mg/ml
Geen 3372
Verenigbaar
injecteerbaar geneesmiddel Sugammadex 100 mg/ml
injecteerbaar geneesmiddel Nitroglycerin 5 mg/ml
Geen 3372
Verenigbaar
injecteerbaar geneesmiddel Sugammadex 100 mg/ml
injecteerbaar geneesmiddel Nitroprusside sodium 12 mg/ml
Geen 3372
Verenigbaar
injecteerbaar geneesmiddel Sugammadex 100 mg/ml
injecteerbaar geneesmiddel Norepinephrine bitartrate 1 mg/ml
Geen 3372
Niet-gespecificeerde incompatibiliteit Onverenigbaar
injecteerbaar geneesmiddel Sugammadex
injecteerbaar geneesmiddel Ondansetron hydrochloride
2328
Verenigbaar
injecteerbaar geneesmiddel Sugammadex 100 mg/ml
injecteerbaar geneesmiddel Ornidazole 166.67 mg/ml
Geen 3372
Verenigbaar
injecteerbaar geneesmiddel Sugammadex 100 mg/ml
injecteerbaar geneesmiddel Oxytocin 5 UI/ml
Geen 3372
Verenigbaar
injecteerbaar geneesmiddel Sugammadex 100 mg/ml
injecteerbaar geneesmiddel Paracetamol 10 mg/ml
Geen 3372
Verenigbaar
injecteerbaar geneesmiddel Sugammadex 100 mg/ml
injecteerbaar geneesmiddel Pethidine hydrochloride 50 mg/ml
Geen 3372
Verenigbaar
injecteerbaar geneesmiddel Sugammadex 100 mg/ml
injecteerbaar geneesmiddel Phenytoin sodium 50 mg/ml
Geen 3372
Verenigbaar
injecteerbaar geneesmiddel Sugammadex 100 mg/ml
injecteerbaar geneesmiddel Phytomenadione 10 mg/ml
Geen 3372
Onmiddellijke neerslag Onverenigbaar
injecteerbaar geneesmiddel Sugammadex 100 mg/ml
injecteerbaar geneesmiddel Protamine hydrochloride 1000 UI/ml
Geen 3372
Verenigbaar
injecteerbaar geneesmiddel Sugammadex
NaCl 0,45% glucose 2,5% 2328
Verenigbaar
injecteerbaar geneesmiddel Sugammadex
Ringer-lactaat 2328
Verenigbaar
injecteerbaar geneesmiddel Sugammadex 100 mg/ml
injecteerbaar geneesmiddel Thiopental sodium 25 mg/ml
Geen 3372
Verenigbaar
injecteerbaar geneesmiddel Sugammadex
Glucose 5% 2328
Verenigbaar
injecteerbaar geneesmiddel Sugammadex
Natriumchloride 0,9% 2328
Verenigbaar
injecteerbaar geneesmiddel Sugammadex 100 mg/ml
injecteerbaar geneesmiddel Propafenone hydrochloride 3.5 mg/ml
Geen 3372
Niet-gespecificeerde incompatibiliteit Onverenigbaar
injecteerbaar geneesmiddel Sugammadex
injecteerbaar geneesmiddel Ranitidine hydrochloride
2328
Verenigbaar
injecteerbaar geneesmiddel Sugammadex 100 mg/ml
injecteerbaar geneesmiddel Remifentanil hydrochloride 5000 µg/ml
Geen 3372
Verenigbaar
injecteerbaar geneesmiddel Sugammadex 100 mg/ml
injecteerbaar geneesmiddel Tenoxicam 10 mg/ml
Geen 3372
Verenigbaar
injecteerbaar geneesmiddel Sugammadex 100 mg/ml
injecteerbaar geneesmiddel Theophylline 24 mg/ml
Geen 3372
Verenigbaar
injecteerbaar geneesmiddel Sugammadex 100 mg/ml
injecteerbaar geneesmiddel Tramadol hydrochloride 50 mg/ml
Geen 3372
Niet-gespecificeerde incompatibiliteit Onverenigbaar
injecteerbaar geneesmiddel Sugammadex
injecteerbaar geneesmiddel Verapamil hydrochloride
2328

  Mentions Légales