Seneste opdatering :
18/03/2026
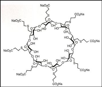
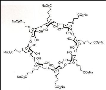
Antidot   Sugammadex  
Injektion
Stabilitet i (vandige) opløsninger Stabilitet i blandinger Faktorer der påvirker stabiliteten Kompatibilitet Administrationsvej Bibliografi pdf
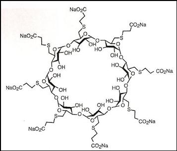
   Kemisk struktur  

Handelsnavn   Handelsnavn     

Handel navne er vejledende og hjælpestoffer sammensætning kan være forskellig afhængigt af landet og laboratorier

Bridion Argentina, Australien, Belgien, Brasilien, Chile, Colombia, Danmark, Ecuador, Frankrig, Irland, Island, Italien, Japan, Luxemborg, Malaysia, Marokko, Mexico, New Zealand, Norge, Portugal, Rumænien, Schweiz, Spanien, Storbritanien, Tyrkiet, Tyskland, Ungarn
Desintunev Mexico
Sagomyl Chile
Sugadion Chile
Sugamastar Marokko
Sugammadex Belgien, Chile, Finland, Irland, Italien, Spanien, Ungarn
Suvitali Mexico
Kompatibilitet   Injektion   Kompatibilitet : Sugammadex              
Denne skærm viser kompatibilitet eller uforenelighed med, i dette tilfælde typen af inkompatibilitet (udfældning, farveændring, ændring af en emulsion osv.). Kompatibiliteterne vist her er for det meste kun fysiske, idet den kemiske stabilitet af hvert molekyle sjældent vurderes. Evalueringen af disse blandinger blev undersøgt for at overveje muligheden for Y-sted-administration til patienten. Disse data kan ikke bruges til at fremstille blandinger på forhånd i poser eller sprøjter. Denne type information findes på skærmen "Stabilitet i blanding".
Molekyle Opløsningsmiddel Bibliografi
Kompatibel
Injektion Sugammadex 100 mg/ml
Injektion Aminophylline 24 mg/ml
Ingen 3372
Umiddelbar nedbør Uforenelig
Injektion Sugammadex 100 mg/ml
Injektion Amiodarone hydrochloride 50 mg/ml
Ingen 3372
Kompatibel
Injektion Sugammadex 100 mg/ml
Injektion Ampicillin sodium - sulbactam sodium 200 mg/ml
Ingen 3372
Kompatibel
Injektion Sugammadex 100 mg/ml
Injektion Atropine sulfate 1 mg/ml
Ingen 3372
Kompatibel
Injektion Sugammadex 100 mg/ml
Injektion Bupivacaine hydrochloride 5 mg/ml
Ingen 3372
Kompatibel
Injektion Sugammadex 100 mg/ml
Injektion Cefazolin sodium 250 mg/ml
Ingen 3372
Kompatibel
Injektion Sugammadex 100 mg/ml
Injektion Dexmedetomidine 100 µg/ml
Ingen 3372
Umiddelbar nedbør Uforenelig
Injektion Sugammadex 100 mg/ml
Injektion Dobutamine hydrochloride 12.5 mg/ml
Ingen 3372
Kompatibel
Injektion Sugammadex 100 mg/ml
Injektion Dopamine hydrochloride 8 mg/ml
Ingen 3372
Kompatibel
Injektion Sugammadex 100 mg/ml
Injektion Ephedrine hydrochloride 50 mg/ml
Ingen 3372
Kompatibel
Injektion Sugammadex 100 mg/ml
Injektion Epinephrine hydrochloride 1000 µg/ml
Ingen 3372
Kompatibel
Injektion Sugammadex 100 mg/ml
Injektion Esomeprazole sodium 40 mg/ml
Ingen 3372
Kompatibel
Injektion Sugammadex 100 mg/ml
Injektion Etomidate 2 mg/ml
Ingen 3372
Kompatibel
Injektion Sugammadex 100 mg/ml
Injektion Fentanyl citrate 50 µg/ml
Ingen 3372
Kompatibel
Injektion Sugammadex 100 mg/ml
Injektion Flumazenil 0.1 mg/ml
Ingen 3372
Kompatibel
Injektion Sugammadex 100 mg/ml
Injektion Furosemide 10 mg/ml
Ingen 3372
Kompatibel
Injektion Sugammadex 100 mg/ml
Injektion Gentamicin sulfate 40 mg/ml
Ingen 3372
Kompatibel
Injektion Sugammadex 100 mg/ml
Injektion Heparin sodium 1000 UI/ml
Ingen 3372
Kompatibel
Injektion Sugammadex 100 mg/ml
Injektion Hydrocortisone sodium succinate 250 mg/ml
Ingen 3372
Kompatibel
Injektion Sugammadex 100 mg/ml
Injektion Insulin 100 UI/ml
Ingen 3372
Kompatibel
Injektion Sugammadex 100 mg/ml
Injektion Ketamine hydrochloride 50 mg/ml
Ingen 3372
Kompatibel
Injektion Sugammadex 100 mg/ml
Injektion Levobupivacaine hydrochloride 7.5 mg/ml
Ingen 3372
Kompatibel
Injektion Sugammadex 100 mg/ml
Injektion Magnesium sulfate 72.24 mg/ml
Ingen 3372
Kompatibel
Injektion Sugammadex 100 mg/ml
Injektion Metamizol sodium 500 mg/ml
Ingen 3372
Kompatibel
Injektion Sugammadex 100 mg/ml
Injektion Metoclopramide hydrochloride 5 mg/ml
Ingen 3372
Kompatibel
Injektion Sugammadex 100 mg/ml
Injektion Metoprolol tartrate 1 mg/ml
Ingen 3372
Kompatibel
Injektion Sugammadex 100 mg/ml
Injektion Midazolam hydrochloride 5 mg/ml
Ingen 3372
Kompatibel
Injektion Sugammadex 100 mg/ml
Injektion N-acetylcysteine 100 mg/ml
Ingen 3372
Kompatibel
Injektion Sugammadex 100 mg/ml
Injektion Naloxone hydrochloride 0.4 mg/ml
Ingen 3372
Kompatibel
Injektion Sugammadex 100 mg/ml
Injektion Neostigmine methylsulfate 0.5 mg/ml
Ingen 3372
Kompatibel
Injektion Sugammadex 100 mg/ml
Injektion Nitroglycerin 5 mg/ml
Ingen 3372
Kompatibel
Injektion Sugammadex 100 mg/ml
Injektion Nitroprusside sodium 12 mg/ml
Ingen 3372
Kompatibel
Injektion Sugammadex 100 mg/ml
Injektion Norepinephrine bitartrate 1 mg/ml
Ingen 3372
Uspecificeret inkompatibilitet Uforenelig
Injektion Sugammadex
Injektion Ondansetron hydrochloride
2328
Kompatibel
Injektion Sugammadex 100 mg/ml
Injektion Ornidazole 166.67 mg/ml
Ingen 3372
Kompatibel
Injektion Sugammadex 100 mg/ml
Injektion Oxytocin 5 UI/ml
Ingen 3372
Kompatibel
Injektion Sugammadex 100 mg/ml
Injektion Paracetamol 10 mg/ml
Ingen 3372
Kompatibel
Injektion Sugammadex 100 mg/ml
Injektion Pethidine hydrochloride 50 mg/ml
Ingen 3372
Kompatibel
Injektion Sugammadex 100 mg/ml
Injektion Phenytoin sodium 50 mg/ml
Ingen 3372
Kompatibel
Injektion Sugammadex 100 mg/ml
Injektion Phytomenadione 10 mg/ml
Ingen 3372
Umiddelbar nedbør Uforenelig
Injektion Sugammadex 100 mg/ml
Injektion Protamine hydrochloride 1000 UI/ml
Ingen 3372
Kompatibel
Injektion Sugammadex
NaCl 0,45% Glukose 2,5% 2328
Kompatibel
Injektion Sugammadex
Ringer laktat 2328
Kompatibel
Injektion Sugammadex 100 mg/ml
Injektion Thiopental sodium 25 mg/ml
Ingen 3372
Kompatibel
Injektion Sugammadex
5 % Glukose 2328
Kompatibel
Injektion Sugammadex
0,9 % Natriumklorid 2328
Kompatibel
Injektion Sugammadex 100 mg/ml
Injektion Propafenone hydrochloride 3.5 mg/ml
Ingen 3372
Uspecificeret inkompatibilitet Uforenelig
Injektion Sugammadex
Injektion Ranitidine hydrochloride
2328
Kompatibel
Injektion Sugammadex 100 mg/ml
Injektion Remifentanil hydrochloride 5000 µg/ml
Ingen 3372
Kompatibel
Injektion Sugammadex 100 mg/ml
Injektion Tenoxicam 10 mg/ml
Ingen 3372
Kompatibel
Injektion Sugammadex 100 mg/ml
Injektion Theophylline 24 mg/ml
Ingen 3372
Kompatibel
Injektion Sugammadex 100 mg/ml
Injektion Tramadol hydrochloride 50 mg/ml
Ingen 3372
Uspecificeret inkompatibilitet Uforenelig
Injektion Sugammadex
Injektion Verapamil hydrochloride
2328

  Mentions Légales