Dernière mise à jour :
17/12/2025
Antidote   Sugammadex  
injectable
Stabilité des solutions Stabilité en mélange Facteur influençant la stabilité Compatibilités Voie d’administration Bibliographie pdf
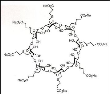
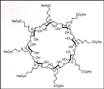
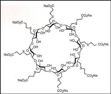
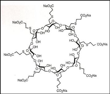
   Structure chimique  

Noms commerciaux   Noms commerciaux     

Les noms commerciaux sont donnés à titre indicatif et la composition en excipients peut être différente selon les pays et selon les laboratoires

Bridion Allemagne, Argentine, Australie, Belgique, Brésil, Chili, Colombie, Danemark, Equateur, Espagne, France, Grande Bretagne, Hongrie, Irlande, Islande, Italie, Japon, Luxembourg, Malaisie, Mexique, Norvège, Nouvelle Zélande, Pérou, Portugal, Roumanie, Suisse, Turquie
Desintunev Mexique
Sagomyl Chili
Sugadion Chili
Sugamastar Pérou
Sugammadex Belgique, Chili, Espagne, Finlande, Hongrie, Irlande, Italie
Suvitali Mexique
Bibliographie   injectable   Bibliographie : Sugammadex  
Type Source
2328 Laboratoire Sugammadex (Bridion®) – Résumé des caractéristiques du produits
Organon 2009
3372 Revue Hanci V, Ali Kiraz H, Ömür D, Ekin S, Uyan B, Yurtlu B.S.
Precipitation in Gallipoli: Sugammadex / Amiodarone & Sugammadex / Dobutamine & Sugammadex / Protamine.
Rev Bras Anestesiol 2013 ; 63, 1: 163-166.

  Mentions Légales