Posledná aktualizácia :
18/03/2026
antidotum   Sugammadex  
Injekcia
Stabilita roztokov Stabilita v zmesiach Faktory ovplyvňujúce stabilitu Kompatibility spôsob podania Odkazy na literatúru PDF
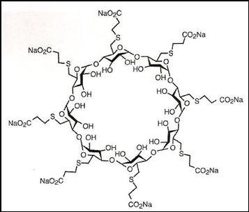
   Chemický vzorec  

Obchodný názov   Obchodný názov     

Obchodné názvy sú orientačné, a zloženie pomocných látok sa môže líšiť v závislosti od krajiny a výrobcu.

Bridion Argentína, Austrália, Belgicko, Brazília, Čile, Dánsko, Ekvádor, Francúzsko, Írsko, Island, Japonsko, Kolumbia, Luxembursko, Maďarsko, Malajzia, Mexiko, Nemecko, Nórsko, nový Zéland, peru, Portugalsko, Rumunsko, Španielsko, Švajčiarsko, Taliansko, Turecko, Veľká Británia
Desintunev Mexiko
Sagomyl Čile
Sugadion Čile
Sugamastar peru
Sugammadex Belgicko, Čile, Fínsko, Írsko, Maďarsko, Španielsko, Taliansko
Suvitali Mexiko
Kompatibility   Injekcia   Kompatibility : Sugammadex              
Toto okno zobrazuje kompatibility alebo inkombatibility, v prípade inkompatibility aj jej typ (vyzrážanie, zmena farby, zmena emulzie atď.). Tu vymenované kompatibility sú väčšinou len fyzikálne, chemická stabilita každej zo zlúčenín sa hodnotila len zriedkavo. Tieto zmesi sa skúmali za účelom možnosti súbežného podávania pacientovi cez infúznu spojku Y. Údaje sa nedajú použiť na prípravu zmesí vo vakoch alebo striekačkách. Taká informácia sa nachádza v okne „Stabilita v zmesiach“.
Zlúčenina rozpúšťadlo odkazy na lieteratúru
kompatibilný
Injekcia Sugammadex 100 mg/ml
Injekcia Aminophylline 24 mg/ml
Žiadny 3372
Okamžité zrážanie nezlučiteľný
Injekcia Sugammadex 100 mg/ml
Injekcia Amiodarone hydrochloride 50 mg/ml
Žiadny 3372
kompatibilný
Injekcia Sugammadex 100 mg/ml
Injekcia Ampicillin sodium - sulbactam sodium 200 mg/ml
Žiadny 3372
kompatibilný
Injekcia Sugammadex 100 mg/ml
Injekcia Atropine sulfate 1 mg/ml
Žiadny 3372
kompatibilný
Injekcia Sugammadex 100 mg/ml
Injekcia Bupivacaine hydrochloride 5 mg/ml
Žiadny 3372
kompatibilný
Injekcia Sugammadex 100 mg/ml
Injekcia Cefazolin sodium 250 mg/ml
Žiadny 3372
kompatibilný
Injekcia Sugammadex 100 mg/ml
Injekcia Dexmedetomidine 100 µg/ml
Žiadny 3372
Okamžité zrážanie nezlučiteľný
Injekcia Sugammadex 100 mg/ml
Injekcia Dobutamine hydrochloride 12.5 mg/ml
Žiadny 3372
kompatibilný
Injekcia Sugammadex 100 mg/ml
Injekcia Dopamine hydrochloride 8 mg/ml
Žiadny 3372
kompatibilný
Injekcia Sugammadex 100 mg/ml
Injekcia Ephedrine hydrochloride 50 mg/ml
Žiadny 3372
kompatibilný
Injekcia Sugammadex 100 mg/ml
Injekcia Epinephrine hydrochloride 1000 µg/ml
Žiadny 3372
kompatibilný
Injekcia Sugammadex 100 mg/ml
Injekcia Esomeprazole sodium 40 mg/ml
Žiadny 3372
kompatibilný
Injekcia Sugammadex 100 mg/ml
Injekcia Etomidate 2 mg/ml
Žiadny 3372
kompatibilný
Injekcia Sugammadex 100 mg/ml
Injekcia Fentanyl citrate 50 µg/ml
Žiadny 3372
kompatibilný
Injekcia Sugammadex 100 mg/ml
Injekcia Flumazenil 0.1 mg/ml
Žiadny 3372
kompatibilný
Injekcia Sugammadex 100 mg/ml
Injekcia Furosemide 10 mg/ml
Žiadny 3372
kompatibilný
Injekcia Sugammadex 100 mg/ml
Injekcia Gentamicin sulfate 40 mg/ml
Žiadny 3372
kompatibilný
Injekcia Sugammadex 100 mg/ml
Injekcia Heparin sodium 1000 UI/ml
Žiadny 3372
kompatibilný
Injekcia Sugammadex 100 mg/ml
Injekcia Hydrocortisone sodium succinate 250 mg/ml
Žiadny 3372
kompatibilný
Injekcia Sugammadex 100 mg/ml
Injekcia Insulin 100 UI/ml
Žiadny 3372
kompatibilný
Injekcia Sugammadex 100 mg/ml
Injekcia Ketamine hydrochloride 50 mg/ml
Žiadny 3372
kompatibilný
Injekcia Sugammadex 100 mg/ml
Injekcia Levobupivacaine hydrochloride 7.5 mg/ml
Žiadny 3372
kompatibilný
Injekcia Sugammadex 100 mg/ml
Injekcia Magnesium sulfate 72.24 mg/ml
Žiadny 3372
kompatibilný
Injekcia Sugammadex 100 mg/ml
Injekcia Metamizol sodium 500 mg/ml
Žiadny 3372
kompatibilný
Injekcia Sugammadex 100 mg/ml
Injekcia Metoclopramide hydrochloride 5 mg/ml
Žiadny 3372
kompatibilný
Injekcia Sugammadex 100 mg/ml
Injekcia Metoprolol tartrate 1 mg/ml
Žiadny 3372
kompatibilný
Injekcia Sugammadex 100 mg/ml
Injekcia Midazolam hydrochloride 5 mg/ml
Žiadny 3372
kompatibilný
Injekcia Sugammadex 100 mg/ml
Injekcia N-acetylcysteine 100 mg/ml
Žiadny 3372
kompatibilný
Injekcia Sugammadex 100 mg/ml
Injekcia Naloxone hydrochloride 0.4 mg/ml
Žiadny 3372
kompatibilný
Injekcia Sugammadex 100 mg/ml
Injekcia Neostigmine methylsulfate 0.5 mg/ml
Žiadny 3372
kompatibilný
Injekcia Sugammadex 100 mg/ml
Injekcia Nitroglycerin 5 mg/ml
Žiadny 3372
kompatibilný
Injekcia Sugammadex 100 mg/ml
Injekcia Nitroprusside sodium 12 mg/ml
Žiadny 3372
kompatibilný
Injekcia Sugammadex 100 mg/ml
Injekcia Norepinephrine bitartrate 1 mg/ml
Žiadny 3372
Nešpecifikovaná nekompatibilita nezlučiteľný
Injekcia Sugammadex
Injekcia Ondansetron hydrochloride
2328
kompatibilný
Injekcia Sugammadex 100 mg/ml
Injekcia Ornidazole 166.67 mg/ml
Žiadny 3372
kompatibilný
Injekcia Sugammadex 100 mg/ml
Injekcia Oxytocin 5 UI/ml
Žiadny 3372
kompatibilný
Injekcia Sugammadex 100 mg/ml
Injekcia Paracetamol 10 mg/ml
Žiadny 3372
kompatibilný
Injekcia Sugammadex 100 mg/ml
Injekcia Pethidine hydrochloride 50 mg/ml
Žiadny 3372
kompatibilný
Injekcia Sugammadex 100 mg/ml
Injekcia Phenytoin sodium 50 mg/ml
Žiadny 3372
kompatibilný
Injekcia Sugammadex 100 mg/ml
Injekcia Phytomenadione 10 mg/ml
Žiadny 3372
Okamžité zrážanie nezlučiteľný
Injekcia Sugammadex 100 mg/ml
Injekcia Protamine hydrochloride 1000 UI/ml
Žiadny 3372
kompatibilný
Injekcia Sugammadex
NaCl 0,45% glukóza 2,5% 2328
kompatibilný
Injekcia Sugammadex
Ringerov laktátový roztok 2328
kompatibilný
Injekcia Sugammadex 100 mg/ml
Injekcia Thiopental sodium 25 mg/ml
Žiadny 3372
kompatibilný
Injekcia Sugammadex
5% glukóza 2328
kompatibilný
Injekcia Sugammadex
0,9% chlorid sodný 2328
kompatibilný
Injekcia Sugammadex 100 mg/ml
Injekcia Propafenone hydrochloride 3.5 mg/ml
Žiadny 3372
Nešpecifikovaná nekompatibilita nezlučiteľný
Injekcia Sugammadex
Injekcia Ranitidine hydrochloride
2328
kompatibilný
Injekcia Sugammadex 100 mg/ml
Injekcia Remifentanil hydrochloride 5000 µg/ml
Žiadny 3372
kompatibilný
Injekcia Sugammadex 100 mg/ml
Injekcia Tenoxicam 10 mg/ml
Žiadny 3372
kompatibilný
Injekcia Sugammadex 100 mg/ml
Injekcia Theophylline 24 mg/ml
Žiadny 3372
kompatibilný
Injekcia Sugammadex 100 mg/ml
Injekcia Tramadol hydrochloride 50 mg/ml
Žiadny 3372
Nešpecifikovaná nekompatibilita nezlučiteľný
Injekcia Sugammadex
Injekcia Verapamil hydrochloride
2328

  Mentions Légales