آخر تحديث :
18/03/2026
أدوية الترياق   Sugammadex  
حقن
الاستقرار في حلول استقرار مخاليط العوامل التي تؤثر على الاستقرار التوافق طريقة التعاطي مراجع pdf
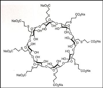
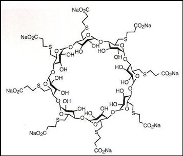
   التركيب الكيميائي  

حجز الاسم التجاري   حجز الاسم التجاري     

تحذير الأسماء التجاريه المختلفه قد تحتوي علي محتوي إضافات مختلفة حسب الدوله و المعمل

Bridion أستراليا, ألمانيا, أيسلندا, إسبانيا, إيطاليا, الأرجنتين, الإكوادور, البرازيل, البرتغال, الدنمارك, المكسيك, النرويج, اليابان, ايرلندا, بريطانيا العظمي, بلجيكا, بيرو, تركيا, تشيلي, رومانيا, زيلاندا الجديدة, سويسرا, فرنسا, كولومبيا, لوكسمبورغ, ماليزيا, هنغاريا
Desintunev المكسيك
Sagomyl تشيلي
Sugadion تشيلي
Sugamastar بيرو
Sugammadex إسبانيا, إيطاليا, ايرلندا, بلجيكا, تشيلي, فنلندا, هنغاريا
Suvitali المكسيك
التوافق   حقن   التوافق : Sugammadex              
This screen indicates the compatibilities or incompatibilities with, in this case, the type of incompatibility (precipitation, color change, modification of an emulsion, etc.). The compatibilities shown here are mostly physical only, with the chemical stability of each molecule rarely being assessed. The evaluation of these mixtures was studied to consider the possibility of Y-site administration to the patient. These data cannot be used for making mixtures in advance in bags or syringes. This type of information is available in the screen "Stability in mixture ».
مركب مذيب مراجع
kompatibel
حقن Sugammadex 100 mg/ml
حقن Aminophylline 24 mg/ml
لا شيء 3372
هطول فوري غير متوافق
حقن Sugammadex 100 mg/ml
حقن Amiodarone hydrochloride 50 mg/ml
لا شيء 3372
kompatibel
حقن Sugammadex 100 mg/ml
حقن Ampicillin sodium - sulbactam sodium 200 mg/ml
لا شيء 3372
kompatibel
حقن Sugammadex 100 mg/ml
حقن Atropine sulfate 1 mg/ml
لا شيء 3372
kompatibel
حقن Sugammadex 100 mg/ml
حقن Bupivacaine hydrochloride 5 mg/ml
لا شيء 3372
kompatibel
حقن Sugammadex 100 mg/ml
حقن Cefazolin sodium 250 mg/ml
لا شيء 3372
kompatibel
حقن Sugammadex 100 mg/ml
حقن Dexmedetomidine 100 µg/ml
لا شيء 3372
هطول فوري غير متوافق
حقن Sugammadex 100 mg/ml
حقن Dobutamine hydrochloride 12.5 mg/ml
لا شيء 3372
kompatibel
حقن Sugammadex 100 mg/ml
حقن Dopamine hydrochloride 8 mg/ml
لا شيء 3372
kompatibel
حقن Sugammadex 100 mg/ml
حقن Ephedrine hydrochloride 50 mg/ml
لا شيء 3372
kompatibel
حقن Sugammadex 100 mg/ml
حقن Epinephrine hydrochloride 1000 µg/ml
لا شيء 3372
kompatibel
حقن Sugammadex 100 mg/ml
حقن Esomeprazole sodium 40 mg/ml
لا شيء 3372
kompatibel
حقن Sugammadex 100 mg/ml
حقن Etomidate 2 mg/ml
لا شيء 3372
kompatibel
حقن Sugammadex 100 mg/ml
حقن Fentanyl citrate 50 µg/ml
لا شيء 3372
kompatibel
حقن Sugammadex 100 mg/ml
حقن Flumazenil 0.1 mg/ml
لا شيء 3372
kompatibel
حقن Sugammadex 100 mg/ml
حقن Furosemide 10 mg/ml
لا شيء 3372
kompatibel
حقن Sugammadex 100 mg/ml
حقن Gentamicin sulfate 40 mg/ml
لا شيء 3372
kompatibel
حقن Sugammadex 100 mg/ml
حقن Heparin sodium 1000 UI/ml
لا شيء 3372
kompatibel
حقن Sugammadex 100 mg/ml
حقن Hydrocortisone sodium succinate 250 mg/ml
لا شيء 3372
kompatibel
حقن Sugammadex 100 mg/ml
حقن Insulin 100 UI/ml
لا شيء 3372
kompatibel
حقن Sugammadex 100 mg/ml
حقن Ketamine hydrochloride 50 mg/ml
لا شيء 3372
kompatibel
حقن Sugammadex 100 mg/ml
حقن Levobupivacaine hydrochloride 7.5 mg/ml
لا شيء 3372
kompatibel
حقن Sugammadex 100 mg/ml
حقن Magnesium sulfate 72.24 mg/ml
لا شيء 3372
kompatibel
حقن Sugammadex 100 mg/ml
حقن Metamizol sodium 500 mg/ml
لا شيء 3372
kompatibel
حقن Sugammadex 100 mg/ml
حقن Metoclopramide hydrochloride 5 mg/ml
لا شيء 3372
kompatibel
حقن Sugammadex 100 mg/ml
حقن Metoprolol tartrate 1 mg/ml
لا شيء 3372
kompatibel
حقن Sugammadex 100 mg/ml
حقن Midazolam hydrochloride 5 mg/ml
لا شيء 3372
kompatibel
حقن Sugammadex 100 mg/ml
حقن N-acetylcysteine 100 mg/ml
لا شيء 3372
kompatibel
حقن Sugammadex 100 mg/ml
حقن Naloxone hydrochloride 0.4 mg/ml
لا شيء 3372
kompatibel
حقن Sugammadex 100 mg/ml
حقن Neostigmine methylsulfate 0.5 mg/ml
لا شيء 3372
kompatibel
حقن Sugammadex 100 mg/ml
حقن Nitroglycerin 5 mg/ml
لا شيء 3372
kompatibel
حقن Sugammadex 100 mg/ml
حقن Nitroprusside sodium 12 mg/ml
لا شيء 3372
kompatibel
حقن Sugammadex 100 mg/ml
حقن Norepinephrine bitartrate 1 mg/ml
لا شيء 3372
عدم توافق غير محدد غير متوافق
حقن Sugammadex
حقن Ondansetron hydrochloride
2328
kompatibel
حقن Sugammadex 100 mg/ml
حقن Ornidazole 166.67 mg/ml
لا شيء 3372
kompatibel
حقن Sugammadex 100 mg/ml
حقن Oxytocin 5 UI/ml
لا شيء 3372
kompatibel
حقن Sugammadex 100 mg/ml
حقن Paracetamol 10 mg/ml
لا شيء 3372
kompatibel
حقن Sugammadex 100 mg/ml
حقن Pethidine hydrochloride 50 mg/ml
لا شيء 3372
kompatibel
حقن Sugammadex 100 mg/ml
حقن Phenytoin sodium 50 mg/ml
لا شيء 3372
kompatibel
حقن Sugammadex 100 mg/ml
حقن Phytomenadione 10 mg/ml
لا شيء 3372
هطول فوري غير متوافق
حقن Sugammadex 100 mg/ml
حقن Protamine hydrochloride 1000 UI/ml
لا شيء 3372
kompatibel
حقن Sugammadex
كلوريد الصوديوم 0.45% الجلوكوز 2.5% 2328
kompatibel
حقن Sugammadex
محلول رينجر  اللاكتات 2328
kompatibel
حقن Sugammadex 100 mg/ml
حقن Thiopental sodium 25 mg/ml
لا شيء 3372
kompatibel
حقن Sugammadex
الجلوكوز %5 2328
kompatibel
حقن Sugammadex
كلوريد الصوديوم 0.9% 2328
kompatibel
حقن Sugammadex 100 mg/ml
حقن Propafenone hydrochloride 3.5 mg/ml
لا شيء 3372
عدم توافق غير محدد غير متوافق
حقن Sugammadex
حقن Ranitidine hydrochloride
2328
kompatibel
حقن Sugammadex 100 mg/ml
حقن Remifentanil hydrochloride 5000 µg/ml
لا شيء 3372
kompatibel
حقن Sugammadex 100 mg/ml
حقن Tenoxicam 10 mg/ml
لا شيء 3372
kompatibel
حقن Sugammadex 100 mg/ml
حقن Theophylline 24 mg/ml
لا شيء 3372
kompatibel
حقن Sugammadex 100 mg/ml
حقن Tramadol hydrochloride 50 mg/ml
لا شيء 3372
عدم توافق غير محدد غير متوافق
حقن Sugammadex
حقن Verapamil hydrochloride
2328

  Mentions Légales