Последно актуализиране :
18/03/2026
Антидот (Противоотрова)   Sugammadex  
Инжекция/Инжекционен
Стабилност на разтвори Стабилност на смеси Фактори, повлияващи стабилността Съвместимост Път на въвеждане Библиография Pdf
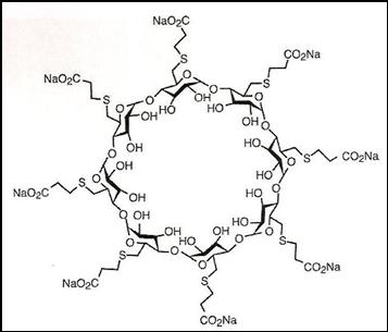
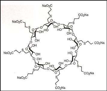
   Химична структура  

Търговско наименование   Търговско наименование     

Търговските имена са примерни и съставът на помощните вещества може да бъде различен в зависимост от държавата и лабораториите

Bridion Австралия, Аржентина, Белгия, Бразилия, Великобритания, Германия, Дания, Еквадор, Ирландия, Исландия, Испания, Италия, Колумбия, Люксенбург, Малайзия, Мексико, нова Зеландия, Норвегия, Перу, Португалия, Румъния, Турция, Унгария, Франция, Чили, Швейцария, Япония
Desintunev Мексико
Sagomyl Чили
Sugadion Чили
Sugamastar Перу
Sugammadex Белгия, Ирландия, Испания, Италия, Унгария, Финландия, Чили
Suvitali Мексико
Съвместимост   Инжекция/Инжекционен   Съвместимост : Sugammadex              
Този екран показва съвместимостта или несъвместимостта с, в този случай, вида на несъвместимостта (утаяване, промяна на цвета, модификация на емулсия и др.). Показаните тук съвместимости са предимно физически, като рядко се оценява химическата стабилност на всяка молекула. Оценката на тези смеси беше проучена, за да се разгледа възможността за приложение на Y-място на пациента. Тези данни не могат да се използват за предварително приготвяне на смеси в торбички или спринцовки. Този тип информация е достъпна на екрана "Стабилност в сместа".
Състав / молекула Разтворител Библиография
съвместим
Инжекция/Инжекционен Sugammadex 100 mg/ml
Инжекция/Инжекционен Aminophylline 24 mg/ml
Няма 3372
Незабавни валежи Несъвместим
Инжекция/Инжекционен Sugammadex 100 mg/ml
Инжекция/Инжекционен Amiodarone hydrochloride 50 mg/ml
Няма 3372
съвместим
Инжекция/Инжекционен Sugammadex 100 mg/ml
Инжекция/Инжекционен Ampicillin sodium - sulbactam sodium 200 mg/ml
Няма 3372
съвместим
Инжекция/Инжекционен Sugammadex 100 mg/ml
Инжекция/Инжекционен Atropine sulfate 1 mg/ml
Няма 3372
съвместим
Инжекция/Инжекционен Sugammadex 100 mg/ml
Инжекция/Инжекционен Bupivacaine hydrochloride 5 mg/ml
Няма 3372
съвместим
Инжекция/Инжекционен Sugammadex 100 mg/ml
Инжекция/Инжекционен Cefazolin sodium 250 mg/ml
Няма 3372
съвместим
Инжекция/Инжекционен Sugammadex 100 mg/ml
Инжекция/Инжекционен Dexmedetomidine 100 µg/ml
Няма 3372
Незабавни валежи Несъвместим
Инжекция/Инжекционен Sugammadex 100 mg/ml
Инжекция/Инжекционен Dobutamine hydrochloride 12.5 mg/ml
Няма 3372
съвместим
Инжекция/Инжекционен Sugammadex 100 mg/ml
Инжекция/Инжекционен Dopamine hydrochloride 8 mg/ml
Няма 3372
съвместим
Инжекция/Инжекционен Sugammadex 100 mg/ml
Инжекция/Инжекционен Ephedrine hydrochloride 50 mg/ml
Няма 3372
съвместим
Инжекция/Инжекционен Sugammadex 100 mg/ml
Инжекция/Инжекционен Epinephrine hydrochloride 1000 µg/ml
Няма 3372
съвместим
Инжекция/Инжекционен Sugammadex 100 mg/ml
Инжекция/Инжекционен Esomeprazole sodium 40 mg/ml
Няма 3372
съвместим
Инжекция/Инжекционен Sugammadex 100 mg/ml
Инжекция/Инжекционен Etomidate 2 mg/ml
Няма 3372
съвместим
Инжекция/Инжекционен Sugammadex 100 mg/ml
Инжекция/Инжекционен Fentanyl citrate 50 µg/ml
Няма 3372
съвместим
Инжекция/Инжекционен Sugammadex 100 mg/ml
Инжекция/Инжекционен Flumazenil 0.1 mg/ml
Няма 3372
съвместим
Инжекция/Инжекционен Sugammadex 100 mg/ml
Инжекция/Инжекционен Furosemide 10 mg/ml
Няма 3372
съвместим
Инжекция/Инжекционен Sugammadex 100 mg/ml
Инжекция/Инжекционен Gentamicin sulfate 40 mg/ml
Няма 3372
съвместим
Инжекция/Инжекционен Sugammadex 100 mg/ml
Инжекция/Инжекционен Heparin sodium 1000 UI/ml
Няма 3372
съвместим
Инжекция/Инжекционен Sugammadex 100 mg/ml
Инжекция/Инжекционен Hydrocortisone sodium succinate 250 mg/ml
Няма 3372
съвместим
Инжекция/Инжекционен Sugammadex 100 mg/ml
Инжекция/Инжекционен Insulin 100 UI/ml
Няма 3372
съвместим
Инжекция/Инжекционен Sugammadex 100 mg/ml
Инжекция/Инжекционен Ketamine hydrochloride 50 mg/ml
Няма 3372
съвместим
Инжекция/Инжекционен Sugammadex 100 mg/ml
Инжекция/Инжекционен Levobupivacaine hydrochloride 7.5 mg/ml
Няма 3372
съвместим
Инжекция/Инжекционен Sugammadex 100 mg/ml
Инжекция/Инжекционен Magnesium sulfate 72.24 mg/ml
Няма 3372
съвместим
Инжекция/Инжекционен Sugammadex 100 mg/ml
Инжекция/Инжекционен Metamizol sodium 500 mg/ml
Няма 3372
съвместим
Инжекция/Инжекционен Sugammadex 100 mg/ml
Инжекция/Инжекционен Metoclopramide hydrochloride 5 mg/ml
Няма 3372
съвместим
Инжекция/Инжекционен Sugammadex 100 mg/ml
Инжекция/Инжекционен Metoprolol tartrate 1 mg/ml
Няма 3372
съвместим
Инжекция/Инжекционен Sugammadex 100 mg/ml
Инжекция/Инжекционен Midazolam hydrochloride 5 mg/ml
Няма 3372
съвместим
Инжекция/Инжекционен Sugammadex 100 mg/ml
Инжекция/Инжекционен N-acetylcysteine 100 mg/ml
Няма 3372
съвместим
Инжекция/Инжекционен Sugammadex 100 mg/ml
Инжекция/Инжекционен Naloxone hydrochloride 0.4 mg/ml
Няма 3372
съвместим
Инжекция/Инжекционен Sugammadex 100 mg/ml
Инжекция/Инжекционен Neostigmine methylsulfate 0.5 mg/ml
Няма 3372
съвместим
Инжекция/Инжекционен Sugammadex 100 mg/ml
Инжекция/Инжекционен Nitroglycerin 5 mg/ml
Няма 3372
съвместим
Инжекция/Инжекционен Sugammadex 100 mg/ml
Инжекция/Инжекционен Nitroprusside sodium 12 mg/ml
Няма 3372
съвместим
Инжекция/Инжекционен Sugammadex 100 mg/ml
Инжекция/Инжекционен Norepinephrine bitartrate 1 mg/ml
Няма 3372
Неопределена несъвместимост Несъвместим
Инжекция/Инжекционен Sugammadex
Инжекция/Инжекционен Ondansetron hydrochloride
2328
съвместим
Инжекция/Инжекционен Sugammadex 100 mg/ml
Инжекция/Инжекционен Ornidazole 166.67 mg/ml
Няма 3372
съвместим
Инжекция/Инжекционен Sugammadex 100 mg/ml
Инжекция/Инжекционен Oxytocin 5 UI/ml
Няма 3372
съвместим
Инжекция/Инжекционен Sugammadex 100 mg/ml
Инжекция/Инжекционен Paracetamol 10 mg/ml
Няма 3372
съвместим
Инжекция/Инжекционен Sugammadex 100 mg/ml
Инжекция/Инжекционен Pethidine hydrochloride 50 mg/ml
Няма 3372
съвместим
Инжекция/Инжекционен Sugammadex 100 mg/ml
Инжекция/Инжекционен Phenytoin sodium 50 mg/ml
Няма 3372
съвместим
Инжекция/Инжекционен Sugammadex 100 mg/ml
Инжекция/Инжекционен Phytomenadione 10 mg/ml
Няма 3372
Незабавни валежи Несъвместим
Инжекция/Инжекционен Sugammadex 100 mg/ml
Инжекция/Инжекционен Protamine hydrochloride 1000 UI/ml
Няма 3372
съвместим
Инжекция/Инжекционен Sugammadex
NaCl 0,45% Glucose 2,5% 2328
съвместим
Инжекция/Инжекционен Sugammadex
Ринтер лактат 2328
съвместим
Инжекция/Инжекционен Sugammadex 100 mg/ml
Инжекция/Инжекционен Thiopental sodium 25 mg/ml
Няма 3372
съвместим
Инжекция/Инжекционен Sugammadex
Glucose 5% 2328
съвместим
Инжекция/Инжекционен Sugammadex
Sodium chloride 0,9% 2328
съвместим
Инжекция/Инжекционен Sugammadex 100 mg/ml
Инжекция/Инжекционен Propafenone hydrochloride 3.5 mg/ml
Няма 3372
Неопределена несъвместимост Несъвместим
Инжекция/Инжекционен Sugammadex
Инжекция/Инжекционен Ranitidine hydrochloride
2328
съвместим
Инжекция/Инжекционен Sugammadex 100 mg/ml
Инжекция/Инжекционен Remifentanil hydrochloride 5000 µg/ml
Няма 3372
съвместим
Инжекция/Инжекционен Sugammadex 100 mg/ml
Инжекция/Инжекционен Tenoxicam 10 mg/ml
Няма 3372
съвместим
Инжекция/Инжекционен Sugammadex 100 mg/ml
Инжекция/Инжекционен Theophylline 24 mg/ml
Няма 3372
съвместим
Инжекция/Инжекционен Sugammadex 100 mg/ml
Инжекция/Инжекционен Tramadol hydrochloride 50 mg/ml
Няма 3372
Неопределена несъвместимост Несъвместим
Инжекция/Инжекционен Sugammadex
Инжекция/Инжекционен Verapamil hydrochloride
2328

  Mentions Légales