Ultimo aggiornamento :
18/03/2026
Antidoto   Sugammadex  
Iniezione
Stabilità in soluzione Stabilità in miscela Fattori che influenzano la stabilità Compatibilità metodo di iniezione Bibliografia pdf
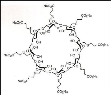
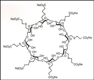
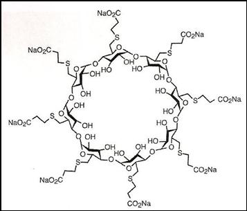
   Struttura chimica  

Nome commerciale   Nome commerciale     

Trade names are indicative and excipients composition can be different depending on the country and manufacturers

Bridion Argentina, Australia, Belgio, Brasile, Chile, Colombia, Danimarca, Ecuador, Francia, Germania, Giappone, Gran Bretagna, Irlanda, Islanda, Italia, Lussemburgo, Malaysia, Messico, Norvegia, nuova Zelanda, Perù, Portogallo, Romania, Spagna, Svizzera, Turchia, Ungheria
Desintunev Messico
Sagomyl Chile
Sugadion Chile
Sugamastar Perù
Sugammadex Belgio, Chile, Finlandia, Irlanda, Italia, Spagna, Ungheria
Suvitali Messico
Compatibilità   Iniezione   Compatibilità : Sugammadex              
explication_incompatibilite_molecules
Molecola Solvente Bibliografia
Compatibile
Iniezione Sugammadex 100 mg/ml
Iniezione Aminophylline 24 mg/ml
Nessuno 3372
Precipitazioni immediate Incompatibile
Iniezione Sugammadex 100 mg/ml
Iniezione Amiodarone hydrochloride 50 mg/ml
Nessuno 3372
Compatibile
Iniezione Sugammadex 100 mg/ml
Iniezione Ampicillin sodium - sulbactam sodium 200 mg/ml
Nessuno 3372
Compatibile
Iniezione Sugammadex 100 mg/ml
Iniezione Atropine sulfate 1 mg/ml
Nessuno 3372
Compatibile
Iniezione Sugammadex 100 mg/ml
Iniezione Bupivacaine hydrochloride 5 mg/ml
Nessuno 3372
Compatibile
Iniezione Sugammadex 100 mg/ml
Iniezione Cefazolin sodium 250 mg/ml
Nessuno 3372
Compatibile
Iniezione Sugammadex 100 mg/ml
Iniezione Dexmedetomidine 100 µg/ml
Nessuno 3372
Precipitazioni immediate Incompatibile
Iniezione Sugammadex 100 mg/ml
Iniezione Dobutamine hydrochloride 12.5 mg/ml
Nessuno 3372
Compatibile
Iniezione Sugammadex 100 mg/ml
Iniezione Dopamine hydrochloride 8 mg/ml
Nessuno 3372
Compatibile
Iniezione Sugammadex 100 mg/ml
Iniezione Ephedrine hydrochloride 50 mg/ml
Nessuno 3372
Compatibile
Iniezione Sugammadex 100 mg/ml
Iniezione Epinephrine hydrochloride 1000 µg/ml
Nessuno 3372
Compatibile
Iniezione Sugammadex 100 mg/ml
Iniezione Esomeprazole sodium 40 mg/ml
Nessuno 3372
Compatibile
Iniezione Sugammadex 100 mg/ml
Iniezione Etomidate 2 mg/ml
Nessuno 3372
Compatibile
Iniezione Sugammadex 100 mg/ml
Iniezione Fentanyl citrate 50 µg/ml
Nessuno 3372
Compatibile
Iniezione Sugammadex 100 mg/ml
Iniezione Flumazenil 0.1 mg/ml
Nessuno 3372
Compatibile
Iniezione Sugammadex 100 mg/ml
Iniezione Furosemide 10 mg/ml
Nessuno 3372
Compatibile
Iniezione Sugammadex 100 mg/ml
Iniezione Gentamicin sulfate 40 mg/ml
Nessuno 3372
Compatibile
Iniezione Sugammadex 100 mg/ml
Iniezione Heparin sodium 1000 UI/ml
Nessuno 3372
Compatibile
Iniezione Sugammadex 100 mg/ml
Iniezione Hydrocortisone sodium succinate 250 mg/ml
Nessuno 3372
Compatibile
Iniezione Sugammadex 100 mg/ml
Iniezione Insulin 100 UI/ml
Nessuno 3372
Compatibile
Iniezione Sugammadex 100 mg/ml
Iniezione Ketamine hydrochloride 50 mg/ml
Nessuno 3372
Compatibile
Iniezione Sugammadex 100 mg/ml
Iniezione Levobupivacaine hydrochloride 7.5 mg/ml
Nessuno 3372
Compatibile
Iniezione Sugammadex 100 mg/ml
Iniezione Magnesium sulfate 72.24 mg/ml
Nessuno 3372
Compatibile
Iniezione Sugammadex 100 mg/ml
Iniezione Metamizol sodium 500 mg/ml
Nessuno 3372
Compatibile
Iniezione Sugammadex 100 mg/ml
Iniezione Metoclopramide hydrochloride 5 mg/ml
Nessuno 3372
Compatibile
Iniezione Sugammadex 100 mg/ml
Iniezione Metoprolol tartrate 1 mg/ml
Nessuno 3372
Compatibile
Iniezione Sugammadex 100 mg/ml
Iniezione Midazolam hydrochloride 5 mg/ml
Nessuno 3372
Compatibile
Iniezione Sugammadex 100 mg/ml
Iniezione N-acetylcysteine 100 mg/ml
Nessuno 3372
Compatibile
Iniezione Sugammadex 100 mg/ml
Iniezione Naloxone hydrochloride 0.4 mg/ml
Nessuno 3372
Compatibile
Iniezione Sugammadex 100 mg/ml
Iniezione Neostigmine methylsulfate 0.5 mg/ml
Nessuno 3372
Compatibile
Iniezione Sugammadex 100 mg/ml
Iniezione Nitroglycerin 5 mg/ml
Nessuno 3372
Compatibile
Iniezione Sugammadex 100 mg/ml
Iniezione Nitroprusside sodium 12 mg/ml
Nessuno 3372
Compatibile
Iniezione Sugammadex 100 mg/ml
Iniezione Norepinephrine bitartrate 1 mg/ml
Nessuno 3372
Incompatibilità non specificata Incompatibile
Iniezione Sugammadex
Iniezione Ondansetron hydrochloride
2328
Compatibile
Iniezione Sugammadex 100 mg/ml
Iniezione Ornidazole 166.67 mg/ml
Nessuno 3372
Compatibile
Iniezione Sugammadex 100 mg/ml
Iniezione Oxytocin 5 UI/ml
Nessuno 3372
Compatibile
Iniezione Sugammadex 100 mg/ml
Iniezione Paracetamol 10 mg/ml
Nessuno 3372
Compatibile
Iniezione Sugammadex 100 mg/ml
Iniezione Pethidine hydrochloride 50 mg/ml
Nessuno 3372
Compatibile
Iniezione Sugammadex 100 mg/ml
Iniezione Phenytoin sodium 50 mg/ml
Nessuno 3372
Compatibile
Iniezione Sugammadex 100 mg/ml
Iniezione Phytomenadione 10 mg/ml
Nessuno 3372
Precipitazioni immediate Incompatibile
Iniezione Sugammadex 100 mg/ml
Iniezione Protamine hydrochloride 1000 UI/ml
Nessuno 3372
Compatibile
Iniezione Sugammadex
NaCl 0,45% Glucosio 2,5% 2328
Compatibile
Iniezione Sugammadex
Ringer lattato 2328
Compatibile
Iniezione Sugammadex 100 mg/ml
Iniezione Thiopental sodium 25 mg/ml
Nessuno 3372
Compatibile
Iniezione Sugammadex
Glucosio 5% 2328
Compatibile
Iniezione Sugammadex
Cloruro di sodio 0,9% 2328
Compatibile
Iniezione Sugammadex 100 mg/ml
Iniezione Propafenone hydrochloride 3.5 mg/ml
Nessuno 3372
Incompatibilità non specificata Incompatibile
Iniezione Sugammadex
Iniezione Ranitidine hydrochloride
2328
Compatibile
Iniezione Sugammadex 100 mg/ml
Iniezione Remifentanil hydrochloride 5000 µg/ml
Nessuno 3372
Compatibile
Iniezione Sugammadex 100 mg/ml
Iniezione Tenoxicam 10 mg/ml
Nessuno 3372
Compatibile
Iniezione Sugammadex 100 mg/ml
Iniezione Theophylline 24 mg/ml
Nessuno 3372
Compatibile
Iniezione Sugammadex 100 mg/ml
Iniezione Tramadol hydrochloride 50 mg/ml
Nessuno 3372
Incompatibilità non specificata Incompatibile
Iniezione Sugammadex
Iniezione Verapamil hydrochloride
2328

  Mentions Légales