Ostatnia aktualizacja :
18/03/2026
Odtrutka   Sugammadex  
Injekcje
Trwałość roztworów Trwałość w mieszaninie Czynnik wpływający na trwałość Zgodność Sposób podania Bibliografia pdf
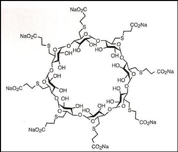
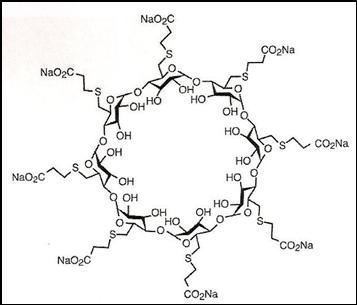
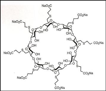
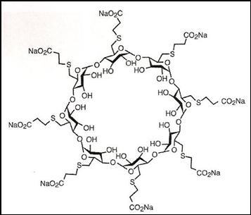
   Struktura chemiczna  

Nazwa handlowa   Nazwa handlowa     

Trade names are indicative and excipients composition can be different depending on the country and manufacturers

Bridion Argentyna, Australia, Belgia, Brazylia, Chile, Dania, Ekwador, Francja , Hiszpania, Irlandia, Islandia, Japonia, KolumbiaKolumbia, Luksemburg, Malezja, Meksyk, Niemcy, Norwegia, nowa Zelandia, Peru, Portugalia, Rumunia, Szwajcaria, Turcja, Węgry, Wielka Brytania, Włochy
Desintunev Meksyk
Sagomyl Chile
Sugadion Chile
Sugamastar Peru
Sugammadex Belgia, Chile, Finlandia, Hiszpania, Irlandia, Węgry, Włochy
Suvitali Meksyk
Zgodność   Injekcje   Zgodność : Sugammadex              
Ekran ten wskazuje na kompatybilności lub niezgodności z, w tym przypadku, rodzajem niezgodności (strącanie, zmiana koloru, modyfikacja emulsji, itp.). Przedstawione tutaj kompatybilności są głównie fizyczne, a stabilność chemiczna każdej cząsteczki jest rzadko oceniana. Ocenę tych mieszanin badano w celu rozważenia możliwości podania pacjentowi w miejscu Y. Dane te nie mogą być wykorzystywane do sporządzania mieszanin z wyprzedzeniem w workach lub strzykawkach. Tego typu informacje są dostępne na ekranie „Stabilność w mieszaninie”.
Związek Rozpuszczalnik Bibliografia
Zgodny
Injekcje Sugammadex 100 mg/ml
Injekcje Aminophylline 24 mg/ml
Żaden 3372
Natychmiastowe opady Niekompatybilny
Injekcje Sugammadex 100 mg/ml
Injekcje Amiodarone hydrochloride 50 mg/ml
Żaden 3372
Zgodny
Injekcje Sugammadex 100 mg/ml
Injekcje Ampicillin sodium - sulbactam sodium 200 mg/ml
Żaden 3372
Zgodny
Injekcje Sugammadex 100 mg/ml
Injekcje Atropine sulfate 1 mg/ml
Żaden 3372
Zgodny
Injekcje Sugammadex 100 mg/ml
Injekcje Bupivacaine hydrochloride 5 mg/ml
Żaden 3372
Zgodny
Injekcje Sugammadex 100 mg/ml
Injekcje Cefazolin sodium 250 mg/ml
Żaden 3372
Zgodny
Injekcje Sugammadex 100 mg/ml
Injekcje Dexmedetomidine 100 µg/ml
Żaden 3372
Natychmiastowe opady Niekompatybilny
Injekcje Sugammadex 100 mg/ml
Injekcje Dobutamine hydrochloride 12.5 mg/ml
Żaden 3372
Zgodny
Injekcje Sugammadex 100 mg/ml
Injekcje Dopamine hydrochloride 8 mg/ml
Żaden 3372
Zgodny
Injekcje Sugammadex 100 mg/ml
Injekcje Ephedrine hydrochloride 50 mg/ml
Żaden 3372
Zgodny
Injekcje Sugammadex 100 mg/ml
Injekcje Epinephrine hydrochloride 1000 µg/ml
Żaden 3372
Zgodny
Injekcje Sugammadex 100 mg/ml
Injekcje Esomeprazole sodium 40 mg/ml
Żaden 3372
Zgodny
Injekcje Sugammadex 100 mg/ml
Injekcje Etomidate 2 mg/ml
Żaden 3372
Zgodny
Injekcje Sugammadex 100 mg/ml
Injekcje Fentanyl citrate 50 µg/ml
Żaden 3372
Zgodny
Injekcje Sugammadex 100 mg/ml
Injekcje Flumazenil 0.1 mg/ml
Żaden 3372
Zgodny
Injekcje Sugammadex 100 mg/ml
Injekcje Furosemide 10 mg/ml
Żaden 3372
Zgodny
Injekcje Sugammadex 100 mg/ml
Injekcje Gentamicin sulfate 40 mg/ml
Żaden 3372
Zgodny
Injekcje Sugammadex 100 mg/ml
Injekcje Heparin sodium 1000 UI/ml
Żaden 3372
Zgodny
Injekcje Sugammadex 100 mg/ml
Injekcje Hydrocortisone sodium succinate 250 mg/ml
Żaden 3372
Zgodny
Injekcje Sugammadex 100 mg/ml
Injekcje Insulin 100 UI/ml
Żaden 3372
Zgodny
Injekcje Sugammadex 100 mg/ml
Injekcje Ketamine hydrochloride 50 mg/ml
Żaden 3372
Zgodny
Injekcje Sugammadex 100 mg/ml
Injekcje Levobupivacaine hydrochloride 7.5 mg/ml
Żaden 3372
Zgodny
Injekcje Sugammadex 100 mg/ml
Injekcje Magnesium sulfate 72.24 mg/ml
Żaden 3372
Zgodny
Injekcje Sugammadex 100 mg/ml
Injekcje Metamizol sodium 500 mg/ml
Żaden 3372
Zgodny
Injekcje Sugammadex 100 mg/ml
Injekcje Metoclopramide hydrochloride 5 mg/ml
Żaden 3372
Zgodny
Injekcje Sugammadex 100 mg/ml
Injekcje Metoprolol tartrate 1 mg/ml
Żaden 3372
Zgodny
Injekcje Sugammadex 100 mg/ml
Injekcje Midazolam hydrochloride 5 mg/ml
Żaden 3372
Zgodny
Injekcje Sugammadex 100 mg/ml
Injekcje N-acetylcysteine 100 mg/ml
Żaden 3372
Zgodny
Injekcje Sugammadex 100 mg/ml
Injekcje Naloxone hydrochloride 0.4 mg/ml
Żaden 3372
Zgodny
Injekcje Sugammadex 100 mg/ml
Injekcje Neostigmine methylsulfate 0.5 mg/ml
Żaden 3372
Zgodny
Injekcje Sugammadex 100 mg/ml
Injekcje Nitroglycerin 5 mg/ml
Żaden 3372
Zgodny
Injekcje Sugammadex 100 mg/ml
Injekcje Nitroprusside sodium 12 mg/ml
Żaden 3372
Zgodny
Injekcje Sugammadex 100 mg/ml
Injekcje Norepinephrine bitartrate 1 mg/ml
Żaden 3372
Nieokreślona niezgodność Niekompatybilny
Injekcje Sugammadex
Injekcje Ondansetron hydrochloride
2328
Zgodny
Injekcje Sugammadex 100 mg/ml
Injekcje Ornidazole 166.67 mg/ml
Żaden 3372
Zgodny
Injekcje Sugammadex 100 mg/ml
Injekcje Oxytocin 5 UI/ml
Żaden 3372
Zgodny
Injekcje Sugammadex 100 mg/ml
Injekcje Paracetamol 10 mg/ml
Żaden 3372
Zgodny
Injekcje Sugammadex 100 mg/ml
Injekcje Pethidine hydrochloride 50 mg/ml
Żaden 3372
Zgodny
Injekcje Sugammadex 100 mg/ml
Injekcje Phenytoin sodium 50 mg/ml
Żaden 3372
Zgodny
Injekcje Sugammadex 100 mg/ml
Injekcje Phytomenadione 10 mg/ml
Żaden 3372
Natychmiastowe opady Niekompatybilny
Injekcje Sugammadex 100 mg/ml
Injekcje Protamine hydrochloride 1000 UI/ml
Żaden 3372
Zgodny
Injekcje Sugammadex
NaCl 0,45% glukoza 2,5% 2328
Zgodny
Injekcje Sugammadex
Roztwór Ringera z mleczanem sodowym 2328
Zgodny
Injekcje Sugammadex 100 mg/ml
Injekcje Thiopental sodium 25 mg/ml
Żaden 3372
Zgodny
Injekcje Sugammadex
Glukoza 5% 2328
Zgodny
Injekcje Sugammadex
Chlorek sodu 0,9% 2328
Zgodny
Injekcje Sugammadex 100 mg/ml
Injekcje Propafenone hydrochloride 3.5 mg/ml
Żaden 3372
Nieokreślona niezgodność Niekompatybilny
Injekcje Sugammadex
Injekcje Ranitidine hydrochloride
2328
Zgodny
Injekcje Sugammadex 100 mg/ml
Injekcje Remifentanil hydrochloride 5000 µg/ml
Żaden 3372
Zgodny
Injekcje Sugammadex 100 mg/ml
Injekcje Tenoxicam 10 mg/ml
Żaden 3372
Zgodny
Injekcje Sugammadex 100 mg/ml
Injekcje Theophylline 24 mg/ml
Żaden 3372
Zgodny
Injekcje Sugammadex 100 mg/ml
Injekcje Tramadol hydrochloride 50 mg/ml
Żaden 3372
Nieokreślona niezgodność Niekompatybilny
Injekcje Sugammadex
Injekcje Verapamil hydrochloride
2328

  Mentions Légales