zadnja posodobitev :
18/03/2026
Antidot   Sugammadex  
Brizgalka
Stabilnost raztopine Stabilnost mešanice Faktorji, ki vplivajo na stabilnost Kompatibilnost način aplikacije Viri pdf
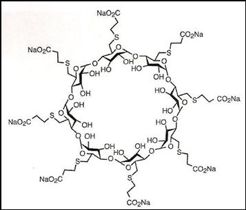
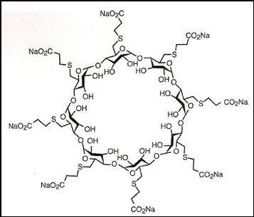
   Kemična formula  

Lastniško ime   Lastniško ime     

Sestava pomožnih snovi je med paralelami lahko različna

Bridion Argentina, Avstralija, Belgija, Brazilija, Čile, Danska, Ekvador, Francija, Irska, Islandija, Italija, Japonska, Kolumbija, Luksemburg, Madžarska, Malezija, Mehika, Nemčija, Norveška, nova Zelandija, Peru, Portugalska, Romunija, Španija, Švica, Turčija, Velika Britanija
Desintunev Mehika
Sagomyl Čile
Sugadion Čile
Sugamastar Peru
Sugammadex Belgija, Čile, Finska, Irska, Italija, Madžarska, Španija
Suvitali Mehika
Kompatibilnost   Brizgalka   Kompatibilnost : Sugammadex              
Ta zaslon prikazuje združljivost ali nezdružljivost s, v tem primeru, vrsto nezdružljivosti (padavine, sprememba barve, sprememba emulzije itd.). Tu prikazane združljivosti so večinoma samo fizične, pri čemer se kemijska stabilnost vsake molekule redko ocenjuje. Vrednotenje teh zmesi so preučevali, da bi preučili možnost pacientovega dajanja na mestu Y. Teh podatkov ni mogoče uporabiti za pripravo mešanic v vrečkah ali brizgah. Ta vrsta informacij je na voljo na zaslonu "Obstojnost v mešanici".
Sestava Topilo Viri
Združljivo
Brizgalka Sugammadex 100 mg/ml
Brizgalka Aminophylline 24 mg/ml
Nobeden 3372
Takoj padavine Nezdružljivo
Brizgalka Sugammadex 100 mg/ml
Brizgalka Amiodarone hydrochloride 50 mg/ml
Nobeden 3372
Združljivo
Brizgalka Sugammadex 100 mg/ml
Brizgalka Ampicillin sodium - sulbactam sodium 200 mg/ml
Nobeden 3372
Združljivo
Brizgalka Sugammadex 100 mg/ml
Brizgalka Atropine sulfate 1 mg/ml
Nobeden 3372
Združljivo
Brizgalka Sugammadex 100 mg/ml
Brizgalka Bupivacaine hydrochloride 5 mg/ml
Nobeden 3372
Združljivo
Brizgalka Sugammadex 100 mg/ml
Brizgalka Cefazolin sodium 250 mg/ml
Nobeden 3372
Združljivo
Brizgalka Sugammadex 100 mg/ml
Brizgalka Dexmedetomidine 100 µg/ml
Nobeden 3372
Takoj padavine Nezdružljivo
Brizgalka Sugammadex 100 mg/ml
Brizgalka Dobutamine hydrochloride 12.5 mg/ml
Nobeden 3372
Združljivo
Brizgalka Sugammadex 100 mg/ml
Brizgalka Dopamine hydrochloride 8 mg/ml
Nobeden 3372
Združljivo
Brizgalka Sugammadex 100 mg/ml
Brizgalka Ephedrine hydrochloride 50 mg/ml
Nobeden 3372
Združljivo
Brizgalka Sugammadex 100 mg/ml
Brizgalka Epinephrine hydrochloride 1000 µg/ml
Nobeden 3372
Združljivo
Brizgalka Sugammadex 100 mg/ml
Brizgalka Esomeprazole sodium 40 mg/ml
Nobeden 3372
Združljivo
Brizgalka Sugammadex 100 mg/ml
Brizgalka Etomidate 2 mg/ml
Nobeden 3372
Združljivo
Brizgalka Sugammadex 100 mg/ml
Brizgalka Fentanyl citrate 50 µg/ml
Nobeden 3372
Združljivo
Brizgalka Sugammadex 100 mg/ml
Brizgalka Flumazenil 0.1 mg/ml
Nobeden 3372
Združljivo
Brizgalka Sugammadex 100 mg/ml
Brizgalka Furosemide 10 mg/ml
Nobeden 3372
Združljivo
Brizgalka Sugammadex 100 mg/ml
Brizgalka Gentamicin sulfate 40 mg/ml
Nobeden 3372
Združljivo
Brizgalka Sugammadex 100 mg/ml
Brizgalka Heparin sodium 1000 UI/ml
Nobeden 3372
Združljivo
Brizgalka Sugammadex 100 mg/ml
Brizgalka Hydrocortisone sodium succinate 250 mg/ml
Nobeden 3372
Združljivo
Brizgalka Sugammadex 100 mg/ml
Brizgalka Insulin 100 UI/ml
Nobeden 3372
Združljivo
Brizgalka Sugammadex 100 mg/ml
Brizgalka Ketamine hydrochloride 50 mg/ml
Nobeden 3372
Združljivo
Brizgalka Sugammadex 100 mg/ml
Brizgalka Levobupivacaine hydrochloride 7.5 mg/ml
Nobeden 3372
Združljivo
Brizgalka Sugammadex 100 mg/ml
Brizgalka Magnesium sulfate 72.24 mg/ml
Nobeden 3372
Združljivo
Brizgalka Sugammadex 100 mg/ml
Brizgalka Metamizol sodium 500 mg/ml
Nobeden 3372
Združljivo
Brizgalka Sugammadex 100 mg/ml
Brizgalka Metoclopramide hydrochloride 5 mg/ml
Nobeden 3372
Združljivo
Brizgalka Sugammadex 100 mg/ml
Brizgalka Metoprolol tartrate 1 mg/ml
Nobeden 3372
Združljivo
Brizgalka Sugammadex 100 mg/ml
Brizgalka Midazolam hydrochloride 5 mg/ml
Nobeden 3372
Združljivo
Brizgalka Sugammadex 100 mg/ml
Brizgalka N-acetylcysteine 100 mg/ml
Nobeden 3372
Združljivo
Brizgalka Sugammadex 100 mg/ml
Brizgalka Naloxone hydrochloride 0.4 mg/ml
Nobeden 3372
Združljivo
Brizgalka Sugammadex 100 mg/ml
Brizgalka Neostigmine methylsulfate 0.5 mg/ml
Nobeden 3372
Združljivo
Brizgalka Sugammadex 100 mg/ml
Brizgalka Nitroglycerin 5 mg/ml
Nobeden 3372
Združljivo
Brizgalka Sugammadex 100 mg/ml
Brizgalka Nitroprusside sodium 12 mg/ml
Nobeden 3372
Združljivo
Brizgalka Sugammadex 100 mg/ml
Brizgalka Norepinephrine bitartrate 1 mg/ml
Nobeden 3372
Nedoločena nezdružljivost Nezdružljivo
Brizgalka Sugammadex
Brizgalka Ondansetron hydrochloride
2328
Združljivo
Brizgalka Sugammadex 100 mg/ml
Brizgalka Ornidazole 166.67 mg/ml
Nobeden 3372
Združljivo
Brizgalka Sugammadex 100 mg/ml
Brizgalka Oxytocin 5 UI/ml
Nobeden 3372
Združljivo
Brizgalka Sugammadex 100 mg/ml
Brizgalka Paracetamol 10 mg/ml
Nobeden 3372
Združljivo
Brizgalka Sugammadex 100 mg/ml
Brizgalka Pethidine hydrochloride 50 mg/ml
Nobeden 3372
Združljivo
Brizgalka Sugammadex 100 mg/ml
Brizgalka Phenytoin sodium 50 mg/ml
Nobeden 3372
Združljivo
Brizgalka Sugammadex 100 mg/ml
Brizgalka Phytomenadione 10 mg/ml
Nobeden 3372
Takoj padavine Nezdružljivo
Brizgalka Sugammadex 100 mg/ml
Brizgalka Protamine hydrochloride 1000 UI/ml
Nobeden 3372
Združljivo
Brizgalka Sugammadex
NaCl 0,45% Glukoza 2,5% 2328
Združljivo
Brizgalka Sugammadex
Ringerjev laktat 2328
Združljivo
Brizgalka Sugammadex 100 mg/ml
Brizgalka Thiopental sodium 25 mg/ml
Nobeden 3372
Združljivo
Brizgalka Sugammadex
Glukoza 5% 2328
Združljivo
Brizgalka Sugammadex
Natrijev klorid 0,9% 2328
Združljivo
Brizgalka Sugammadex 100 mg/ml
Brizgalka Propafenone hydrochloride 3.5 mg/ml
Nobeden 3372
Nedoločena nezdružljivost Nezdružljivo
Brizgalka Sugammadex
Brizgalka Ranitidine hydrochloride
2328
Združljivo
Brizgalka Sugammadex 100 mg/ml
Brizgalka Remifentanil hydrochloride 5000 µg/ml
Nobeden 3372
Združljivo
Brizgalka Sugammadex 100 mg/ml
Brizgalka Tenoxicam 10 mg/ml
Nobeden 3372
Združljivo
Brizgalka Sugammadex 100 mg/ml
Brizgalka Theophylline 24 mg/ml
Nobeden 3372
Združljivo
Brizgalka Sugammadex 100 mg/ml
Brizgalka Tramadol hydrochloride 50 mg/ml
Nobeden 3372
Nedoločena nezdružljivost Nezdružljivo
Brizgalka Sugammadex
Brizgalka Verapamil hydrochloride
2328

  Mentions Légales