Senaste uppdateringen :
18/03/2026
Antidot   Sugammadex  
injektion
Lösningars stabilitet Stabilitet i blandningar Faktorer som påverkar stabiliteten Kompatibilitet Administreringssätt Hänvisningar pdf
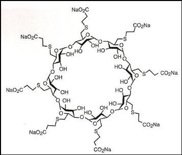
   Molekylstruktur  

Varunamn   Varunamn     

Angivna handelsnamn på läkemedel är enbart vägledande då formulering inklusive hjälpämnen kan variera mellan länder och tillverkare

Bridion Argentina, Australien, Belgien, Brasilien, Chile, Colombia, Danmark, Ecuador, Frankrike, Irland, Island, Italien, Japan, Luxemburg, Malaysia, Mexiko, Norge, nya Zeeland, Peru, Portugal, Rumänien, Schweiz, Spanien, Storbritannien, Turkiet, Tyskland, Ungern
Desintunev Mexiko
Sagomyl Chile
Sugadion Chile
Sugamastar Peru
Sugammadex Belgien, Chile, Finland, Irland, Italien, Spanien, Ungern
Suvitali Mexiko
Kompatibilitet   injektion   Kompatibilitet : Sugammadex              
Den här skärmen visar kompatibiliteten eller inkompatibiliteten med, i detta fall, typen av inkompatibilitet (utfällning, färgförändring, modifiering av en emulsion, etc.). De kompatibiliteter som visas här är oftast endast fysiska, varvid den kemiska stabiliteten för varje molekyl sällan utvärderas. Utvärderingen av dessa blandningar studerades för att överväga möjligheten för Y-platsadministrering till patienten. Dessa data kan inte användas för att göra blandningar i förväg i påsar eller sprutor. Denna typ av information finns på skärmen "Stabilitet i blandning".
Substans Lösningsmedel Hänvisningar
Kompatibel
injektion Sugammadex 100 mg/ml
injektion Aminophylline 24 mg/ml
Ingen 3372
Omedelbar nederbörd Oförenlig
injektion Sugammadex 100 mg/ml
injektion Amiodarone hydrochloride 50 mg/ml
Ingen 3372
Kompatibel
injektion Sugammadex 100 mg/ml
injektion Ampicillin sodium - sulbactam sodium 200 mg/ml
Ingen 3372
Kompatibel
injektion Sugammadex 100 mg/ml
injektion Atropine sulfate 1 mg/ml
Ingen 3372
Kompatibel
injektion Sugammadex 100 mg/ml
injektion Bupivacaine hydrochloride 5 mg/ml
Ingen 3372
Kompatibel
injektion Sugammadex 100 mg/ml
injektion Cefazolin sodium 250 mg/ml
Ingen 3372
Kompatibel
injektion Sugammadex 100 mg/ml
injektion Dexmedetomidine 100 µg/ml
Ingen 3372
Omedelbar nederbörd Oförenlig
injektion Sugammadex 100 mg/ml
injektion Dobutamine hydrochloride 12.5 mg/ml
Ingen 3372
Kompatibel
injektion Sugammadex 100 mg/ml
injektion Dopamine hydrochloride 8 mg/ml
Ingen 3372
Kompatibel
injektion Sugammadex 100 mg/ml
injektion Ephedrine hydrochloride 50 mg/ml
Ingen 3372
Kompatibel
injektion Sugammadex 100 mg/ml
injektion Epinephrine hydrochloride 1000 µg/ml
Ingen 3372
Kompatibel
injektion Sugammadex 100 mg/ml
injektion Esomeprazole sodium 40 mg/ml
Ingen 3372
Kompatibel
injektion Sugammadex 100 mg/ml
injektion Etomidate 2 mg/ml
Ingen 3372
Kompatibel
injektion Sugammadex 100 mg/ml
injektion Fentanyl citrate 50 µg/ml
Ingen 3372
Kompatibel
injektion Sugammadex 100 mg/ml
injektion Flumazenil 0.1 mg/ml
Ingen 3372
Kompatibel
injektion Sugammadex 100 mg/ml
injektion Furosemide 10 mg/ml
Ingen 3372
Kompatibel
injektion Sugammadex 100 mg/ml
injektion Gentamicin sulfate 40 mg/ml
Ingen 3372
Kompatibel
injektion Sugammadex 100 mg/ml
injektion Heparin sodium 1000 UI/ml
Ingen 3372
Kompatibel
injektion Sugammadex 100 mg/ml
injektion Hydrocortisone sodium succinate 250 mg/ml
Ingen 3372
Kompatibel
injektion Sugammadex 100 mg/ml
injektion Insulin 100 UI/ml
Ingen 3372
Kompatibel
injektion Sugammadex 100 mg/ml
injektion Ketamine hydrochloride 50 mg/ml
Ingen 3372
Kompatibel
injektion Sugammadex 100 mg/ml
injektion Levobupivacaine hydrochloride 7.5 mg/ml
Ingen 3372
Kompatibel
injektion Sugammadex 100 mg/ml
injektion Magnesium sulfate 72.24 mg/ml
Ingen 3372
Kompatibel
injektion Sugammadex 100 mg/ml
injektion Metamizol sodium 500 mg/ml
Ingen 3372
Kompatibel
injektion Sugammadex 100 mg/ml
injektion Metoclopramide hydrochloride 5 mg/ml
Ingen 3372
Kompatibel
injektion Sugammadex 100 mg/ml
injektion Metoprolol tartrate 1 mg/ml
Ingen 3372
Kompatibel
injektion Sugammadex 100 mg/ml
injektion Midazolam hydrochloride 5 mg/ml
Ingen 3372
Kompatibel
injektion Sugammadex 100 mg/ml
injektion N-acetylcysteine 100 mg/ml
Ingen 3372
Kompatibel
injektion Sugammadex 100 mg/ml
injektion Naloxone hydrochloride 0.4 mg/ml
Ingen 3372
Kompatibel
injektion Sugammadex 100 mg/ml
injektion Neostigmine methylsulfate 0.5 mg/ml
Ingen 3372
Kompatibel
injektion Sugammadex 100 mg/ml
injektion Nitroglycerin 5 mg/ml
Ingen 3372
Kompatibel
injektion Sugammadex 100 mg/ml
injektion Nitroprusside sodium 12 mg/ml
Ingen 3372
Kompatibel
injektion Sugammadex 100 mg/ml
injektion Norepinephrine bitartrate 1 mg/ml
Ingen 3372
Ospecificerad inkompatibilitet Oförenlig
injektion Sugammadex
injektion Ondansetron hydrochloride
2328
Kompatibel
injektion Sugammadex 100 mg/ml
injektion Ornidazole 166.67 mg/ml
Ingen 3372
Kompatibel
injektion Sugammadex 100 mg/ml
injektion Oxytocin 5 UI/ml
Ingen 3372
Kompatibel
injektion Sugammadex 100 mg/ml
injektion Paracetamol 10 mg/ml
Ingen 3372
Kompatibel
injektion Sugammadex 100 mg/ml
injektion Pethidine hydrochloride 50 mg/ml
Ingen 3372
Kompatibel
injektion Sugammadex 100 mg/ml
injektion Phenytoin sodium 50 mg/ml
Ingen 3372
Kompatibel
injektion Sugammadex 100 mg/ml
injektion Phytomenadione 10 mg/ml
Ingen 3372
Omedelbar nederbörd Oförenlig
injektion Sugammadex 100 mg/ml
injektion Protamine hydrochloride 1000 UI/ml
Ingen 3372
Kompatibel
injektion Sugammadex
NaCl 0,45% Glukos 2,5% 2328
Kompatibel
injektion Sugammadex
Ringer-laktatlösning 2328
Kompatibel
injektion Sugammadex 100 mg/ml
injektion Thiopental sodium 25 mg/ml
Ingen 3372
Kompatibel
injektion Sugammadex
Glukos 5 % 2328
Kompatibel
injektion Sugammadex
Natriumklorid 0,9 % 2328
Kompatibel
injektion Sugammadex 100 mg/ml
injektion Propafenone hydrochloride 3.5 mg/ml
Ingen 3372
Ospecificerad inkompatibilitet Oförenlig
injektion Sugammadex
injektion Ranitidine hydrochloride
2328
Kompatibel
injektion Sugammadex 100 mg/ml
injektion Remifentanil hydrochloride 5000 µg/ml
Ingen 3372
Kompatibel
injektion Sugammadex 100 mg/ml
injektion Tenoxicam 10 mg/ml
Ingen 3372
Kompatibel
injektion Sugammadex 100 mg/ml
injektion Theophylline 24 mg/ml
Ingen 3372
Kompatibel
injektion Sugammadex 100 mg/ml
injektion Tramadol hydrochloride 50 mg/ml
Ingen 3372
Ospecificerad inkompatibilitet Oförenlig
injektion Sugammadex
injektion Verapamil hydrochloride
2328

  Mentions Légales