Pēdējā atjaunošana :
18/03/2026
Antidots   Sugammadex  
Injekcija
Šķīduma stabilitāte Maisījuma stabilitāte Stabilitāti ietekmējoši faktori Saderība Levadīšanas veids Literatūras saraksts pdf
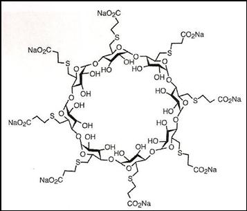
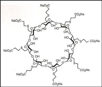
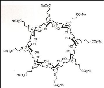
   Ķīmiskā uzbūve   

Oriģinālais nosaukums   Oriģinālais nosaukums     

Tirdzniecības nosaukumi ir apzīmējoši un palīgvielas var atšķirties dažādām valstīm un laboratorijām

Bridion Argentīna, Austrālija, Beļģija, Brazīlija, Čīle, Dānija, Ekvadora, Francija, Īrija, Islande, Itālija, Japāna, Jaunzēlande, Kolumbija, Lielbritānija, Luksemburga, Malaizija, Meksika, Norvēģija, Peru, Portugāle, Rumānija, Spānija, Šveice, Turcija, Ungārija, Vācija
Desintunev Meksika
Sagomyl Čīle
Sugadion Čīle
Sugamastar Peru
Sugammadex Beļģija, Čīle, Īrija, Itālija, Somija, Spānija, Ungārija
Suvitali Meksika
Saderība   Injekcija   Saderība : Sugammadex              
Šī tabula parāda zāļu saderību vai nesaderību, pēc iespējas arī nesaderības tipu (precipitācija, krāsas maiņa, emulsijas sadalīšanās utt). Parādītas šeit saderības ir pārsvarā tikai fizikālās, pēc iespējas tiek parādīta ķīmiskā stabilitāte katrai molekulai. Šo maisījumu analīze tikai veikta, lai izprastu iespējamību ievadīt zāles Y-savienojuma vietā sistēmā pacientam. Šie dati nevar tikt izmantoti, lai pagatavot zāļu maisījumus vēlākai lietošanai maisos vai šļircēs. Šī informācija ir pieejama sadaļā "Maisījuma stabilitāte".
Savienojums Šķīdinātājs Literatūras saraksts
Savietojams
Injekcija Sugammadex 100 mg/ml
Injekcija Aminophylline 24 mg/ml
Nekāds 3372
Tūlītēji nokrišņi Nesavienojams
Injekcija Sugammadex 100 mg/ml
Injekcija Amiodarone hydrochloride 50 mg/ml
Nekāds 3372
Savietojams
Injekcija Sugammadex 100 mg/ml
Injekcija Ampicillin sodium - sulbactam sodium 200 mg/ml
Nekāds 3372
Savietojams
Injekcija Sugammadex 100 mg/ml
Injekcija Atropine sulfate 1 mg/ml
Nekāds 3372
Savietojams
Injekcija Sugammadex 100 mg/ml
Injekcija Bupivacaine hydrochloride 5 mg/ml
Nekāds 3372
Savietojams
Injekcija Sugammadex 100 mg/ml
Injekcija Cefazolin sodium 250 mg/ml
Nekāds 3372
Savietojams
Injekcija Sugammadex 100 mg/ml
Injekcija Dexmedetomidine 100 µg/ml
Nekāds 3372
Tūlītēji nokrišņi Nesavienojams
Injekcija Sugammadex 100 mg/ml
Injekcija Dobutamine hydrochloride 12.5 mg/ml
Nekāds 3372
Savietojams
Injekcija Sugammadex 100 mg/ml
Injekcija Dopamine hydrochloride 8 mg/ml
Nekāds 3372
Savietojams
Injekcija Sugammadex 100 mg/ml
Injekcija Ephedrine hydrochloride 50 mg/ml
Nekāds 3372
Savietojams
Injekcija Sugammadex 100 mg/ml
Injekcija Epinephrine hydrochloride 1000 µg/ml
Nekāds 3372
Savietojams
Injekcija Sugammadex 100 mg/ml
Injekcija Esomeprazole sodium 40 mg/ml
Nekāds 3372
Savietojams
Injekcija Sugammadex 100 mg/ml
Injekcija Etomidate 2 mg/ml
Nekāds 3372
Savietojams
Injekcija Sugammadex 100 mg/ml
Injekcija Fentanyl citrate 50 µg/ml
Nekāds 3372
Savietojams
Injekcija Sugammadex 100 mg/ml
Injekcija Flumazenil 0.1 mg/ml
Nekāds 3372
Savietojams
Injekcija Sugammadex 100 mg/ml
Injekcija Furosemide 10 mg/ml
Nekāds 3372
Savietojams
Injekcija Sugammadex 100 mg/ml
Injekcija Gentamicin sulfate 40 mg/ml
Nekāds 3372
Savietojams
Injekcija Sugammadex 100 mg/ml
Injekcija Heparin sodium 1000 UI/ml
Nekāds 3372
Savietojams
Injekcija Sugammadex 100 mg/ml
Injekcija Hydrocortisone sodium succinate 250 mg/ml
Nekāds 3372
Savietojams
Injekcija Sugammadex 100 mg/ml
Injekcija Insulin 100 UI/ml
Nekāds 3372
Savietojams
Injekcija Sugammadex 100 mg/ml
Injekcija Ketamine hydrochloride 50 mg/ml
Nekāds 3372
Savietojams
Injekcija Sugammadex 100 mg/ml
Injekcija Levobupivacaine hydrochloride 7.5 mg/ml
Nekāds 3372
Savietojams
Injekcija Sugammadex 100 mg/ml
Injekcija Magnesium sulfate 72.24 mg/ml
Nekāds 3372
Savietojams
Injekcija Sugammadex 100 mg/ml
Injekcija Metamizol sodium 500 mg/ml
Nekāds 3372
Savietojams
Injekcija Sugammadex 100 mg/ml
Injekcija Metoclopramide hydrochloride 5 mg/ml
Nekāds 3372
Savietojams
Injekcija Sugammadex 100 mg/ml
Injekcija Metoprolol tartrate 1 mg/ml
Nekāds 3372
Savietojams
Injekcija Sugammadex 100 mg/ml
Injekcija Midazolam hydrochloride 5 mg/ml
Nekāds 3372
Savietojams
Injekcija Sugammadex 100 mg/ml
Injekcija N-acetylcysteine 100 mg/ml
Nekāds 3372
Savietojams
Injekcija Sugammadex 100 mg/ml
Injekcija Naloxone hydrochloride 0.4 mg/ml
Nekāds 3372
Savietojams
Injekcija Sugammadex 100 mg/ml
Injekcija Neostigmine methylsulfate 0.5 mg/ml
Nekāds 3372
Savietojams
Injekcija Sugammadex 100 mg/ml
Injekcija Nitroglycerin 5 mg/ml
Nekāds 3372
Savietojams
Injekcija Sugammadex 100 mg/ml
Injekcija Nitroprusside sodium 12 mg/ml
Nekāds 3372
Savietojams
Injekcija Sugammadex 100 mg/ml
Injekcija Norepinephrine bitartrate 1 mg/ml
Nekāds 3372
Neprecizēta nesaderība Nesavienojams
Injekcija Sugammadex
Injekcija Ondansetron hydrochloride
2328
Savietojams
Injekcija Sugammadex 100 mg/ml
Injekcija Ornidazole 166.67 mg/ml
Nekāds 3372
Savietojams
Injekcija Sugammadex 100 mg/ml
Injekcija Oxytocin 5 UI/ml
Nekāds 3372
Savietojams
Injekcija Sugammadex 100 mg/ml
Injekcija Paracetamol 10 mg/ml
Nekāds 3372
Savietojams
Injekcija Sugammadex 100 mg/ml
Injekcija Pethidine hydrochloride 50 mg/ml
Nekāds 3372
Savietojams
Injekcija Sugammadex 100 mg/ml
Injekcija Phenytoin sodium 50 mg/ml
Nekāds 3372
Savietojams
Injekcija Sugammadex 100 mg/ml
Injekcija Phytomenadione 10 mg/ml
Nekāds 3372
Tūlītēji nokrišņi Nesavienojams
Injekcija Sugammadex 100 mg/ml
Injekcija Protamine hydrochloride 1000 UI/ml
Nekāds 3372
Savietojams
Injekcija Sugammadex
NaCl 0,45% glikoze 2,5% 2328
Savietojams
Injekcija Sugammadex
Ringera laktāta šķīdums 2328
Savietojams
Injekcija Sugammadex 100 mg/ml
Injekcija Thiopental sodium 25 mg/ml
Nekāds 3372
Savietojams
Injekcija Sugammadex
5% glikoze 2328
Savietojams
Injekcija Sugammadex
Nātrija hlorīds 0.9% 2328
Savietojams
Injekcija Sugammadex 100 mg/ml
Injekcija Propafenone hydrochloride 3.5 mg/ml
Nekāds 3372
Neprecizēta nesaderība Nesavienojams
Injekcija Sugammadex
Injekcija Ranitidine hydrochloride
2328
Savietojams
Injekcija Sugammadex 100 mg/ml
Injekcija Remifentanil hydrochloride 5000 µg/ml
Nekāds 3372
Savietojams
Injekcija Sugammadex 100 mg/ml
Injekcija Tenoxicam 10 mg/ml
Nekāds 3372
Savietojams
Injekcija Sugammadex 100 mg/ml
Injekcija Theophylline 24 mg/ml
Nekāds 3372
Savietojams
Injekcija Sugammadex 100 mg/ml
Injekcija Tramadol hydrochloride 50 mg/ml
Nekāds 3372
Neprecizēta nesaderība Nesavienojams
Injekcija Sugammadex
Injekcija Verapamil hydrochloride
2328

  Mentions Légales