Dernière mise à jour :
17/12/2025
Antidote   Sugammadex  
injectable
Stabilité des solutions Stabilité en mélange Facteur influençant la stabilité Compatibilités Voie d’administration Bibliographie pdf
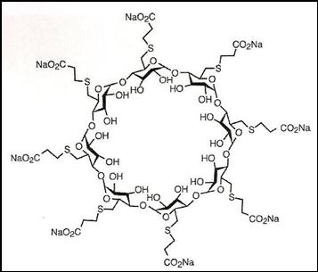
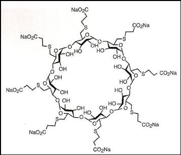
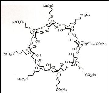
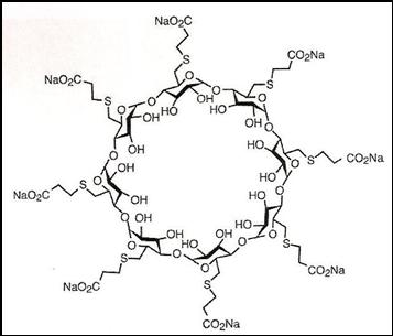
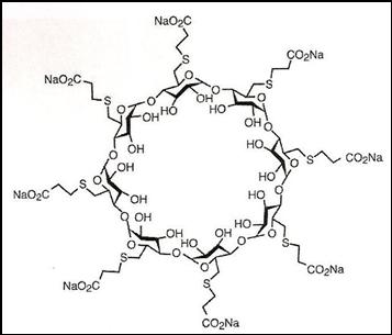
   Structure chimique  

Noms commerciaux   Noms commerciaux     

Les noms commerciaux sont donnés à titre indicatif et la composition en excipients peut être différente selon les pays et selon les laboratoires

Bridion Allemagne, Argentine, Australie, Belgique, Brésil, Chili, Colombie, Danemark, Equateur, Espagne, France, Grande Bretagne, Hongrie, Irlande, Islande, Italie, Japon, Luxembourg, Malaisie, Mexique, Norvège, Nouvelle Zélande, Pérou, Portugal, Roumanie, Suisse, Turquie
Desintunev Mexique
Sagomyl Chili
Sugadion Chili
Sugamastar Pérou
Sugammadex Belgique, Chili, Espagne, Finlande, Hongrie, Irlande, Italie
Suvitali Mexique
Stabilité des solutions   injectable   Stabilité des solutions : Sugammadex     
Contenant Solvant Concentration Température Conservation Durée de stabilité Bibliographie
Non précisé Chlorure de sodium 0,9% 10 mg/ml 2-8°C Non précisée
48 Heure
2328
Données de stabilité du fabricant

Non précisé Chlorure de sodium 0,9% 10 mg/ml 25°C Non précisée
48 Heure
2328
Données de stabilité du fabricant


  Mentions Légales