Poslední aktualizace :
18/03/2026
Antidotas   Sugammadex  
Įpurškimas
Tirpalų stabilumas Mišinių stabilumas Stabilumą lemiantys veiksniai Suderinamumas Leidimo būdai Bibliografija pdf
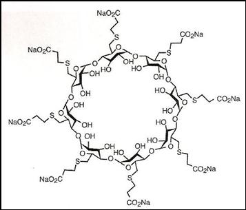
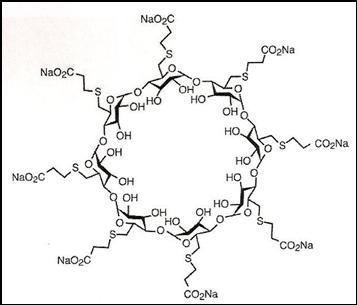
   Cheminė sandara  

Prekinis pavadinimas   Prekinis pavadinimas     

Trade names are indicative and excipients composition can be different depending on the country and manufacturers

Bridion Airija, Argentina, Australija, Belgija, Brazilija, Čilė, Danija, Didžioji Britanija, Ekvadoras, Islandija, Ispanija, Italija, Japonija, Kolumbija, Liuksemburgas, Malaizija, Meksikas, Naujojoje Zelandijoje, Norvegija, Peru, Portugalija, Prancūzija, Rumunija, Šveicarija, Turkija, Vengrija, Vokietija
Desintunev Meksikas
Sagomyl Čilė
Sugadion Čilė
Sugamastar Peru
Sugammadex Airija, Belgija, Čilė, Ispanija, Italija, Suomija, Vengrija
Suvitali Meksikas
Suderinamumas   Įpurškimas   Suderinamumas : Sugammadex              
explication_incompatibilite_molecules
Molekulė Tirpiklis Nuorodos
Suderinamas
Įpurškimas Sugammadex 100 mg/ml
Įpurškimas Aminophylline 24 mg/ml
Nėra 3372
Nedelsiant krituliai Nesuderinamas
Įpurškimas Sugammadex 100 mg/ml
Įpurškimas Amiodarone hydrochloride 50 mg/ml
Nėra 3372
Suderinamas
Įpurškimas Sugammadex 100 mg/ml
Įpurškimas Ampicillin sodium - sulbactam sodium 200 mg/ml
Nėra 3372
Suderinamas
Įpurškimas Sugammadex 100 mg/ml
Įpurškimas Atropine sulfate 1 mg/ml
Nėra 3372
Suderinamas
Įpurškimas Sugammadex 100 mg/ml
Įpurškimas Bupivacaine hydrochloride 5 mg/ml
Nėra 3372
Suderinamas
Įpurškimas Sugammadex 100 mg/ml
Įpurškimas Cefazolin sodium 250 mg/ml
Nėra 3372
Suderinamas
Įpurškimas Sugammadex 100 mg/ml
Įpurškimas Dexmedetomidine 100 µg/ml
Nėra 3372
Nedelsiant krituliai Nesuderinamas
Įpurškimas Sugammadex 100 mg/ml
Įpurškimas Dobutamine hydrochloride 12.5 mg/ml
Nėra 3372
Suderinamas
Įpurškimas Sugammadex 100 mg/ml
Įpurškimas Dopamine hydrochloride 8 mg/ml
Nėra 3372
Suderinamas
Įpurškimas Sugammadex 100 mg/ml
Įpurškimas Ephedrine hydrochloride 50 mg/ml
Nėra 3372
Suderinamas
Įpurškimas Sugammadex 100 mg/ml
Įpurškimas Epinephrine hydrochloride 1000 µg/ml
Nėra 3372
Suderinamas
Įpurškimas Sugammadex 100 mg/ml
Įpurškimas Esomeprazole sodium 40 mg/ml
Nėra 3372
Suderinamas
Įpurškimas Sugammadex 100 mg/ml
Įpurškimas Etomidate 2 mg/ml
Nėra 3372
Suderinamas
Įpurškimas Sugammadex 100 mg/ml
Įpurškimas Fentanyl citrate 50 µg/ml
Nėra 3372
Suderinamas
Įpurškimas Sugammadex 100 mg/ml
Įpurškimas Flumazenil 0.1 mg/ml
Nėra 3372
Suderinamas
Įpurškimas Sugammadex 100 mg/ml
Įpurškimas Furosemide 10 mg/ml
Nėra 3372
Suderinamas
Įpurškimas Sugammadex 100 mg/ml
Įpurškimas Gentamicin sulfate 40 mg/ml
Nėra 3372
Suderinamas
Įpurškimas Sugammadex 100 mg/ml
Įpurškimas Heparin sodium 1000 UI/ml
Nėra 3372
Suderinamas
Įpurškimas Sugammadex 100 mg/ml
Įpurškimas Hydrocortisone sodium succinate 250 mg/ml
Nėra 3372
Suderinamas
Įpurškimas Sugammadex 100 mg/ml
Įpurškimas Insulin 100 UI/ml
Nėra 3372
Suderinamas
Įpurškimas Sugammadex 100 mg/ml
Įpurškimas Ketamine hydrochloride 50 mg/ml
Nėra 3372
Suderinamas
Įpurškimas Sugammadex 100 mg/ml
Įpurškimas Levobupivacaine hydrochloride 7.5 mg/ml
Nėra 3372
Suderinamas
Įpurškimas Sugammadex 100 mg/ml
Įpurškimas Magnesium sulfate 72.24 mg/ml
Nėra 3372
Suderinamas
Įpurškimas Sugammadex 100 mg/ml
Įpurškimas Metamizol sodium 500 mg/ml
Nėra 3372
Suderinamas
Įpurškimas Sugammadex 100 mg/ml
Įpurškimas Metoclopramide hydrochloride 5 mg/ml
Nėra 3372
Suderinamas
Įpurškimas Sugammadex 100 mg/ml
Įpurškimas Metoprolol tartrate 1 mg/ml
Nėra 3372
Suderinamas
Įpurškimas Sugammadex 100 mg/ml
Įpurškimas Midazolam hydrochloride 5 mg/ml
Nėra 3372
Suderinamas
Įpurškimas Sugammadex 100 mg/ml
Įpurškimas N-acetylcysteine 100 mg/ml
Nėra 3372
Suderinamas
Įpurškimas Sugammadex 100 mg/ml
Įpurškimas Naloxone hydrochloride 0.4 mg/ml
Nėra 3372
Suderinamas
Įpurškimas Sugammadex 100 mg/ml
Įpurškimas Neostigmine methylsulfate 0.5 mg/ml
Nėra 3372
Suderinamas
Įpurškimas Sugammadex 100 mg/ml
Įpurškimas Nitroglycerin 5 mg/ml
Nėra 3372
Suderinamas
Įpurškimas Sugammadex 100 mg/ml
Įpurškimas Nitroprusside sodium 12 mg/ml
Nėra 3372
Suderinamas
Įpurškimas Sugammadex 100 mg/ml
Įpurškimas Norepinephrine bitartrate 1 mg/ml
Nėra 3372
Nepatikslintas nesuderinamumas Nesuderinamas
Įpurškimas Sugammadex
Įpurškimas Ondansetron hydrochloride
2328
Suderinamas
Įpurškimas Sugammadex 100 mg/ml
Įpurškimas Ornidazole 166.67 mg/ml
Nėra 3372
Suderinamas
Įpurškimas Sugammadex 100 mg/ml
Įpurškimas Oxytocin 5 UI/ml
Nėra 3372
Suderinamas
Įpurškimas Sugammadex 100 mg/ml
Įpurškimas Paracetamol 10 mg/ml
Nėra 3372
Suderinamas
Įpurškimas Sugammadex 100 mg/ml
Įpurškimas Pethidine hydrochloride 50 mg/ml
Nėra 3372
Suderinamas
Įpurškimas Sugammadex 100 mg/ml
Įpurškimas Phenytoin sodium 50 mg/ml
Nėra 3372
Suderinamas
Įpurškimas Sugammadex 100 mg/ml
Įpurškimas Phytomenadione 10 mg/ml
Nėra 3372
Nedelsiant krituliai Nesuderinamas
Įpurškimas Sugammadex 100 mg/ml
Įpurškimas Protamine hydrochloride 1000 UI/ml
Nėra 3372
Suderinamas
Įpurškimas Sugammadex
NaCl 0,45% Gliukozė 2,5% 2328
Suderinamas
Įpurškimas Sugammadex
Ringerio laktato tirpalas 2328
Suderinamas
Įpurškimas Sugammadex 100 mg/ml
Įpurškimas Thiopental sodium 25 mg/ml
Nėra 3372
Suderinamas
Įpurškimas Sugammadex
Gliukozė 5% 2328
Suderinamas
Įpurškimas Sugammadex
Natrio chloridas 0,9% 2328
Suderinamas
Įpurškimas Sugammadex 100 mg/ml
Įpurškimas Propafenone hydrochloride 3.5 mg/ml
Nėra 3372
Nepatikslintas nesuderinamumas Nesuderinamas
Įpurškimas Sugammadex
Įpurškimas Ranitidine hydrochloride
2328
Suderinamas
Įpurškimas Sugammadex 100 mg/ml
Įpurškimas Remifentanil hydrochloride 5000 µg/ml
Nėra 3372
Suderinamas
Įpurškimas Sugammadex 100 mg/ml
Įpurškimas Tenoxicam 10 mg/ml
Nėra 3372
Suderinamas
Įpurškimas Sugammadex 100 mg/ml
Įpurškimas Theophylline 24 mg/ml
Nėra 3372
Suderinamas
Įpurškimas Sugammadex 100 mg/ml
Įpurškimas Tramadol hydrochloride 50 mg/ml
Nėra 3372
Nepatikslintas nesuderinamumas Nesuderinamas
Įpurškimas Sugammadex
Įpurškimas Verapamil hydrochloride
2328

  Mentions Légales