Last update :
18/03/2026
Antidote   Sugammadex  
injection
Stability in solutions Stability of mixtures Factors which affect stability Compatibility Route of administration References pdf
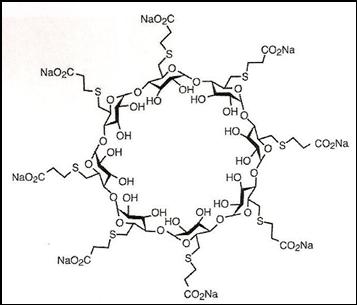
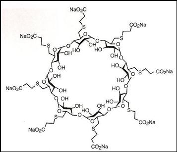
   Chemical structure  

Tradename   Tradename     

Trade names are indicative and excipients composition can be different depending on the country and manufacturers

Bridion Argentina, Australia, Belgium, Brazil, Chile, Colombia, Denmark, Ecuador, France, Germany, Great Britain, Hungary, Iceland, Ireland, Italy, Japan, Luxembourg, Malaysia, Mexico, New Zealand, Norway, Peru, Portugal, Romania, Spain, Switzerland, Turkey
Desintunev Mexico
Sagomyl Chile
Sugadion Chile
Sugamastar Peru
Sugammadex Belgium, Chile, Finland, Hungary, Ireland, Italy, Spain
Suvitali Mexico
Compatibility   injection   Compatibility : Sugammadex              
This screen indicates the compatibilities or incompatibilities with, in this case, the type of incompatibility (precipitation, color change, modification of an emulsion, etc.). The compatibilities shown here are mostly physical only, with the chemical stability of each molecule rarely being assessed. The evaluation of these mixtures was studied to consider the possibility of Y-site administration to the patient. These data cannot be used for making mixtures in advance in bags or syringes. This type of information is available in the screen "Stability in mixture ».
Compound Solvent References
Compatible
injection Sugammadex 100 mg/ml
injection Aminophylline 24 mg/ml
None 3372
Immediate precipitation Incompatible
injection Sugammadex 100 mg/ml
injection Amiodarone hydrochloride 50 mg/ml
None 3372
Compatible
injection Sugammadex 100 mg/ml
injection Ampicillin sodium - sulbactam sodium 200 mg/ml
None 3372
Compatible
injection Sugammadex 100 mg/ml
injection Atropine sulfate 1 mg/ml
None 3372
Compatible
injection Sugammadex 100 mg/ml
injection Bupivacaine hydrochloride 5 mg/ml
None 3372
Compatible
injection Sugammadex 100 mg/ml
injection Cefazolin sodium 250 mg/ml
None 3372
Compatible
injection Sugammadex 100 mg/ml
injection Dexmedetomidine 100 µg/ml
None 3372
Immediate precipitation Incompatible
injection Sugammadex 100 mg/ml
injection Dobutamine hydrochloride 12.5 mg/ml
None 3372
Compatible
injection Sugammadex 100 mg/ml
injection Dopamine hydrochloride 8 mg/ml
None 3372
Compatible
injection Sugammadex 100 mg/ml
injection Ephedrine hydrochloride 50 mg/ml
None 3372
Compatible
injection Sugammadex 100 mg/ml
injection Epinephrine hydrochloride 1000 µg/ml
None 3372
Compatible
injection Sugammadex 100 mg/ml
injection Esomeprazole sodium 40 mg/ml
None 3372
Compatible
injection Sugammadex 100 mg/ml
injection Etomidate 2 mg/ml
None 3372
Compatible
injection Sugammadex 100 mg/ml
injection Fentanyl citrate 50 µg/ml
None 3372
Compatible
injection Sugammadex 100 mg/ml
injection Flumazenil 0.1 mg/ml
None 3372
Compatible
injection Sugammadex 100 mg/ml
injection Furosemide 10 mg/ml
None 3372
Compatible
injection Sugammadex 100 mg/ml
injection Gentamicin sulfate 40 mg/ml
None 3372
Compatible
injection Sugammadex 100 mg/ml
injection Heparin sodium 1000 UI/ml
None 3372
Compatible
injection Sugammadex 100 mg/ml
injection Hydrocortisone sodium succinate 250 mg/ml
None 3372
Compatible
injection Sugammadex 100 mg/ml
injection Insulin 100 UI/ml
None 3372
Compatible
injection Sugammadex 100 mg/ml
injection Ketamine hydrochloride 50 mg/ml
None 3372
Compatible
injection Sugammadex 100 mg/ml
injection Levobupivacaine hydrochloride 7.5 mg/ml
None 3372
Compatible
injection Sugammadex 100 mg/ml
injection Magnesium sulfate 72.24 mg/ml
None 3372
Compatible
injection Sugammadex 100 mg/ml
injection Metamizol sodium 500 mg/ml
None 3372
Compatible
injection Sugammadex 100 mg/ml
injection Metoclopramide hydrochloride 5 mg/ml
None 3372
Compatible
injection Sugammadex 100 mg/ml
injection Metoprolol tartrate 1 mg/ml
None 3372
Compatible
injection Sugammadex 100 mg/ml
injection Midazolam hydrochloride 5 mg/ml
None 3372
Compatible
injection Sugammadex 100 mg/ml
injection N-acetylcysteine 100 mg/ml
None 3372
Compatible
injection Sugammadex 100 mg/ml
injection Naloxone hydrochloride 0.4 mg/ml
None 3372
Compatible
injection Sugammadex 100 mg/ml
injection Neostigmine methylsulfate 0.5 mg/ml
None 3372
Compatible
injection Sugammadex 100 mg/ml
injection Nitroglycerin 5 mg/ml
None 3372
Compatible
injection Sugammadex 100 mg/ml
injection Nitroprusside sodium 12 mg/ml
None 3372
Compatible
injection Sugammadex 100 mg/ml
injection Norepinephrine bitartrate 1 mg/ml
None 3372
Unspecified incompatibility Incompatible
injection Sugammadex
injection Ondansetron hydrochloride
2328
Compatible
injection Sugammadex 100 mg/ml
injection Ornidazole 166.67 mg/ml
None 3372
Compatible
injection Sugammadex 100 mg/ml
injection Oxytocin 5 UI/ml
None 3372
Compatible
injection Sugammadex 100 mg/ml
injection Paracetamol 10 mg/ml
None 3372
Compatible
injection Sugammadex 100 mg/ml
injection Pethidine hydrochloride 50 mg/ml
None 3372
Compatible
injection Sugammadex 100 mg/ml
injection Phenytoin sodium 50 mg/ml
None 3372
Compatible
injection Sugammadex 100 mg/ml
injection Phytomenadione 10 mg/ml
None 3372
Immediate precipitation Incompatible
injection Sugammadex 100 mg/ml
injection Protamine hydrochloride 1000 UI/ml
None 3372
Compatible
injection Sugammadex
NaCl 0,45% Glucose 2,5% 2328
Compatible
injection Sugammadex
Ringer’s lactate solution 2328
Compatible
injection Sugammadex 100 mg/ml
injection Thiopental sodium 25 mg/ml
None 3372
Compatible
injection Sugammadex
Glucose 5% 2328
Compatible
injection Sugammadex
Sodium chloride 0,9% 2328
Compatible
injection Sugammadex 100 mg/ml
injection Propafenone hydrochloride 3.5 mg/ml
None 3372
Unspecified incompatibility Incompatible
injection Sugammadex
injection Ranitidine hydrochloride
2328
Compatible
injection Sugammadex 100 mg/ml
injection Remifentanil hydrochloride 5000 µg/ml
None 3372
Compatible
injection Sugammadex 100 mg/ml
injection Tenoxicam 10 mg/ml
None 3372
Compatible
injection Sugammadex 100 mg/ml
injection Theophylline 24 mg/ml
None 3372
Compatible
injection Sugammadex 100 mg/ml
injection Tramadol hydrochloride 50 mg/ml
None 3372
Unspecified incompatibility Incompatible
injection Sugammadex
injection Verapamil hydrochloride
2328

  Mentions Légales