Zadnji put ažurirano :
18/03/2026
protuotrov   Sugammadex  
injekcija
Stabilizacija rješenja Stabilnost mješavine Stabilizacijski faktor Kompatibilnosti način davanja lijeka Bibliografija pdf
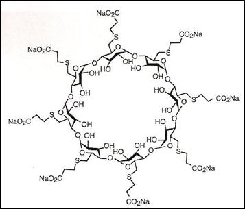
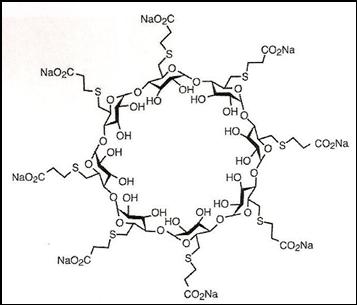
   Kemijska struktura  

Nekomercijalni   Nekomercijalni     

Zaštićeni nazivi su indikativni i sastav ekscipijensa može biti različit ovisno o državi i laboratorijima

Bridion Argentina, Australija, Belgija, Brazil, Čile, Danska, Ekvador, Francuska, Irska, Island, Italija, Japan, Kolumbija, Luksemburg, Madžarska, Malezija, Meksiko, Njemačka, Norveška, novi Zeland, Peru, Portugal, Rumunjska, Španjolska, Švicarska, Turska, Velika Britanija
Desintunev Meksiko
Sagomyl Čile
Sugadion Čile
Sugamastar Peru
Sugammadex Belgija, Čile, Finska, Irska, Italija, Madžarska, Španjolska
Suvitali Meksiko
Kompatibilnosti   injekcija   Kompatibilnosti : Sugammadex              
Ovdje su prikazane kompatibilnosti ili nekompatibilnosti s tipom nekompatibilnosti (taloženje, promjena boje, modifikacija emulzije itd.) u ovom slučaju. Kompatibilnosti prikazane ovdje najčešće su fizikalne dok se kemijska stabilnost molekule rijetko procjenjuje. Procjena ovih mikstura je proučavana kako bi se razmotrila mogućnost primjene lijeka putem Y-mjesta. Ovi se podaci ne smiju koristiti za pripremu mikstura unaprijed u vrećicama ili štrcaljkama. Ova vrsta informacije se može pronaći u odjeljku « stabilnost u miksturama ».
molekula sredstvo za rastapanje Bibliografija
Kompatibilan
injekcija Sugammadex 100 mg/ml
injekcija Aminophylline 24 mg/ml
nijedan 3372
Neposredne oborine inkompatibilan
injekcija Sugammadex 100 mg/ml
injekcija Amiodarone hydrochloride 50 mg/ml
nijedan 3372
Kompatibilan
injekcija Sugammadex 100 mg/ml
injekcija Ampicillin sodium - sulbactam sodium 200 mg/ml
nijedan 3372
Kompatibilan
injekcija Sugammadex 100 mg/ml
injekcija Atropine sulfate 1 mg/ml
nijedan 3372
Kompatibilan
injekcija Sugammadex 100 mg/ml
injekcija Bupivacaine hydrochloride 5 mg/ml
nijedan 3372
Kompatibilan
injekcija Sugammadex 100 mg/ml
injekcija Cefazolin sodium 250 mg/ml
nijedan 3372
Kompatibilan
injekcija Sugammadex 100 mg/ml
injekcija Dexmedetomidine 100 µg/ml
nijedan 3372
Neposredne oborine inkompatibilan
injekcija Sugammadex 100 mg/ml
injekcija Dobutamine hydrochloride 12.5 mg/ml
nijedan 3372
Kompatibilan
injekcija Sugammadex 100 mg/ml
injekcija Dopamine hydrochloride 8 mg/ml
nijedan 3372
Kompatibilan
injekcija Sugammadex 100 mg/ml
injekcija Ephedrine hydrochloride 50 mg/ml
nijedan 3372
Kompatibilan
injekcija Sugammadex 100 mg/ml
injekcija Epinephrine hydrochloride 1000 µg/ml
nijedan 3372
Kompatibilan
injekcija Sugammadex 100 mg/ml
injekcija Esomeprazole sodium 40 mg/ml
nijedan 3372
Kompatibilan
injekcija Sugammadex 100 mg/ml
injekcija Etomidate 2 mg/ml
nijedan 3372
Kompatibilan
injekcija Sugammadex 100 mg/ml
injekcija Fentanyl citrate 50 µg/ml
nijedan 3372
Kompatibilan
injekcija Sugammadex 100 mg/ml
injekcija Flumazenil 0.1 mg/ml
nijedan 3372
Kompatibilan
injekcija Sugammadex 100 mg/ml
injekcija Furosemide 10 mg/ml
nijedan 3372
Kompatibilan
injekcija Sugammadex 100 mg/ml
injekcija Gentamicin sulfate 40 mg/ml
nijedan 3372
Kompatibilan
injekcija Sugammadex 100 mg/ml
injekcija Heparin sodium 1000 UI/ml
nijedan 3372
Kompatibilan
injekcija Sugammadex 100 mg/ml
injekcija Hydrocortisone sodium succinate 250 mg/ml
nijedan 3372
Kompatibilan
injekcija Sugammadex 100 mg/ml
injekcija Insulin 100 UI/ml
nijedan 3372
Kompatibilan
injekcija Sugammadex 100 mg/ml
injekcija Ketamine hydrochloride 50 mg/ml
nijedan 3372
Kompatibilan
injekcija Sugammadex 100 mg/ml
injekcija Levobupivacaine hydrochloride 7.5 mg/ml
nijedan 3372
Kompatibilan
injekcija Sugammadex 100 mg/ml
injekcija Magnesium sulfate 72.24 mg/ml
nijedan 3372
Kompatibilan
injekcija Sugammadex 100 mg/ml
injekcija Metamizol sodium 500 mg/ml
nijedan 3372
Kompatibilan
injekcija Sugammadex 100 mg/ml
injekcija Metoclopramide hydrochloride 5 mg/ml
nijedan 3372
Kompatibilan
injekcija Sugammadex 100 mg/ml
injekcija Metoprolol tartrate 1 mg/ml
nijedan 3372
Kompatibilan
injekcija Sugammadex 100 mg/ml
injekcija Midazolam hydrochloride 5 mg/ml
nijedan 3372
Kompatibilan
injekcija Sugammadex 100 mg/ml
injekcija N-acetylcysteine 100 mg/ml
nijedan 3372
Kompatibilan
injekcija Sugammadex 100 mg/ml
injekcija Naloxone hydrochloride 0.4 mg/ml
nijedan 3372
Kompatibilan
injekcija Sugammadex 100 mg/ml
injekcija Neostigmine methylsulfate 0.5 mg/ml
nijedan 3372
Kompatibilan
injekcija Sugammadex 100 mg/ml
injekcija Nitroglycerin 5 mg/ml
nijedan 3372
Kompatibilan
injekcija Sugammadex 100 mg/ml
injekcija Nitroprusside sodium 12 mg/ml
nijedan 3372
Kompatibilan
injekcija Sugammadex 100 mg/ml
injekcija Norepinephrine bitartrate 1 mg/ml
nijedan 3372
Neodređena nespojivost inkompatibilan
injekcija Sugammadex
injekcija Ondansetron hydrochloride
2328
Kompatibilan
injekcija Sugammadex 100 mg/ml
injekcija Ornidazole 166.67 mg/ml
nijedan 3372
Kompatibilan
injekcija Sugammadex 100 mg/ml
injekcija Oxytocin 5 UI/ml
nijedan 3372
Kompatibilan
injekcija Sugammadex 100 mg/ml
injekcija Paracetamol 10 mg/ml
nijedan 3372
Kompatibilan
injekcija Sugammadex 100 mg/ml
injekcija Pethidine hydrochloride 50 mg/ml
nijedan 3372
Kompatibilan
injekcija Sugammadex 100 mg/ml
injekcija Phenytoin sodium 50 mg/ml
nijedan 3372
Kompatibilan
injekcija Sugammadex 100 mg/ml
injekcija Phytomenadione 10 mg/ml
nijedan 3372
Neposredne oborine inkompatibilan
injekcija Sugammadex 100 mg/ml
injekcija Protamine hydrochloride 1000 UI/ml
nijedan 3372
Kompatibilan
injekcija Sugammadex
NaCl 0,45% glukoza 2,5% 2328
Kompatibilan
injekcija Sugammadex
Ringer laktat 2328
Kompatibilan
injekcija Sugammadex 100 mg/ml
injekcija Thiopental sodium 25 mg/ml
nijedan 3372
Kompatibilan
injekcija Sugammadex
glukoza 5% 2328
Kompatibilan
injekcija Sugammadex
natrijumkorid 0,9% 2328
Kompatibilan
injekcija Sugammadex 100 mg/ml
injekcija Propafenone hydrochloride 3.5 mg/ml
nijedan 3372
Neodređena nespojivost inkompatibilan
injekcija Sugammadex
injekcija Ranitidine hydrochloride
2328
Kompatibilan
injekcija Sugammadex 100 mg/ml
injekcija Remifentanil hydrochloride 5000 µg/ml
nijedan 3372
Kompatibilan
injekcija Sugammadex 100 mg/ml
injekcija Tenoxicam 10 mg/ml
nijedan 3372
Kompatibilan
injekcija Sugammadex 100 mg/ml
injekcija Theophylline 24 mg/ml
nijedan 3372
Kompatibilan
injekcija Sugammadex 100 mg/ml
injekcija Tramadol hydrochloride 50 mg/ml
nijedan 3372
Neodređena nespojivost inkompatibilan
injekcija Sugammadex
injekcija Verapamil hydrochloride
2328

  Mentions Légales