Последнее обновление :
18/03/2026
Противоядие   Sugammadex  
Инъекция
Стабильность растворов Стабильность смесей Факторы, которые влияют на стабильность Совместимость Способы введения Библиография pdf
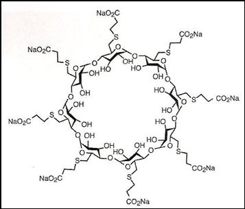
   Химическая структура  

Товарное название   Товарное название     

Trade names are indicative and excipients composition can be different depending on the country and manufacturers

Bridion Австралия, Аргентина, Бельгия, Бразилия, Великобритания, Венгрия, Германия, Дания, Ирландия, Исландия, Испания, Италия, Колумбия, Люксембург, Малайзия, Мексика, новая Зеландия, Норвегия, Перу, Португалия, Румыния, Турция, Франция, чили, Швейцария, Эквадор, Япония
Desintunev Мексика
Sagomyl чили
Sugadion чили
Sugamastar Перу
Sugammadex Бельгия, Венгрия, Ирландия, Испания, Италия, Финляндия, чили
Suvitali Мексика
Совместимость   Инъекция   Совместимость : Sugammadex              
Эта таблица показывает совместимость или несовместимость препаратов, по возможности тип несовместимости (преципитат, смена цвета, разложение эмульсии и др.). Показанные здесь совместимости в основном физические, по возможности указана и химическая стабильность каждой молекулы. Анализ этих смесей произведён для исследования возможности ввести препараты пациенту в Y-соединении систем. Эти данные нельзя использовать, чтобы приготовить лекарства на будущее в мешках или шприцах. Эта информация доступна в разделе "Стабильность смесей".
Молекула Растворитель Ссылки
совместимый
Инъекция Sugammadex 100 mg/ml
Инъекция Aminophylline 24 mg/ml
Нет 3372
Немедленные осадки несовместимый
Инъекция Sugammadex 100 mg/ml
Инъекция Amiodarone hydrochloride 50 mg/ml
Нет 3372
совместимый
Инъекция Sugammadex 100 mg/ml
Инъекция Ampicillin sodium - sulbactam sodium 200 mg/ml
Нет 3372
совместимый
Инъекция Sugammadex 100 mg/ml
Инъекция Atropine sulfate 1 mg/ml
Нет 3372
совместимый
Инъекция Sugammadex 100 mg/ml
Инъекция Bupivacaine hydrochloride 5 mg/ml
Нет 3372
совместимый
Инъекция Sugammadex 100 mg/ml
Инъекция Cefazolin sodium 250 mg/ml
Нет 3372
совместимый
Инъекция Sugammadex 100 mg/ml
Инъекция Dexmedetomidine 100 µg/ml
Нет 3372
Немедленные осадки несовместимый
Инъекция Sugammadex 100 mg/ml
Инъекция Dobutamine hydrochloride 12.5 mg/ml
Нет 3372
совместимый
Инъекция Sugammadex 100 mg/ml
Инъекция Dopamine hydrochloride 8 mg/ml
Нет 3372
совместимый
Инъекция Sugammadex 100 mg/ml
Инъекция Ephedrine hydrochloride 50 mg/ml
Нет 3372
совместимый
Инъекция Sugammadex 100 mg/ml
Инъекция Epinephrine hydrochloride 1000 µg/ml
Нет 3372
совместимый
Инъекция Sugammadex 100 mg/ml
Инъекция Esomeprazole sodium 40 mg/ml
Нет 3372
совместимый
Инъекция Sugammadex 100 mg/ml
Инъекция Etomidate 2 mg/ml
Нет 3372
совместимый
Инъекция Sugammadex 100 mg/ml
Инъекция Fentanyl citrate 50 µg/ml
Нет 3372
совместимый
Инъекция Sugammadex 100 mg/ml
Инъекция Flumazenil 0.1 mg/ml
Нет 3372
совместимый
Инъекция Sugammadex 100 mg/ml
Инъекция Furosemide 10 mg/ml
Нет 3372
совместимый
Инъекция Sugammadex 100 mg/ml
Инъекция Gentamicin sulfate 40 mg/ml
Нет 3372
совместимый
Инъекция Sugammadex 100 mg/ml
Инъекция Heparin sodium 1000 UI/ml
Нет 3372
совместимый
Инъекция Sugammadex 100 mg/ml
Инъекция Hydrocortisone sodium succinate 250 mg/ml
Нет 3372
совместимый
Инъекция Sugammadex 100 mg/ml
Инъекция Insulin 100 UI/ml
Нет 3372
совместимый
Инъекция Sugammadex 100 mg/ml
Инъекция Ketamine hydrochloride 50 mg/ml
Нет 3372
совместимый
Инъекция Sugammadex 100 mg/ml
Инъекция Levobupivacaine hydrochloride 7.5 mg/ml
Нет 3372
совместимый
Инъекция Sugammadex 100 mg/ml
Инъекция Magnesium sulfate 72.24 mg/ml
Нет 3372
совместимый
Инъекция Sugammadex 100 mg/ml
Инъекция Metamizol sodium 500 mg/ml
Нет 3372
совместимый
Инъекция Sugammadex 100 mg/ml
Инъекция Metoclopramide hydrochloride 5 mg/ml
Нет 3372
совместимый
Инъекция Sugammadex 100 mg/ml
Инъекция Metoprolol tartrate 1 mg/ml
Нет 3372
совместимый
Инъекция Sugammadex 100 mg/ml
Инъекция Midazolam hydrochloride 5 mg/ml
Нет 3372
совместимый
Инъекция Sugammadex 100 mg/ml
Инъекция N-acetylcysteine 100 mg/ml
Нет 3372
совместимый
Инъекция Sugammadex 100 mg/ml
Инъекция Naloxone hydrochloride 0.4 mg/ml
Нет 3372
совместимый
Инъекция Sugammadex 100 mg/ml
Инъекция Neostigmine methylsulfate 0.5 mg/ml
Нет 3372
совместимый
Инъекция Sugammadex 100 mg/ml
Инъекция Nitroglycerin 5 mg/ml
Нет 3372
совместимый
Инъекция Sugammadex 100 mg/ml
Инъекция Nitroprusside sodium 12 mg/ml
Нет 3372
совместимый
Инъекция Sugammadex 100 mg/ml
Инъекция Norepinephrine bitartrate 1 mg/ml
Нет 3372
Неопределенная несовместимость несовместимый
Инъекция Sugammadex
Инъекция Ondansetron hydrochloride
2328
совместимый
Инъекция Sugammadex 100 mg/ml
Инъекция Ornidazole 166.67 mg/ml
Нет 3372
совместимый
Инъекция Sugammadex 100 mg/ml
Инъекция Oxytocin 5 UI/ml
Нет 3372
совместимый
Инъекция Sugammadex 100 mg/ml
Инъекция Paracetamol 10 mg/ml
Нет 3372
совместимый
Инъекция Sugammadex 100 mg/ml
Инъекция Pethidine hydrochloride 50 mg/ml
Нет 3372
совместимый
Инъекция Sugammadex 100 mg/ml
Инъекция Phenytoin sodium 50 mg/ml
Нет 3372
совместимый
Инъекция Sugammadex 100 mg/ml
Инъекция Phytomenadione 10 mg/ml
Нет 3372
Немедленные осадки несовместимый
Инъекция Sugammadex 100 mg/ml
Инъекция Protamine hydrochloride 1000 UI/ml
Нет 3372
совместимый
Инъекция Sugammadex
NaCl 0,45% Глюкоза 2,5% 2328
совместимый
Инъекция Sugammadex
Раствор Рингера лактата 2328
совместимый
Инъекция Sugammadex 100 mg/ml
Инъекция Thiopental sodium 25 mg/ml
Нет 3372
совместимый
Инъекция Sugammadex
Глюкоза 5% 2328
совместимый
Инъекция Sugammadex
Натрия хлорид 0,9% 2328
совместимый
Инъекция Sugammadex 100 mg/ml
Инъекция Propafenone hydrochloride 3.5 mg/ml
Нет 3372
Неопределенная несовместимость несовместимый
Инъекция Sugammadex
Инъекция Ranitidine hydrochloride
2328
совместимый
Инъекция Sugammadex 100 mg/ml
Инъекция Remifentanil hydrochloride 5000 µg/ml
Нет 3372
совместимый
Инъекция Sugammadex 100 mg/ml
Инъекция Tenoxicam 10 mg/ml
Нет 3372
совместимый
Инъекция Sugammadex 100 mg/ml
Инъекция Theophylline 24 mg/ml
Нет 3372
совместимый
Инъекция Sugammadex 100 mg/ml
Инъекция Tramadol hydrochloride 50 mg/ml
Нет 3372
Неопределенная несовместимость несовместимый
Инъекция Sugammadex
Инъекция Verapamil hydrochloride
2328

  Mentions Légales