Ultimele actualizari :
18/03/2026
Antidot   Sugammadex  
Injectabil
Stabilitatea in solutie Stabilitatea in amestec Factorii care influenteaza stabilitatea Compatibilitate Microunde Bibliografie pdf
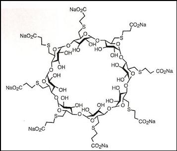
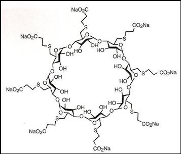
   Formula chimica  

Denumirea comerciala   Denumirea comerciala     

Trade names are indicative and excipients composition can be different depending on the country and manufacturers

Bridion Argentina, Australia, Belgia, Brazilia, Chilli, Columbia, Danemarca, Ecuador, Elvetia, Franta, Germania, Irlanda, Islanda, Italia, Japonia, Luxemburg, Malaezia, Marea Britanie, Mexic, Norvegia, noua Zeelandă, Peru, Portugalia, Romania, Spania, Turcia, Ungaria
Desintunev Mexic
Sagomyl Chilli
Sugadion Chilli
Sugamastar Peru
Sugammadex Belgia, Chilli, Finlanda, Irlanda, Italia, Spania, Ungaria
Suvitali Mexic
Compatibilitate   Injectabil   Compatibilitate : Sugammadex              
Acest ecran indică compatibilitățile sau incompatibilitățile cu, în acest caz, tipul de incompatibilitate (precipitații, schimbarea culorii, modificarea unei emulsii etc.). Compatibilitățile prezentate aici sunt în mare parte numai fizice, stabilitatea chimică a fiecărei molecule fiind rareori evaluată. Evaluarea acestor amestecuri a fost studiată pentru a lua în considerare posibilitatea administrării site-ului Y la pacient. Aceste date nu pot fi utilizate pentru prepararea în prealabil a amestecurilor în pungi sau seringi. Acest tip de informații este disponibil în ecranul „Stabilitate în amestec».
Molecula (substanta activa) Solvent Bibiografie
Compatibil
Injectabil Sugammadex 100 mg/ml
Injectabil Aminophylline 24 mg/ml
fara 3372
Precipitații imediate Incompatibil
Injectabil Sugammadex 100 mg/ml
Injectabil Amiodarone hydrochloride 50 mg/ml
fara 3372
Compatibil
Injectabil Sugammadex 100 mg/ml
Injectabil Ampicillin sodium - sulbactam sodium 200 mg/ml
fara 3372
Compatibil
Injectabil Sugammadex 100 mg/ml
Injectabil Atropine sulfate 1 mg/ml
fara 3372
Compatibil
Injectabil Sugammadex 100 mg/ml
Injectabil Bupivacaine hydrochloride 5 mg/ml
fara 3372
Compatibil
Injectabil Sugammadex 100 mg/ml
Injectabil Cefazolin sodium 250 mg/ml
fara 3372
Compatibil
Injectabil Sugammadex 100 mg/ml
Injectabil Dexmedetomidine 100 µg/ml
fara 3372
Precipitații imediate Incompatibil
Injectabil Sugammadex 100 mg/ml
Injectabil Dobutamine hydrochloride 12.5 mg/ml
fara 3372
Compatibil
Injectabil Sugammadex 100 mg/ml
Injectabil Dopamine hydrochloride 8 mg/ml
fara 3372
Compatibil
Injectabil Sugammadex 100 mg/ml
Injectabil Ephedrine hydrochloride 50 mg/ml
fara 3372
Compatibil
Injectabil Sugammadex 100 mg/ml
Injectabil Epinephrine hydrochloride 1000 µg/ml
fara 3372
Compatibil
Injectabil Sugammadex 100 mg/ml
Injectabil Esomeprazole sodium 40 mg/ml
fara 3372
Compatibil
Injectabil Sugammadex 100 mg/ml
Injectabil Etomidate 2 mg/ml
fara 3372
Compatibil
Injectabil Sugammadex 100 mg/ml
Injectabil Fentanyl citrate 50 µg/ml
fara 3372
Compatibil
Injectabil Sugammadex 100 mg/ml
Injectabil Flumazenil 0.1 mg/ml
fara 3372
Compatibil
Injectabil Sugammadex 100 mg/ml
Injectabil Furosemide 10 mg/ml
fara 3372
Compatibil
Injectabil Sugammadex 100 mg/ml
Injectabil Gentamicin sulfate 40 mg/ml
fara 3372
Compatibil
Injectabil Sugammadex 100 mg/ml
Injectabil Heparin sodium 1000 UI/ml
fara 3372
Compatibil
Injectabil Sugammadex 100 mg/ml
Injectabil Hydrocortisone sodium succinate 250 mg/ml
fara 3372
Compatibil
Injectabil Sugammadex 100 mg/ml
Injectabil Insulin 100 UI/ml
fara 3372
Compatibil
Injectabil Sugammadex 100 mg/ml
Injectabil Ketamine hydrochloride 50 mg/ml
fara 3372
Compatibil
Injectabil Sugammadex 100 mg/ml
Injectabil Levobupivacaine hydrochloride 7.5 mg/ml
fara 3372
Compatibil
Injectabil Sugammadex 100 mg/ml
Injectabil Magnesium sulfate 72.24 mg/ml
fara 3372
Compatibil
Injectabil Sugammadex 100 mg/ml
Injectabil Metamizol sodium 500 mg/ml
fara 3372
Compatibil
Injectabil Sugammadex 100 mg/ml
Injectabil Metoclopramide hydrochloride 5 mg/ml
fara 3372
Compatibil
Injectabil Sugammadex 100 mg/ml
Injectabil Metoprolol tartrate 1 mg/ml
fara 3372
Compatibil
Injectabil Sugammadex 100 mg/ml
Injectabil Midazolam hydrochloride 5 mg/ml
fara 3372
Compatibil
Injectabil Sugammadex 100 mg/ml
Injectabil N-acetylcysteine 100 mg/ml
fara 3372
Compatibil
Injectabil Sugammadex 100 mg/ml
Injectabil Naloxone hydrochloride 0.4 mg/ml
fara 3372
Compatibil
Injectabil Sugammadex 100 mg/ml
Injectabil Neostigmine methylsulfate 0.5 mg/ml
fara 3372
Compatibil
Injectabil Sugammadex 100 mg/ml
Injectabil Nitroglycerin 5 mg/ml
fara 3372
Compatibil
Injectabil Sugammadex 100 mg/ml
Injectabil Nitroprusside sodium 12 mg/ml
fara 3372
Compatibil
Injectabil Sugammadex 100 mg/ml
Injectabil Norepinephrine bitartrate 1 mg/ml
fara 3372
Incompatibilitate nespecificată Incompatibil
Injectabil Sugammadex
Injectabil Ondansetron hydrochloride
2328
Compatibil
Injectabil Sugammadex 100 mg/ml
Injectabil Ornidazole 166.67 mg/ml
fara 3372
Compatibil
Injectabil Sugammadex 100 mg/ml
Injectabil Oxytocin 5 UI/ml
fara 3372
Compatibil
Injectabil Sugammadex 100 mg/ml
Injectabil Paracetamol 10 mg/ml
fara 3372
Compatibil
Injectabil Sugammadex 100 mg/ml
Injectabil Pethidine hydrochloride 50 mg/ml
fara 3372
Compatibil
Injectabil Sugammadex 100 mg/ml
Injectabil Phenytoin sodium 50 mg/ml
fara 3372
Compatibil
Injectabil Sugammadex 100 mg/ml
Injectabil Phytomenadione 10 mg/ml
fara 3372
Precipitații imediate Incompatibil
Injectabil Sugammadex 100 mg/ml
Injectabil Protamine hydrochloride 1000 UI/ml
fara 3372
Compatibil
Injectabil Sugammadex
NaCl 0,45% Glucoza 2,5% 2328
Compatibil
Injectabil Sugammadex
Solutie Ringer lactat 2328
Compatibil
Injectabil Sugammadex 100 mg/ml
Injectabil Thiopental sodium 25 mg/ml
fara 3372
Compatibil
Injectabil Sugammadex
Glucoza 5% 2328
Compatibil
Injectabil Sugammadex
clorura de sodiu 0,9% 2328
Compatibil
Injectabil Sugammadex 100 mg/ml
Injectabil Propafenone hydrochloride 3.5 mg/ml
fara 3372
Incompatibilitate nespecificată Incompatibil
Injectabil Sugammadex
Injectabil Ranitidine hydrochloride
2328
Compatibil
Injectabil Sugammadex 100 mg/ml
Injectabil Remifentanil hydrochloride 5000 µg/ml
fara 3372
Compatibil
Injectabil Sugammadex 100 mg/ml
Injectabil Tenoxicam 10 mg/ml
fara 3372
Compatibil
Injectabil Sugammadex 100 mg/ml
Injectabil Theophylline 24 mg/ml
fara 3372
Compatibil
Injectabil Sugammadex 100 mg/ml
Injectabil Tramadol hydrochloride 50 mg/ml
fara 3372
Incompatibilitate nespecificată Incompatibil
Injectabil Sugammadex
Injectabil Verapamil hydrochloride
2328

  Mentions Légales