Poslední aktualizace :
18/03/2026
Antidotum   Sugammadex  
injekce
Stabilita roztoků Stabilita směsí Faktory ovlivňující stabilitu Kompatibilita Způsoby aplikace Odkazy pdf
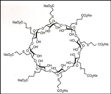
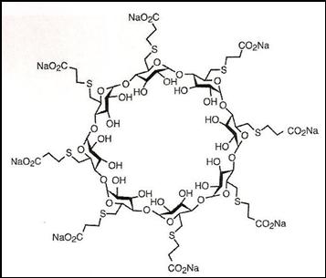
   Chemický vzorec  

Obchodní název   Obchodní název     

Trade names are indicative and excipients composition can be different depending on the country and manufacturers

Bridion äpanÏlsko, Argentina, Austrálie, Belgie, BrazÌlie, Chile, Dánsko, Ekvádor, Francie, Irsko, Island, Itálie, Japonsko, Kolumbie, Lucembursko, Malajsie, MaÔarsko, Mexiko, NÏmecko, Norsko, nový Zéland, Peru, Portugalsko, Rumunsko, Švýcarsko, Turecko, Velká Británie
Desintunev Mexiko
Sagomyl Chile
Sugadion Chile
Sugamastar Peru
Sugammadex äpanÏlsko, Belgie, Chile, Finsko, Irsko, Itálie, MaÔarsko
Suvitali Mexiko
Kompatibilita   injekce   Kompatibilita : Sugammadex              
Tato obrazovka ukazuje kompatibilitu nebo nekompatibilitu s, v tomto případě, typem nekompatibility (srážení, změna barvy, modifikace emulze atd.). Zde uvedené kompatibility jsou většinou pouze fyzikální, přičemž chemická stabilita každé molekuly je zřídka hodnocena. Hodnocení těchto směsí bylo studováno, aby se zvážila možnost podání Y-místa pacientovi. Tyto údaje nelze použít k přípravě směsí předem v pytlích nebo stříkačkách. Tento typ informací je k dispozici na obrazovce „Stabilita ve směsi“.
SlouËenina RozpouötÏdlo Odkazy
Kompatibilní
injekce Sugammadex 100 mg/ml
injekce Aminophylline 24 mg/ml
Žádné 3372
Okamžité srážení Nekompatibilní
injekce Sugammadex 100 mg/ml
injekce Amiodarone hydrochloride 50 mg/ml
Žádné 3372
Kompatibilní
injekce Sugammadex 100 mg/ml
injekce Ampicillin sodium - sulbactam sodium 200 mg/ml
Žádné 3372
Kompatibilní
injekce Sugammadex 100 mg/ml
injekce Atropine sulfate 1 mg/ml
Žádné 3372
Kompatibilní
injekce Sugammadex 100 mg/ml
injekce Bupivacaine hydrochloride 5 mg/ml
Žádné 3372
Kompatibilní
injekce Sugammadex 100 mg/ml
injekce Cefazolin sodium 250 mg/ml
Žádné 3372
Kompatibilní
injekce Sugammadex 100 mg/ml
injekce Dexmedetomidine 100 µg/ml
Žádné 3372
Okamžité srážení Nekompatibilní
injekce Sugammadex 100 mg/ml
injekce Dobutamine hydrochloride 12.5 mg/ml
Žádné 3372
Kompatibilní
injekce Sugammadex 100 mg/ml
injekce Dopamine hydrochloride 8 mg/ml
Žádné 3372
Kompatibilní
injekce Sugammadex 100 mg/ml
injekce Ephedrine hydrochloride 50 mg/ml
Žádné 3372
Kompatibilní
injekce Sugammadex 100 mg/ml
injekce Epinephrine hydrochloride 1000 µg/ml
Žádné 3372
Kompatibilní
injekce Sugammadex 100 mg/ml
injekce Esomeprazole sodium 40 mg/ml
Žádné 3372
Kompatibilní
injekce Sugammadex 100 mg/ml
injekce Etomidate 2 mg/ml
Žádné 3372
Kompatibilní
injekce Sugammadex 100 mg/ml
injekce Fentanyl citrate 50 µg/ml
Žádné 3372
Kompatibilní
injekce Sugammadex 100 mg/ml
injekce Flumazenil 0.1 mg/ml
Žádné 3372
Kompatibilní
injekce Sugammadex 100 mg/ml
injekce Furosemide 10 mg/ml
Žádné 3372
Kompatibilní
injekce Sugammadex 100 mg/ml
injekce Gentamicin sulfate 40 mg/ml
Žádné 3372
Kompatibilní
injekce Sugammadex 100 mg/ml
injekce Heparin sodium 1000 UI/ml
Žádné 3372
Kompatibilní
injekce Sugammadex 100 mg/ml
injekce Hydrocortisone sodium succinate 250 mg/ml
Žádné 3372
Kompatibilní
injekce Sugammadex 100 mg/ml
injekce Insulin 100 UI/ml
Žádné 3372
Kompatibilní
injekce Sugammadex 100 mg/ml
injekce Ketamine hydrochloride 50 mg/ml
Žádné 3372
Kompatibilní
injekce Sugammadex 100 mg/ml
injekce Levobupivacaine hydrochloride 7.5 mg/ml
Žádné 3372
Kompatibilní
injekce Sugammadex 100 mg/ml
injekce Magnesium sulfate 72.24 mg/ml
Žádné 3372
Kompatibilní
injekce Sugammadex 100 mg/ml
injekce Metamizol sodium 500 mg/ml
Žádné 3372
Kompatibilní
injekce Sugammadex 100 mg/ml
injekce Metoclopramide hydrochloride 5 mg/ml
Žádné 3372
Kompatibilní
injekce Sugammadex 100 mg/ml
injekce Metoprolol tartrate 1 mg/ml
Žádné 3372
Kompatibilní
injekce Sugammadex 100 mg/ml
injekce Midazolam hydrochloride 5 mg/ml
Žádné 3372
Kompatibilní
injekce Sugammadex 100 mg/ml
injekce N-acetylcysteine 100 mg/ml
Žádné 3372
Kompatibilní
injekce Sugammadex 100 mg/ml
injekce Naloxone hydrochloride 0.4 mg/ml
Žádné 3372
Kompatibilní
injekce Sugammadex 100 mg/ml
injekce Neostigmine methylsulfate 0.5 mg/ml
Žádné 3372
Kompatibilní
injekce Sugammadex 100 mg/ml
injekce Nitroglycerin 5 mg/ml
Žádné 3372
Kompatibilní
injekce Sugammadex 100 mg/ml
injekce Nitroprusside sodium 12 mg/ml
Žádné 3372
Kompatibilní
injekce Sugammadex 100 mg/ml
injekce Norepinephrine bitartrate 1 mg/ml
Žádné 3372
Nespecifikovaná nekompatibilita Nekompatibilní
injekce Sugammadex
injekce Ondansetron hydrochloride
2328
Kompatibilní
injekce Sugammadex 100 mg/ml
injekce Ornidazole 166.67 mg/ml
Žádné 3372
Kompatibilní
injekce Sugammadex 100 mg/ml
injekce Oxytocin 5 UI/ml
Žádné 3372
Kompatibilní
injekce Sugammadex 100 mg/ml
injekce Paracetamol 10 mg/ml
Žádné 3372
Kompatibilní
injekce Sugammadex 100 mg/ml
injekce Pethidine hydrochloride 50 mg/ml
Žádné 3372
Kompatibilní
injekce Sugammadex 100 mg/ml
injekce Phenytoin sodium 50 mg/ml
Žádné 3372
Kompatibilní
injekce Sugammadex 100 mg/ml
injekce Phytomenadione 10 mg/ml
Žádné 3372
Okamžité srážení Nekompatibilní
injekce Sugammadex 100 mg/ml
injekce Protamine hydrochloride 1000 UI/ml
Žádné 3372
Kompatibilní
injekce Sugammadex
NaCl 0,45% GlukÛza 2,5% 2328
Kompatibilní
injekce Sugammadex
RingerŐs laktátový roztok 2328
Kompatibilní
injekce Sugammadex 100 mg/ml
injekce Thiopental sodium 25 mg/ml
Žádné 3372
Kompatibilní
injekce Sugammadex
GlukÛza 5% 2328
Kompatibilní
injekce Sugammadex
Chlorid sodný 0,9% 2328
Kompatibilní
injekce Sugammadex 100 mg/ml
injekce Propafenone hydrochloride 3.5 mg/ml
Žádné 3372
Nespecifikovaná nekompatibilita Nekompatibilní
injekce Sugammadex
injekce Ranitidine hydrochloride
2328
Kompatibilní
injekce Sugammadex 100 mg/ml
injekce Remifentanil hydrochloride 5000 µg/ml
Žádné 3372
Kompatibilní
injekce Sugammadex 100 mg/ml
injekce Tenoxicam 10 mg/ml
Žádné 3372
Kompatibilní
injekce Sugammadex 100 mg/ml
injekce Theophylline 24 mg/ml
Žádné 3372
Kompatibilní
injekce Sugammadex 100 mg/ml
injekce Tramadol hydrochloride 50 mg/ml
Žádné 3372
Nespecifikovaná nekompatibilita Nekompatibilní
injekce Sugammadex
injekce Verapamil hydrochloride
2328

  Mentions Légales