Τελευταία ενημέρωση :
18/03/2026
Αντίδοτο   Sugammadex  
Ενέσιμο
Σταθερότητα διαλυμάτων Σταθερότητα σε μίγματα Παράγοντας που επηρεάζει τη σταθερότητα Συμβατότητες Τρόπος χορήγησης Βιβλιογραφία pdf
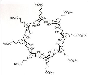
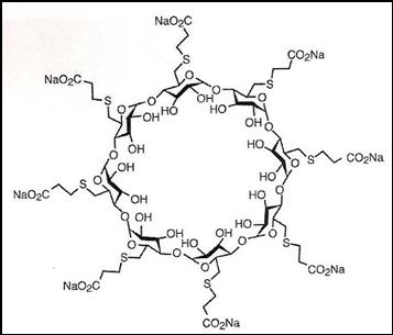
   χημική δομή  

Εμπορική ονομασία   Εμπορική ονομασία     

Οι εμπορικές ονομασίες είναι ενδεικτικές και η σύνθεση των εκδόχων μπορεί να διαφέρει ανάλογα με τη χώρα και τα εργαστήρια

Bridion Αργεντινή, Αυστραλία, Βέλγιο, Βραζιλία, Γαλλία, Γερμανία, Δανία, Εκουαδόρ, Ελβετία, Ιαπωνία, Ιρλανδία, Ισλανδία, Ισπανία, Ιταλία, Κολομβία, Λουξεμβούργο, Μαλαισία, Μεγάλη Βρετανία, Μεξικό, νέα Ζηλανδία, Νορβηγία, Ουγγαρία, Περού, Πορτογαλία, Ρουμανία, Τουρκία, Χιλή
Desintunev Μεξικό
Sagomyl Χιλή
Sugadion Χιλή
Sugamastar Περού
Sugammadex Βέλγιο, Ιρλανδία, Ισπανία, Ιταλία, Ουγγαρία, Φινλανδία, Χιλή
Suvitali Μεξικό
Συμβατότητες    Ενέσιμο   Συμβατότητες : Sugammadex              
Σε αυτή την οθόνη εμφανίζονται οι συμβατότητες ή ασυμβατότητες. Σε αυτή την περίπτωση εμφανίζονται το είδος της ασυμβατότητας (ίζημα, αλλαγή χρώματος, μεταβολή γαλακτώματος, κλπ). Οι συμβατότητες που παρουσιάζονται εδώ είναι κυρίως φυσικές, ενώ η χημική σταθερότητα κάθε μορίου σπάνια περιλαμβάνεται. Η αξιολόγηση αυτών των μιγμάτων μελετήθηκε προκειμένου να εκτιμηθεί η πιθανότητα χορήγησης στον ασθενή στο Υ κέντρο. Τα δεδομένα αυτά δεν μπορούν να χρησιμοποιηθούν για την εκ των προτέρων δημιουργία μιγμάτων σε ασκούς ή σύριγγες. Αυτό το είδος πληροφορίας υπάρχει και μπορεί να αναζητηθεί στην οθόνη «Σταθερότητα σε μίγμα».
Συστατικό Διαλυτικό Βιβλιογραφία
Σύμφωνος
Ενέσιμο Sugammadex 100 mg/ml
Ενέσιμο Aminophylline 24 mg/ml
Ουδέν 3372
Άμεση βροχόπτωση Ασύμβατες
Ενέσιμο Sugammadex 100 mg/ml
Ενέσιμο Amiodarone hydrochloride 50 mg/ml
Ουδέν 3372
Σύμφωνος
Ενέσιμο Sugammadex 100 mg/ml
Ενέσιμο Ampicillin sodium - sulbactam sodium 200 mg/ml
Ουδέν 3372
Σύμφωνος
Ενέσιμο Sugammadex 100 mg/ml
Ενέσιμο Atropine sulfate 1 mg/ml
Ουδέν 3372
Σύμφωνος
Ενέσιμο Sugammadex 100 mg/ml
Ενέσιμο Bupivacaine hydrochloride 5 mg/ml
Ουδέν 3372
Σύμφωνος
Ενέσιμο Sugammadex 100 mg/ml
Ενέσιμο Cefazolin sodium 250 mg/ml
Ουδέν 3372
Σύμφωνος
Ενέσιμο Sugammadex 100 mg/ml
Ενέσιμο Dexmedetomidine 100 µg/ml
Ουδέν 3372
Άμεση βροχόπτωση Ασύμβατες
Ενέσιμο Sugammadex 100 mg/ml
Ενέσιμο Dobutamine hydrochloride 12.5 mg/ml
Ουδέν 3372
Σύμφωνος
Ενέσιμο Sugammadex 100 mg/ml
Ενέσιμο Dopamine hydrochloride 8 mg/ml
Ουδέν 3372
Σύμφωνος
Ενέσιμο Sugammadex 100 mg/ml
Ενέσιμο Ephedrine hydrochloride 50 mg/ml
Ουδέν 3372
Σύμφωνος
Ενέσιμο Sugammadex 100 mg/ml
Ενέσιμο Epinephrine hydrochloride 1000 µg/ml
Ουδέν 3372
Σύμφωνος
Ενέσιμο Sugammadex 100 mg/ml
Ενέσιμο Esomeprazole sodium 40 mg/ml
Ουδέν 3372
Σύμφωνος
Ενέσιμο Sugammadex 100 mg/ml
Ενέσιμο Etomidate 2 mg/ml
Ουδέν 3372
Σύμφωνος
Ενέσιμο Sugammadex 100 mg/ml
Ενέσιμο Fentanyl citrate 50 µg/ml
Ουδέν 3372
Σύμφωνος
Ενέσιμο Sugammadex 100 mg/ml
Ενέσιμο Flumazenil 0.1 mg/ml
Ουδέν 3372
Σύμφωνος
Ενέσιμο Sugammadex 100 mg/ml
Ενέσιμο Furosemide 10 mg/ml
Ουδέν 3372
Σύμφωνος
Ενέσιμο Sugammadex 100 mg/ml
Ενέσιμο Gentamicin sulfate 40 mg/ml
Ουδέν 3372
Σύμφωνος
Ενέσιμο Sugammadex 100 mg/ml
Ενέσιμο Heparin sodium 1000 UI/ml
Ουδέν 3372
Σύμφωνος
Ενέσιμο Sugammadex 100 mg/ml
Ενέσιμο Hydrocortisone sodium succinate 250 mg/ml
Ουδέν 3372
Σύμφωνος
Ενέσιμο Sugammadex 100 mg/ml
Ενέσιμο Insulin 100 UI/ml
Ουδέν 3372
Σύμφωνος
Ενέσιμο Sugammadex 100 mg/ml
Ενέσιμο Ketamine hydrochloride 50 mg/ml
Ουδέν 3372
Σύμφωνος
Ενέσιμο Sugammadex 100 mg/ml
Ενέσιμο Levobupivacaine hydrochloride 7.5 mg/ml
Ουδέν 3372
Σύμφωνος
Ενέσιμο Sugammadex 100 mg/ml
Ενέσιμο Magnesium sulfate 72.24 mg/ml
Ουδέν 3372
Σύμφωνος
Ενέσιμο Sugammadex 100 mg/ml
Ενέσιμο Metamizol sodium 500 mg/ml
Ουδέν 3372
Σύμφωνος
Ενέσιμο Sugammadex 100 mg/ml
Ενέσιμο Metoclopramide hydrochloride 5 mg/ml
Ουδέν 3372
Σύμφωνος
Ενέσιμο Sugammadex 100 mg/ml
Ενέσιμο Metoprolol tartrate 1 mg/ml
Ουδέν 3372
Σύμφωνος
Ενέσιμο Sugammadex 100 mg/ml
Ενέσιμο Midazolam hydrochloride 5 mg/ml
Ουδέν 3372
Σύμφωνος
Ενέσιμο Sugammadex 100 mg/ml
Ενέσιμο N-acetylcysteine 100 mg/ml
Ουδέν 3372
Σύμφωνος
Ενέσιμο Sugammadex 100 mg/ml
Ενέσιμο Naloxone hydrochloride 0.4 mg/ml
Ουδέν 3372
Σύμφωνος
Ενέσιμο Sugammadex 100 mg/ml
Ενέσιμο Neostigmine methylsulfate 0.5 mg/ml
Ουδέν 3372
Σύμφωνος
Ενέσιμο Sugammadex 100 mg/ml
Ενέσιμο Nitroglycerin 5 mg/ml
Ουδέν 3372
Σύμφωνος
Ενέσιμο Sugammadex 100 mg/ml
Ενέσιμο Nitroprusside sodium 12 mg/ml
Ουδέν 3372
Σύμφωνος
Ενέσιμο Sugammadex 100 mg/ml
Ενέσιμο Norepinephrine bitartrate 1 mg/ml
Ουδέν 3372
Απροσδιόριστη ασυμβατότητα Ασύμβατες
Ενέσιμο Sugammadex
Ενέσιμο Ondansetron hydrochloride
2328
Σύμφωνος
Ενέσιμο Sugammadex 100 mg/ml
Ενέσιμο Ornidazole 166.67 mg/ml
Ουδέν 3372
Σύμφωνος
Ενέσιμο Sugammadex 100 mg/ml
Ενέσιμο Oxytocin 5 UI/ml
Ουδέν 3372
Σύμφωνος
Ενέσιμο Sugammadex 100 mg/ml
Ενέσιμο Paracetamol 10 mg/ml
Ουδέν 3372
Σύμφωνος
Ενέσιμο Sugammadex 100 mg/ml
Ενέσιμο Pethidine hydrochloride 50 mg/ml
Ουδέν 3372
Σύμφωνος
Ενέσιμο Sugammadex 100 mg/ml
Ενέσιμο Phenytoin sodium 50 mg/ml
Ουδέν 3372
Σύμφωνος
Ενέσιμο Sugammadex 100 mg/ml
Ενέσιμο Phytomenadione 10 mg/ml
Ουδέν 3372
Άμεση βροχόπτωση Ασύμβατες
Ενέσιμο Sugammadex 100 mg/ml
Ενέσιμο Protamine hydrochloride 1000 UI/ml
Ουδέν 3372
Σύμφωνος
Ενέσιμο Sugammadex
NaCl 0,45% Γλυκόζη 2,5% 2328
Σύμφωνος
Ενέσιμο Sugammadex
Γαλακτικό διάλυμα Ringer 2328
Σύμφωνος
Ενέσιμο Sugammadex 100 mg/ml
Ενέσιμο Thiopental sodium 25 mg/ml
Ουδέν 3372
Σύμφωνος
Ενέσιμο Sugammadex
Γλυκόζη 5% 2328
Σύμφωνος
Ενέσιμο Sugammadex
Χλωριούχο νάτριο 0,9% 2328
Σύμφωνος
Ενέσιμο Sugammadex 100 mg/ml
Ενέσιμο Propafenone hydrochloride 3.5 mg/ml
Ουδέν 3372
Απροσδιόριστη ασυμβατότητα Ασύμβατες
Ενέσιμο Sugammadex
Ενέσιμο Ranitidine hydrochloride
2328
Σύμφωνος
Ενέσιμο Sugammadex 100 mg/ml
Ενέσιμο Remifentanil hydrochloride 5000 µg/ml
Ουδέν 3372
Σύμφωνος
Ενέσιμο Sugammadex 100 mg/ml
Ενέσιμο Tenoxicam 10 mg/ml
Ουδέν 3372
Σύμφωνος
Ενέσιμο Sugammadex 100 mg/ml
Ενέσιμο Theophylline 24 mg/ml
Ουδέν 3372
Σύμφωνος
Ενέσιμο Sugammadex 100 mg/ml
Ενέσιμο Tramadol hydrochloride 50 mg/ml
Ουδέν 3372
Απροσδιόριστη ασυμβατότητα Ασύμβατες
Ενέσιμο Sugammadex
Ενέσιμο Verapamil hydrochloride
2328

  Mentions Légales