Cập nhật lần cuối :
17/12/2025
Thuốc chống nấm   Anidulafungin  
Dạng tiêm
Tính ổn định của các dung dịch Độ ổn định khi trộn lẫn Những yếu tố ảnh hưởng đến độ ổn định Khả năng tương thích Đường dùng Tài liệu tham khảo Pdf
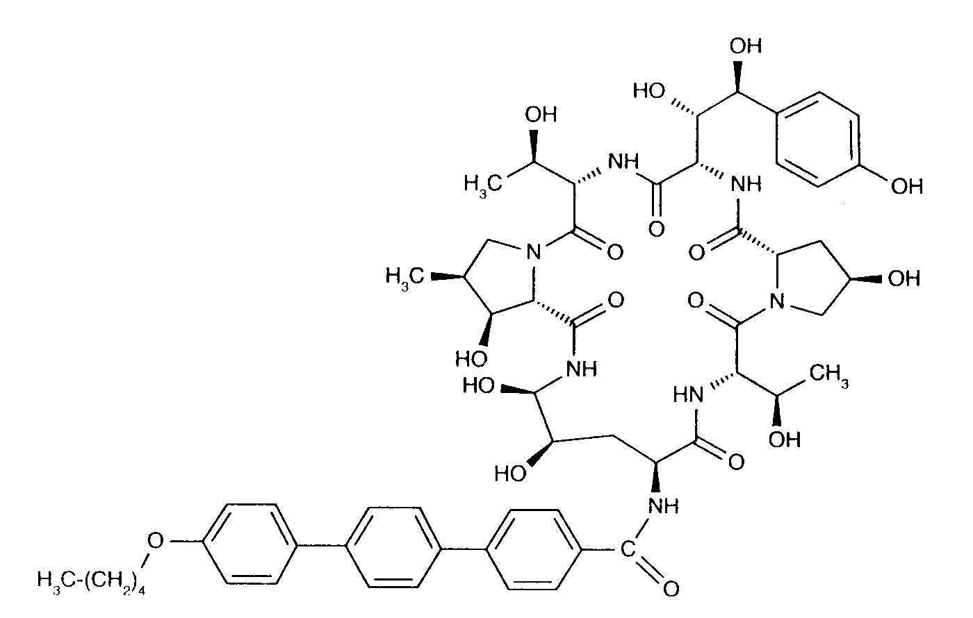
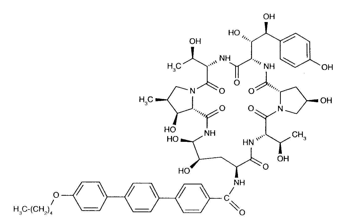
   Cấu trúc hóa học  

Tên thương mại   Tên thương mại     

Các tên thương mại được cung cấp và thành phần tá dược có thể khác nhau giữa các quốc gia và các hãng dược

Anidulafungin Anh, Bỉ, Đức
Anidulafungina Brazil, Tây Ban Nha
Ecalta Anh, Argentina, Ba Lan, Bỉ, Brazil, Canada, Chile, Colombia, Hà Lan, Hoa Kỳ, Hungary, Hy Lạp, Luxembourg, Malaysia, Na Uy, Peru, Phần Lan, Pháp, Romania, Tây Ban Nha, Thổ Nhĩ Kỳ, Thụy Sỹ, Thụy Điển, Venezuela, Ý, Đan Mạch, Đức
Equalta Mexico
Eraxis Canada, Hoa Kỳ, Úc
Fuzig Mexico
Khả năng tương thích   Dạng tiêm   Khả năng tương thích : Anidulafungin              
Màn hình này cho biết khả năng tương thích hoặc không tương thích, trong trường hợp này là loại không tương thích (kết tủa, thay đổi màu sắc, sửa đổi nhũ tương, v.v.). Sự tương hợp được chỉ ra ở đây chủ yếu chỉ là vật lý, với độ ổn định hóa học của mỗi phân tử hiếm khi được đánh giá. Việc đánh giá các hỗn hợp này được nghiên cứu để xem xét khả năng sử dụng vị trí Y cho bệnh nhân. Những dữ liệu này không thể được sử dụng để tạo hỗn hợp trước trong túi hoặc ống tiêm. Loại thông tin này có sẵn trong màn hình "Độ ổn định trong hỗn hợp».
Phân tử Dung môi Mục lục
Tương thích
Dạng tiêm Anidulafungin 0.5 mg/ml
Dạng tiêm Aciclovir sodium 7 mg/ml
Glucose 5% 1982
Tương thích
Dạng tiêm Anidulafungin 0.5 mg/ml
Dạng tiêm Amikacin sulfate 5 mg/ml
Glucose 5% 1982
Tương thích
Dạng tiêm Anidulafungin 0.5 mg/ml
Dạng tiêm Aminophylline 2.5 mg/ml
Glucose 5% 1982
Độ đục ngay lập tức Không tương thích
Dạng tiêm Anidulafungin 0,5 mg/ml
Dạng tiêm Amphotericin B 0,6 mg/ml
Glucose 5% 1982
Tương thích
Dạng tiêm Anidulafungin 0.5 mg/ml
Dạng tiêm Amphotericin B cholesteryl sulfate complex 1 mg/ml
Glucose 5% 1982
Tương thích
Dạng tiêm Anidulafungin 0.5 mg/ml
Dạng tiêm Amphotericin B liposomale 1 mg/ml
Glucose 5% 1982
Tương thích
Dạng tiêm Anidulafungin 0.5 mg/ml
Dạng tiêm Ampicillin sodium 20 mg/ml
Glucose 5% 1982
Tương thích
Dạng tiêm Anidulafungin 0.5 mg/ml
Dạng tiêm Ampicillin sodium - sulbactam sodium 20/10 mg/ml
Glucose 5% 1982
Tương thích
Dạng tiêm Anidulafungin 0.5 mg/ml
Dạng tiêm Carboplatin 5 mg/ml
Glucose 5% 1982
Tương thích
Dạng tiêm Anidulafungin 0.5 mg/ml
Dạng tiêm Cefazolin sodium 20 mg/ml
Glucose 5% 1982
Tương thích
Dạng tiêm Anidulafungin 0.5 mg/ml
Dạng tiêm Cefepime dihydrochloride 20 mg/ml
Glucose 5% 1982
Tương thích
Dạng tiêm Anidulafungin 0.77 mg/ml
Dạng tiêm Cefiderocol sulfate tosylate 20 mg/mL
NaCl 0,9% 4528
Tương thích
Dạng tiêm Anidulafungin 0.77 mg/ml
Dạng tiêm Cefiderocol sulfate tosylate 20 mg/mL
Glucose 5% 4528
Tương thích
Dạng tiêm Anidulafungin 0.5 mg/ml
Dạng tiêm Cefoxitin sodium 20 mg/ml
Glucose 5% 1982
Tương thích
Dạng tiêm Anidulafungin 0.5 mg/ml
Dạng tiêm Ceftazidime 40 mg/ml
Glucose 5% 1982
Tương thích
Dạng tiêm Anidulafungin 0.5 mg/ml
Dạng tiêm Ceftizoxime sodium 20 mg/ml
Glucose 5% 1982
Tương thích
Dạng tiêm Anidulafungin 0.77 mg/ml
Dạng tiêm Ceftolozane / tazobactam 10/5 mg/ml
NaCl 0,9% 3828
Tương thích
Dạng tiêm Anidulafungin 0.77 mg/ml
Dạng tiêm Ceftolozane / tazobactam 10/5 mg/ml
Glucose 5% 3828
Tương thích
Dạng tiêm Anidulafungin 0.5 mg/ml
Dạng tiêm Ceftriaxone disodium 20 mg/ml
Glucose 5% 1982
Tương thích
Dạng tiêm Anidulafungin 0.5 mg/ml
Dạng tiêm Cefuroxime sodium 30 mg/ml
Glucose 5% 1982
Tương thích
Dạng tiêm Anidulafungin 0.5 mg/ml
Dạng tiêm Ciclosporin 5 mg/ml
Glucose 5% 1982
Tương thích
Dạng tiêm Anidulafungin 0.5 mg/ml
Dạng tiêm Cimetidine hydrochloride 12 mg/ml
Glucose 5% 1982
Tương thích
Dạng tiêm Anidulafungin 0.5 mg/ml
Dạng tiêm Ciprofloxacin lactate 2 mg/ml
Glucose 5% 1982
Tương thích
Dạng tiêm Anidulafungin 0.5 mg/ml
Dạng tiêm Cisplatin 1 mg/ml
Glucose 5% 1982
Tương thích
Dạng tiêm Anidulafungin 0.5 mg/ml
Dạng tiêm Clindamycin phosphate 10 mg/ml
Glucose 5% 1982
Tương thích
Dạng tiêm Anidulafungin 0.5 mg/ml
Dạng tiêm Co-trimoxazole 4/0.8 mg/ml
Glucose 5% 1982
Tương thích
Dạng tiêm Anidulafungin 0.5 mg/ml
Dạng tiêm Cyclophosphamide 10 mg/ml
Glucose 5% 1982
Tương thích
Dạng tiêm Anidulafungin 0.5 mg/ml
Dạng tiêm Cytarabine 50 mg/ml
Glucose 5% 1982
Tương thích
Dạng tiêm Anidulafungin 0.5 mg/ml
Dạng tiêm Daunorubicin hydrochloride 1 mg/ml
Glucose 5% 1982
Tương thích
Dạng tiêm Anidulafungin 0.5 mg/ml
Dạng tiêm Dexamethasone sodium phosphate 1 mg/ml
Glucose 5% 1982
Tương thích
Dạng tiêm Anidulafungin 0.5 mg/ml
Dạng tiêm Digoxin 250 µg/ml
Glucose 5% 1982
Tương thích
Dạng tiêm Anidulafungin 0.5 mg/ml
Dạng tiêm Dobutamine hydrochloride 4 mg/ml
Glucose 5% 1982
Tương thích
Dạng tiêm Anidulafungin 0.5 mg/ml
Dạng tiêm Docetaxel 2 mg/ml
Glucose 5% 1982
Tương thích
Dạng tiêm Anidulafungin 0.5 mg/ml
Dạng tiêm Dopamine hydrochloride 3.2 mg/ml
Glucose 5% 1982
Tương thích
Dạng tiêm Anidulafungin 0,5 mg/ml
Dạng tiêm Doripenem 5 mg/ml
NaCl 0,9% 2262
Tương thích
Dạng tiêm Anidulafungin 0,5 mg/ml
Dạng tiêm Doripenem 5 mg/ml
Glucose 5% 2262
Tương thích
Dạng tiêm Anidulafungin 0.5 mg/ml
Dạng tiêm Doxorubicin hydrochloride 2 mg/ml
Glucose 5% 1982
Tương thích
Dạng tiêm Anidulafungin 0.5 mg/ml
Dạng tiêm Epinephrine hydrochloride 50 µg/ml
Glucose 5% 1982
Lượng mưa ngay lập tức Không tương thích
Dạng tiêm Anidulafungin 0.5 mg/ml
Dạng tiêm Ertapenem 20 mg/ml
Glucose 5% 1982
Tương thích
Dạng tiêm Anidulafungin 0.5 mg/ml
Dạng tiêm Erythromycin lactobionate 5 mg/ml
Glucose 5% 1982
Tương thích
Dạng tiêm Anidulafungin 0.5 mg/ml
Dạng tiêm Etoposide phosphate 5 mg/ml
Glucose 5% 1982
Tương thích
Dạng tiêm Anidulafungin 0.5 mg/ml
Dạng tiêm Famotidine 2 mg/ml
Glucose 5% 1982
Tương thích
Dạng tiêm Anidulafungin 0.5 mg/ml
Dạng tiêm Fentanyl citrate 50 µg/ml
Glucose 5% 1982
Tương thích
Dạng tiêm Anidulafungin 0.5 mg/ml
Dạng tiêm Fluconazole 2 mg/ml
Glucose 5% 1982
Tương thích
Dạng tiêm Anidulafungin 0.5 mg/ml
Dạng tiêm Fluorouracil 16 mg/ml
Glucose 5% 1982
Tương thích
Dạng tiêm Anidulafungin 0.5 mg/ml
Dạng tiêm Folinate calcium 2 mg/ml
Glucose 5% 1982
Lượng mưa sau 1 giờ Không tương thích
Dạng tiêm Anidulafungin 0,77 mg/ml
Dạng tiêm Fosfomycin 30 mg/ml
NaCl 0,9% 4055
Lượng mưa sau 15 phút Không tương thích
Dạng tiêm Anidulafungin 0,77 mg/ml
Dạng tiêm Fosfomycin 30 mg/ml
Glucose 5% 4055
Tương thích
Dạng tiêm Anidulafungin 0.5 mg/ml
Dạng tiêm Furosemide 3 mg/ml
Glucose 5% 1982
Tương thích
Dạng tiêm Anidulafungin 0.5 mg/ml
Dạng tiêm Ganciclovir sodium 20 mg/ml
Glucose 5% 1982
Tương thích
Dạng tiêm Anidulafungin 0.5 mg/ml
Dạng tiêm Gemcitabine hydrochloride 10 mg/ml
Glucose 5% 1982
Tương thích
Dạng tiêm Anidulafungin 0.5 mg/ml
Dạng tiêm Gentamicin sulfate 5 mg/ml
Glucose 5% 1982
Tương thích
Dạng tiêm Anidulafungin 0.5 mg/ml
Dạng tiêm Heparin sodium 100 UI/ml
Glucose 5% 1982
Tương thích
Dạng tiêm Anidulafungin 0.5 mg/ml
Dạng tiêm Hydrocortisone sodium succinate 1 mg/ml
Glucose 5% 1982
Tương thích
Dạng tiêm Anidulafungin 0.5 mg/ml
Dạng tiêm Ifosfamide 25 mg/ml
Glucose 5% 1982
Tương thích
Dạng tiêm Anidulafungin
Glucose 5% 3567
Tương thích
Dạng tiêm Anidulafungin 0.5 mg/ml
Dạng tiêm Hydromorphone hydrochloride 0.5 mg/ml
Glucose 5% 1982
Tương thích
Dạng tiêm Anidulafungin 0.5 mg/ml
Dạng tiêm Imipenem - cilastatin sodium 5 mg/ml
Glucose 5% 1982
Tương thích
Dạng tiêm Anidulafungin 0.77 mg/ml
Dạng tiêm Isavuconazonium sulfate 1.5 mg/ml
NaCl 0,9% 3829
Tương thích
Dạng tiêm Anidulafungin 0.77 mg/ml
Dạng tiêm Isavuconazonium sulfate 1.5 mg/ml
Glucose 5% 3829
Tương thích
Dạng tiêm Anidulafungin 0.5 mg/ml
Dạng tiêm Levofloxacine 5 mg/ml
Glucose 5% 1982
Tương thích
Dạng tiêm Anidulafungin 0.5 mg/ml
Dạng tiêm Linezolid 2 mg/ml
Glucose 5% 1982
Tương thích
Dạng tiêm Anidulafungin 0.5 mg/ml
Dạng tiêm Meropenem 2.5 mg/ml
Glucose 5% 1982
Tương thích
Dạng tiêm Anidulafungin 0.5 mg/ml
Dạng tiêm Methylprednisolone sodium succinate 5 mg/ml
Glucose 5% 1982
Tương thích
Dạng tiêm Anidulafungin 0.5 mg/ml
Dạng tiêm Metronidazole 5 mg/ml
Glucose 5% 1982
Tương thích
Dạng tiêm Anidulafungin 0.5 mg/ml
Dạng tiêm Midazolam hydrochloride 1 mg/ml
Glucose 5% 1982
Tương thích
Dạng tiêm Anidulafungin 0.5 mg/ml
Dạng tiêm Morphine sulfate 15 mg/ml
Glucose 5% 1982
Tương thích
Dạng tiêm Anidulafungin 0.5 mg/ml
Dạng tiêm Mycophenolate mofetil 6 mg/ml
Glucose 5% 1982
Tương thích
Dạng tiêm Anidulafungin 0.5 mg/ml
Dạng tiêm Paclitaxel 0.6 mg/ml
Glucose 5% 1982
Tương thích
Dạng tiêm Anidulafungin 0.5 mg/ml
Dạng tiêm Pantoprazole sodium 0.4 mg/ml
Glucose 5% 1982
Tương thích
Dạng tiêm Anidulafungin 0.5 mg/ml
Dạng tiêm Pethidine hydrochloride 10 mg/ml
Glucose 5% 1982
Tương thích
Dạng tiêm Anidulafungin 0.5 mg/ml
Dạng tiêm Phenylephrine hydrochloride 1 mg/ml
Glucose 5% 1982
Tương thích
Dạng tiêm Anidulafungin 0.5 mg/ml
Dạng tiêm Piperacillin sodium / tazobactam 40/5 mg/ml
Glucose 5% 1982
Độ đục trong 15 phút Không tương thích
Dạng tiêm Anidulafungin 0,77 mg/ml
Dạng tiêm Plazomicin sulfate 24 mg/ml
NaCl 0,9% 4145
Tương thích
Dạng tiêm Anidulafungin 0.5 mg/ml
Dạng tiêm Potassium chloride 0.1 mEq/l
Glucose 5% 1982
Tương thích
Dạng tiêm Anidulafungin 0.5 mg/ml
Dạng tiêm Quinupristine/dalfopristine 5 mg/ml
Glucose 5% 1982
Tương thích
Dạng tiêm Anidulafungin 0.5 mg/ml
Dạng tiêm Ranitidine hydrochloride 2 mg/ml
Glucose 5% 1982
Độ đục ngay lập tức Không tương thích
Dạng tiêm Anidulafungin 0.5 mg/ml
Dạng tiêm Sodium bicarbonate 84 mg/ml
Glucose 5% 1982
Tương thích
Dạng tiêm Anidulafungin 0,77 mg/ml
Dạng tiêm Sulbactam/durlobactam 15/15 mg/ml
NaCl 0,9% 4801
Tương thích
Dạng tiêm Anidulafungin 0.5 mg/ml
Dạng tiêm Tacrolimus 20 µg/ml
Glucose 5% 1982
Tương thích
Dạng tiêm Anidulafungin 0.77 mg/ml
Dạng tiêm Tedizolid phosphate 0.8 mg/ml
NaCl 0,9% 3827
Tương thích
Dạng tiêm Anidulafungin 0.5 mg/ml
Dạng tiêm Ticarcillin / clavulanic acid 31 mg/ml
Glucose 5% 1982
Tương thích
Dạng tiêm Anidulafungin 0.5 mg/ml
Dạng tiêm Tobramycin sulfate 5 mg/ml
Glucose 5% 1982
Tương thích
Dạng tiêm Anidulafungin 0.5 mg/ml
Dạng tiêm Vancomycin hydrochloride 10 mg/ml
Glucose 5% 1982
Tương thích
Dạng tiêm Anidulafungin 0.5 mg/ml
Dạng tiêm Vincristine sulfate 0.05 mg/ml
Glucose 5% 1982
Tương thích
Dạng tiêm Anidulafungin 0.5 mg/ml
Dạng tiêm Voriconazole 4 mg/ml
Glucose 5% 1982
Tương thích
Dạng tiêm Anidulafungin
NaCl 0,9% 3567
Tương thích
Dạng tiêm Anidulafungin 0.5 mg/ml
Dạng tiêm Zidovudine 4 mg/ml
Glucose 5% 1982
Độ đục ngay lập tức Không tương thích
Dạng tiêm Anidulafungin 0.5 mg/ml
NaHCO3 1982

  Mentions Légales