Poslední aktualizace :
18/03/2026
Priešgrybelinis vaistas   Anidulafungin  
Įpurškimas
Tirpalų stabilumas Mišinių stabilumas Stabilumą lemiantys veiksniai Suderinamumas Leidimo būdai Bibliografija pdf
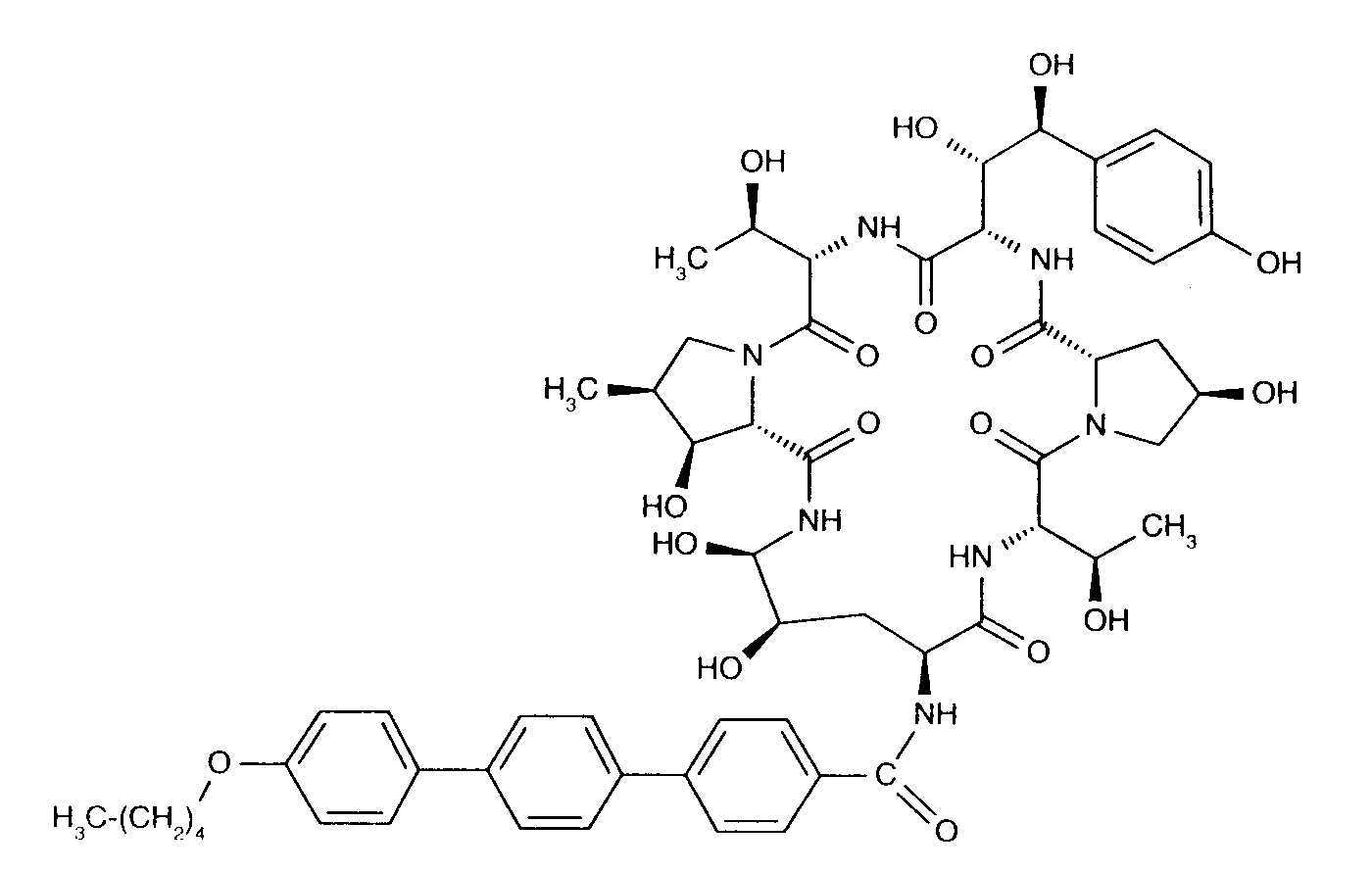
   Cheminė sandara  

Prekinis pavadinimas   Prekinis pavadinimas     

Trade names are indicative and excipients composition can be different depending on the country and manufacturers

Anidulafungin Belgija, Didžioji Britanija, Vokietija
Anidulafungina Brazilija, Ispanija
Ecalta Argentina, Belgija, Brazilija, Čilė, Danija, Didžioji Britanija, Graikija, Ispanija, Italija, Jungtinės Amerikos Valstijos, Kanada, Kolumbija, Lenkija, Liuksemburgas, Malaizija, Norvegija, Olandija, Peru, Prancūzija, Rumunija, Suomija, Švedija, Šveicarija, Turkija, Venesuela, Vengrija, Vokietija
Equalta Meksikas
Eraxis Australija, Jungtinės Amerikos Valstijos, Kanada
Fuzig Meksikas
Suderinamumas   Įpurškimas   Suderinamumas : Anidulafungin              
explication_incompatibilite_molecules
Molekulė Tirpiklis Nuorodos
Suderinamas
Įpurškimas Anidulafungin 0.5 mg/ml
Įpurškimas Aciclovir sodium 7 mg/ml
Gliukozė 5% 1982
Suderinamas
Įpurškimas Anidulafungin 0.5 mg/ml
Įpurškimas Amikacin sulfate 5 mg/ml
Gliukozė 5% 1982
Suderinamas
Įpurškimas Anidulafungin 0.5 mg/ml
Įpurškimas Aminophylline 2.5 mg/ml
Gliukozė 5% 1982
Tiesioginis drumstumas Nesuderinamas
Įpurškimas Anidulafungin 0,5 mg/ml
Įpurškimas Amphotericin B 0,6 mg/ml
Gliukozė 5% 1982
Suderinamas
Įpurškimas Anidulafungin 0.5 mg/ml
Įpurškimas Amphotericin B cholesteryl sulfate complex 1 mg/ml
Gliukozė 5% 1982
Suderinamas
Įpurškimas Anidulafungin 0.5 mg/ml
Įpurškimas Amphotericin B liposomale 1 mg/ml
Gliukozė 5% 1982
Suderinamas
Įpurškimas Anidulafungin 0.5 mg/ml
Įpurškimas Ampicillin sodium 20 mg/ml
Gliukozė 5% 1982
Suderinamas
Įpurškimas Anidulafungin 0.5 mg/ml
Įpurškimas Ampicillin sodium - sulbactam sodium 20/10 mg/ml
Gliukozė 5% 1982
Suderinamas
Įpurškimas Anidulafungin 0.5 mg/ml
Įpurškimas Carboplatin 5 mg/ml
Gliukozė 5% 1982
Suderinamas
Įpurškimas Anidulafungin 0.5 mg/ml
Įpurškimas Cefazolin sodium 20 mg/ml
Gliukozė 5% 1982
Suderinamas
Įpurškimas Anidulafungin 0.5 mg/ml
Įpurškimas Cefepime dihydrochloride 20 mg/ml
Gliukozė 5% 1982
Suderinamas
Įpurškimas Anidulafungin 0.77 mg/ml
Įpurškimas Cefiderocol sulfate tosylate 20 mg/mL
Natrio chloridas 0,9% 4528
Suderinamas
Įpurškimas Anidulafungin 0.77 mg/ml
Įpurškimas Cefiderocol sulfate tosylate 20 mg/mL
Gliukozė 5% 4528
Suderinamas
Įpurškimas Anidulafungin 0.5 mg/ml
Įpurškimas Cefoxitin sodium 20 mg/ml
Gliukozė 5% 1982
Suderinamas
Įpurškimas Anidulafungin 0.5 mg/ml
Įpurškimas Ceftazidime 40 mg/ml
Gliukozė 5% 1982
Suderinamas
Įpurškimas Anidulafungin 0.5 mg/ml
Įpurškimas Ceftizoxime sodium 20 mg/ml
Gliukozė 5% 1982
Suderinamas
Įpurškimas Anidulafungin 0.77 mg/ml
Įpurškimas Ceftolozane / tazobactam 10/5 mg/ml
Natrio chloridas 0,9% 3828
Suderinamas
Įpurškimas Anidulafungin 0.77 mg/ml
Įpurškimas Ceftolozane / tazobactam 10/5 mg/ml
Gliukozė 5% 3828
Suderinamas
Įpurškimas Anidulafungin 0.5 mg/ml
Įpurškimas Ceftriaxone disodium 20 mg/ml
Gliukozė 5% 1982
Suderinamas
Įpurškimas Anidulafungin 0.5 mg/ml
Įpurškimas Cefuroxime sodium 30 mg/ml
Gliukozė 5% 1982
Suderinamas
Įpurškimas Anidulafungin 0.5 mg/ml
Įpurškimas Ciclosporin 5 mg/ml
Gliukozė 5% 1982
Suderinamas
Įpurškimas Anidulafungin 0.5 mg/ml
Įpurškimas Cimetidine hydrochloride 12 mg/ml
Gliukozė 5% 1982
Suderinamas
Įpurškimas Anidulafungin 0.5 mg/ml
Įpurškimas Ciprofloxacin lactate 2 mg/ml
Gliukozė 5% 1982
Suderinamas
Įpurškimas Anidulafungin 0.5 mg/ml
Įpurškimas Cisplatin 1 mg/ml
Gliukozė 5% 1982
Suderinamas
Įpurškimas Anidulafungin 0.5 mg/ml
Įpurškimas Clindamycin phosphate 10 mg/ml
Gliukozė 5% 1982
Suderinamas
Įpurškimas Anidulafungin 0.5 mg/ml
Įpurškimas Co-trimoxazole 4/0.8 mg/ml
Gliukozė 5% 1982
Suderinamas
Įpurškimas Anidulafungin 0.5 mg/ml
Įpurškimas Cyclophosphamide 10 mg/ml
Gliukozė 5% 1982
Suderinamas
Įpurškimas Anidulafungin 0.5 mg/ml
Įpurškimas Cytarabine 50 mg/ml
Gliukozė 5% 1982
Suderinamas
Įpurškimas Anidulafungin 0.5 mg/ml
Įpurškimas Daunorubicin hydrochloride 1 mg/ml
Gliukozė 5% 1982
Suderinamas
Įpurškimas Anidulafungin 0.5 mg/ml
Įpurškimas Dexamethasone sodium phosphate 1 mg/ml
Gliukozė 5% 1982
Suderinamas
Įpurškimas Anidulafungin 0.5 mg/ml
Įpurškimas Digoxin 250 µg/ml
Gliukozė 5% 1982
Suderinamas
Įpurškimas Anidulafungin 0.5 mg/ml
Įpurškimas Dobutamine hydrochloride 4 mg/ml
Gliukozė 5% 1982
Suderinamas
Įpurškimas Anidulafungin 0.5 mg/ml
Įpurškimas Docetaxel 2 mg/ml
Gliukozė 5% 1982
Suderinamas
Įpurškimas Anidulafungin 0.5 mg/ml
Įpurškimas Dopamine hydrochloride 3.2 mg/ml
Gliukozė 5% 1982
Suderinamas
Įpurškimas Anidulafungin 0,5 mg/ml
Įpurškimas Doripenem 5 mg/ml
Natrio chloridas 0,9% 2262
Suderinamas
Įpurškimas Anidulafungin 0,5 mg/ml
Įpurškimas Doripenem 5 mg/ml
Gliukozė 5% 2262
Suderinamas
Įpurškimas Anidulafungin 0.5 mg/ml
Įpurškimas Doxorubicin hydrochloride 2 mg/ml
Gliukozė 5% 1982
Suderinamas
Įpurškimas Anidulafungin 0.5 mg/ml
Įpurškimas Epinephrine hydrochloride 50 µg/ml
Gliukozė 5% 1982
Nedelsiant krituliai Nesuderinamas
Įpurškimas Anidulafungin 0.5 mg/ml
Įpurškimas Ertapenem 20 mg/ml
Gliukozė 5% 1982
Suderinamas
Įpurškimas Anidulafungin 0.5 mg/ml
Įpurškimas Erythromycin lactobionate 5 mg/ml
Gliukozė 5% 1982
Suderinamas
Įpurškimas Anidulafungin 0.5 mg/ml
Įpurškimas Etoposide phosphate 5 mg/ml
Gliukozė 5% 1982
Suderinamas
Įpurškimas Anidulafungin 0.5 mg/ml
Įpurškimas Famotidine 2 mg/ml
Gliukozė 5% 1982
Suderinamas
Įpurškimas Anidulafungin 0.5 mg/ml
Įpurškimas Fentanyl citrate 50 µg/ml
Gliukozė 5% 1982
Suderinamas
Įpurškimas Anidulafungin 0.5 mg/ml
Įpurškimas Fluconazole 2 mg/ml
Gliukozė 5% 1982
Suderinamas
Įpurškimas Anidulafungin 0.5 mg/ml
Įpurškimas Fluorouracil 16 mg/ml
Gliukozė 5% 1982
Suderinamas
Įpurškimas Anidulafungin 0.5 mg/ml
Įpurškimas Folinate calcium 2 mg/ml
Gliukozė 5% 1982
Krituliai po 1 valandos Nesuderinamas
Įpurškimas Anidulafungin 0,77 mg/ml
Įpurškimas Fosfomycin 30 mg/ml
Natrio chloridas 0,9% 4055
Krituliai po 15 minučių Nesuderinamas
Įpurškimas Anidulafungin 0,77 mg/ml
Įpurškimas Fosfomycin 30 mg/ml
Gliukozė 5% 4055
Suderinamas
Įpurškimas Anidulafungin 0.5 mg/ml
Įpurškimas Furosemide 3 mg/ml
Gliukozė 5% 1982
Suderinamas
Įpurškimas Anidulafungin 0.5 mg/ml
Įpurškimas Ganciclovir sodium 20 mg/ml
Gliukozė 5% 1982
Suderinamas
Įpurškimas Anidulafungin 0.5 mg/ml
Įpurškimas Gemcitabine hydrochloride 10 mg/ml
Gliukozė 5% 1982
Suderinamas
Įpurškimas Anidulafungin 0.5 mg/ml
Įpurškimas Gentamicin sulfate 5 mg/ml
Gliukozė 5% 1982
Suderinamas
Įpurškimas Anidulafungin 0.5 mg/ml
Įpurškimas Heparin sodium 100 UI/ml
Gliukozė 5% 1982
Suderinamas
Įpurškimas Anidulafungin 0.5 mg/ml
Įpurškimas Hydrocortisone sodium succinate 1 mg/ml
Gliukozė 5% 1982
Suderinamas
Įpurškimas Anidulafungin 0.5 mg/ml
Įpurškimas Ifosfamide 25 mg/ml
Gliukozė 5% 1982
Suderinamas
Įpurškimas Anidulafungin
Gliukozė 5% 3567
Suderinamas
Įpurškimas Anidulafungin 0.5 mg/ml
Įpurškimas Hydromorphone hydrochloride 0.5 mg/ml
Gliukozė 5% 1982
Suderinamas
Įpurškimas Anidulafungin 0.5 mg/ml
Įpurškimas Imipenem - cilastatin sodium 5 mg/ml
Gliukozė 5% 1982
Suderinamas
Įpurškimas Anidulafungin 0.77 mg/ml
Įpurškimas Isavuconazonium sulfate 1.5 mg/ml
Natrio chloridas 0,9% 3829
Suderinamas
Įpurškimas Anidulafungin 0.77 mg/ml
Įpurškimas Isavuconazonium sulfate 1.5 mg/ml
Gliukozė 5% 3829
Suderinamas
Įpurškimas Anidulafungin 0.5 mg/ml
Įpurškimas Levofloxacine 5 mg/ml
Gliukozė 5% 1982
Suderinamas
Įpurškimas Anidulafungin 0.5 mg/ml
Įpurškimas Linezolid 2 mg/ml
Gliukozė 5% 1982
Suderinamas
Įpurškimas Anidulafungin 0.5 mg/ml
Įpurškimas Meropenem 2.5 mg/ml
Gliukozė 5% 1982
Suderinamas
Įpurškimas Anidulafungin 0.5 mg/ml
Įpurškimas Methylprednisolone sodium succinate 5 mg/ml
Gliukozė 5% 1982
Suderinamas
Įpurškimas Anidulafungin 0.5 mg/ml
Įpurškimas Metronidazole 5 mg/ml
Gliukozė 5% 1982
Suderinamas
Įpurškimas Anidulafungin 0.5 mg/ml
Įpurškimas Midazolam hydrochloride 1 mg/ml
Gliukozė 5% 1982
Suderinamas
Įpurškimas Anidulafungin 0.5 mg/ml
Įpurškimas Morphine sulfate 15 mg/ml
Gliukozė 5% 1982
Suderinamas
Įpurškimas Anidulafungin 0.5 mg/ml
Įpurškimas Mycophenolate mofetil 6 mg/ml
Gliukozė 5% 1982
Suderinamas
Įpurškimas Anidulafungin 0.5 mg/ml
Įpurškimas Paclitaxel 0.6 mg/ml
Gliukozė 5% 1982
Suderinamas
Įpurškimas Anidulafungin 0.5 mg/ml
Įpurškimas Pantoprazole sodium 0.4 mg/ml
Gliukozė 5% 1982
Suderinamas
Įpurškimas Anidulafungin 0.5 mg/ml
Įpurškimas Pethidine hydrochloride 10 mg/ml
Gliukozė 5% 1982
Suderinamas
Įpurškimas Anidulafungin 0.5 mg/ml
Įpurškimas Phenylephrine hydrochloride 1 mg/ml
Gliukozė 5% 1982
Suderinamas
Įpurškimas Anidulafungin 0.5 mg/ml
Įpurškimas Piperacillin sodium / tazobactam 40/5 mg/ml
Gliukozė 5% 1982
Drumstumas per 15 minučių Nesuderinamas
Įpurškimas Anidulafungin 0,77 mg/ml
Įpurškimas Plazomicin sulfate 24 mg/ml
Natrio chloridas 0,9% 4145
Suderinamas
Įpurškimas Anidulafungin 0.5 mg/ml
Įpurškimas Potassium chloride 0.1 mEq/l
Gliukozė 5% 1982
Suderinamas
Įpurškimas Anidulafungin 0.5 mg/ml
Įpurškimas Quinupristine/dalfopristine 5 mg/ml
Gliukozė 5% 1982
Suderinamas
Įpurškimas Anidulafungin 0.5 mg/ml
Įpurškimas Ranitidine hydrochloride 2 mg/ml
Gliukozė 5% 1982
Tiesioginis drumstumas Nesuderinamas
Įpurškimas Anidulafungin 0.5 mg/ml
Įpurškimas Sodium bicarbonate 84 mg/ml
Gliukozė 5% 1982
Suderinamas
Įpurškimas Anidulafungin 0,77 mg/ml
Įpurškimas Sulbactam/durlobactam 15/15 mg/ml
Natrio chloridas 0,9% 4801
Suderinamas
Įpurškimas Anidulafungin 0.5 mg/ml
Įpurškimas Tacrolimus 20 µg/ml
Gliukozė 5% 1982
Suderinamas
Įpurškimas Anidulafungin 0.77 mg/ml
Įpurškimas Tedizolid phosphate 0.8 mg/ml
Natrio chloridas 0,9% 3827
Suderinamas
Įpurškimas Anidulafungin 0.5 mg/ml
Įpurškimas Ticarcillin / clavulanic acid 31 mg/ml
Gliukozė 5% 1982
Suderinamas
Įpurškimas Anidulafungin 0.5 mg/ml
Įpurškimas Tobramycin sulfate 5 mg/ml
Gliukozė 5% 1982
Suderinamas
Įpurškimas Anidulafungin 0.5 mg/ml
Įpurškimas Vancomycin hydrochloride 10 mg/ml
Gliukozė 5% 1982
Suderinamas
Įpurškimas Anidulafungin 0.5 mg/ml
Įpurškimas Vincristine sulfate 0.05 mg/ml
Gliukozė 5% 1982
Suderinamas
Įpurškimas Anidulafungin 0.5 mg/ml
Įpurškimas Voriconazole 4 mg/ml
Gliukozė 5% 1982
Suderinamas
Įpurškimas Anidulafungin
Natrio chloridas 0,9% 3567
Suderinamas
Įpurškimas Anidulafungin 0.5 mg/ml
Įpurškimas Zidovudine 4 mg/ml
Gliukozė 5% 1982
Tiesioginis drumstumas Nesuderinamas
Įpurškimas Anidulafungin 0.5 mg/ml
NaHCO3 1982

  Mentions Légales