آخر تحديث :
18/03/2026
مضاد للفطريات   Anidulafungin  
حقن
الاستقرار في حلول استقرار مخاليط العوامل التي تؤثر على الاستقرار التوافق طريقة التعاطي مراجع pdf
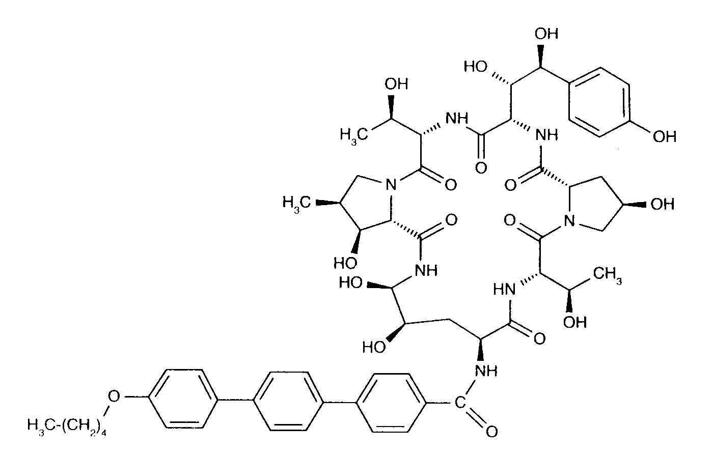
   التركيب الكيميائي  

حجز الاسم التجاري   حجز الاسم التجاري     

تحذير الأسماء التجاريه المختلفه قد تحتوي علي محتوي إضافات مختلفة حسب الدوله و المعمل

Anidulafungin ألمانيا, بريطانيا العظمي, بلجيكا
Anidulafungina إسبانيا, البرازيل
Ecalta ألمانيا, إسبانيا, إيطاليا, الأرجنتين, البرازيل, الدنمارك, السويد, النرويج, الولايات المتحدة, بريطانيا العظمي, بلجيكا, بولندا, بيرو, تركيا, تشيلي, رومانيا, سويسرا, فرنسا, فنزويلا, فنلندا, كندا, كولومبيا, لوكسمبورغ, ماليزيا, هنغاريا, هولندا, يونان
Equalta المكسيك
Eraxis أستراليا, الولايات المتحدة, كندا
Fuzig المكسيك
التوافق   حقن   التوافق : Anidulafungin              
This screen indicates the compatibilities or incompatibilities with, in this case, the type of incompatibility (precipitation, color change, modification of an emulsion, etc.). The compatibilities shown here are mostly physical only, with the chemical stability of each molecule rarely being assessed. The evaluation of these mixtures was studied to consider the possibility of Y-site administration to the patient. These data cannot be used for making mixtures in advance in bags or syringes. This type of information is available in the screen "Stability in mixture ».
مركب مذيب مراجع
kompatibel
حقن Anidulafungin 0.5 mg/ml
حقن Aciclovir sodium 7 mg/ml
الجلوكوز %5 1982
kompatibel
حقن Anidulafungin 0.5 mg/ml
حقن Amikacin sulfate 5 mg/ml
الجلوكوز %5 1982
kompatibel
حقن Anidulafungin 0.5 mg/ml
حقن Aminophylline 2.5 mg/ml
الجلوكوز %5 1982
التعكر الفوري غير متوافق
حقن Anidulafungin 0,5 mg/ml
حقن Amphotericin B 0,6 mg/ml
الجلوكوز %5 1982
kompatibel
حقن Anidulafungin 0.5 mg/ml
حقن Amphotericin B cholesteryl sulfate complex 1 mg/ml
الجلوكوز %5 1982
kompatibel
حقن Anidulafungin 0.5 mg/ml
حقن Amphotericin B liposomale 1 mg/ml
الجلوكوز %5 1982
kompatibel
حقن Anidulafungin 0.5 mg/ml
حقن Ampicillin sodium 20 mg/ml
الجلوكوز %5 1982
kompatibel
حقن Anidulafungin 0.5 mg/ml
حقن Ampicillin sodium - sulbactam sodium 20/10 mg/ml
الجلوكوز %5 1982
kompatibel
حقن Anidulafungin 0.5 mg/ml
حقن Carboplatin 5 mg/ml
الجلوكوز %5 1982
kompatibel
حقن Anidulafungin 0.5 mg/ml
حقن Cefazolin sodium 20 mg/ml
الجلوكوز %5 1982
kompatibel
حقن Anidulafungin 0.5 mg/ml
حقن Cefepime dihydrochloride 20 mg/ml
الجلوكوز %5 1982
kompatibel
حقن Anidulafungin 0.77 mg/ml
حقن Cefiderocol sulfate tosylate 20 mg/mL
كلوريد الصوديوم 0.9% 4528
kompatibel
حقن Anidulafungin 0.77 mg/ml
حقن Cefiderocol sulfate tosylate 20 mg/mL
الجلوكوز %5 4528
kompatibel
حقن Anidulafungin 0.5 mg/ml
حقن Cefoxitin sodium 20 mg/ml
الجلوكوز %5 1982
kompatibel
حقن Anidulafungin 0.5 mg/ml
حقن Ceftazidime 40 mg/ml
الجلوكوز %5 1982
kompatibel
حقن Anidulafungin 0.5 mg/ml
حقن Ceftizoxime sodium 20 mg/ml
الجلوكوز %5 1982
kompatibel
حقن Anidulafungin 0.77 mg/ml
حقن Ceftolozane / tazobactam 10/5 mg/ml
كلوريد الصوديوم 0.9% 3828
kompatibel
حقن Anidulafungin 0.77 mg/ml
حقن Ceftolozane / tazobactam 10/5 mg/ml
الجلوكوز %5 3828
kompatibel
حقن Anidulafungin 0.5 mg/ml
حقن Ceftriaxone disodium 20 mg/ml
الجلوكوز %5 1982
kompatibel
حقن Anidulafungin 0.5 mg/ml
حقن Cefuroxime sodium 30 mg/ml
الجلوكوز %5 1982
kompatibel
حقن Anidulafungin 0.5 mg/ml
حقن Ciclosporin 5 mg/ml
الجلوكوز %5 1982
kompatibel
حقن Anidulafungin 0.5 mg/ml
حقن Cimetidine hydrochloride 12 mg/ml
الجلوكوز %5 1982
kompatibel
حقن Anidulafungin 0.5 mg/ml
حقن Ciprofloxacin lactate 2 mg/ml
الجلوكوز %5 1982
kompatibel
حقن Anidulafungin 0.5 mg/ml
حقن Cisplatin 1 mg/ml
الجلوكوز %5 1982
kompatibel
حقن Anidulafungin 0.5 mg/ml
حقن Clindamycin phosphate 10 mg/ml
الجلوكوز %5 1982
kompatibel
حقن Anidulafungin 0.5 mg/ml
حقن Co-trimoxazole 4/0.8 mg/ml
الجلوكوز %5 1982
kompatibel
حقن Anidulafungin 0.5 mg/ml
حقن Cyclophosphamide 10 mg/ml
الجلوكوز %5 1982
kompatibel
حقن Anidulafungin 0.5 mg/ml
حقن Cytarabine 50 mg/ml
الجلوكوز %5 1982
kompatibel
حقن Anidulafungin 0.5 mg/ml
حقن Daunorubicin hydrochloride 1 mg/ml
الجلوكوز %5 1982
kompatibel
حقن Anidulafungin 0.5 mg/ml
حقن Dexamethasone sodium phosphate 1 mg/ml
الجلوكوز %5 1982
kompatibel
حقن Anidulafungin 0.5 mg/ml
حقن Digoxin 250 µg/ml
الجلوكوز %5 1982
kompatibel
حقن Anidulafungin 0.5 mg/ml
حقن Dobutamine hydrochloride 4 mg/ml
الجلوكوز %5 1982
kompatibel
حقن Anidulafungin 0.5 mg/ml
حقن Docetaxel 2 mg/ml
الجلوكوز %5 1982
kompatibel
حقن Anidulafungin 0.5 mg/ml
حقن Dopamine hydrochloride 3.2 mg/ml
الجلوكوز %5 1982
kompatibel
حقن Anidulafungin 0,5 mg/ml
حقن Doripenem 5 mg/ml
كلوريد الصوديوم 0.9% 2262
kompatibel
حقن Anidulafungin 0,5 mg/ml
حقن Doripenem 5 mg/ml
الجلوكوز %5 2262
kompatibel
حقن Anidulafungin 0.5 mg/ml
حقن Doxorubicin hydrochloride 2 mg/ml
الجلوكوز %5 1982
kompatibel
حقن Anidulafungin 0.5 mg/ml
حقن Epinephrine hydrochloride 50 µg/ml
الجلوكوز %5 1982
هطول فوري غير متوافق
حقن Anidulafungin 0.5 mg/ml
حقن Ertapenem 20 mg/ml
الجلوكوز %5 1982
kompatibel
حقن Anidulafungin 0.5 mg/ml
حقن Erythromycin lactobionate 5 mg/ml
الجلوكوز %5 1982
kompatibel
حقن Anidulafungin 0.5 mg/ml
حقن Etoposide phosphate 5 mg/ml
الجلوكوز %5 1982
kompatibel
حقن Anidulafungin 0.5 mg/ml
حقن Famotidine 2 mg/ml
الجلوكوز %5 1982
kompatibel
حقن Anidulafungin 0.5 mg/ml
حقن Fentanyl citrate 50 µg/ml
الجلوكوز %5 1982
kompatibel
حقن Anidulafungin 0.5 mg/ml
حقن Fluconazole 2 mg/ml
الجلوكوز %5 1982
kompatibel
حقن Anidulafungin 0.5 mg/ml
حقن Fluorouracil 16 mg/ml
الجلوكوز %5 1982
kompatibel
حقن Anidulafungin 0.5 mg/ml
حقن Folinate calcium 2 mg/ml
الجلوكوز %5 1982
هطول الأمطار بعد 1 ساعة غير متوافق
حقن Anidulafungin 0,77 mg/ml
حقن Fosfomycin 30 mg/ml
كلوريد الصوديوم 0.9% 4055
هطول الأمطار بعد 15 دقيقة غير متوافق
حقن Anidulafungin 0,77 mg/ml
حقن Fosfomycin 30 mg/ml
الجلوكوز %5 4055
kompatibel
حقن Anidulafungin 0.5 mg/ml
حقن Furosemide 3 mg/ml
الجلوكوز %5 1982
kompatibel
حقن Anidulafungin 0.5 mg/ml
حقن Ganciclovir sodium 20 mg/ml
الجلوكوز %5 1982
kompatibel
حقن Anidulafungin 0.5 mg/ml
حقن Gemcitabine hydrochloride 10 mg/ml
الجلوكوز %5 1982
kompatibel
حقن Anidulafungin 0.5 mg/ml
حقن Gentamicin sulfate 5 mg/ml
الجلوكوز %5 1982
kompatibel
حقن Anidulafungin 0.5 mg/ml
حقن Heparin sodium 100 UI/ml
الجلوكوز %5 1982
kompatibel
حقن Anidulafungin 0.5 mg/ml
حقن Hydrocortisone sodium succinate 1 mg/ml
الجلوكوز %5 1982
kompatibel
حقن Anidulafungin 0.5 mg/ml
حقن Ifosfamide 25 mg/ml
الجلوكوز %5 1982
kompatibel
حقن Anidulafungin
الجلوكوز %5 3567
kompatibel
حقن Anidulafungin 0.5 mg/ml
حقن Hydromorphone hydrochloride 0.5 mg/ml
الجلوكوز %5 1982
kompatibel
حقن Anidulafungin 0.5 mg/ml
حقن Imipenem - cilastatin sodium 5 mg/ml
الجلوكوز %5 1982
kompatibel
حقن Anidulafungin 0.77 mg/ml
حقن Isavuconazonium sulfate 1.5 mg/ml
كلوريد الصوديوم 0.9% 3829
kompatibel
حقن Anidulafungin 0.77 mg/ml
حقن Isavuconazonium sulfate 1.5 mg/ml
الجلوكوز %5 3829
kompatibel
حقن Anidulafungin 0.5 mg/ml
حقن Levofloxacine 5 mg/ml
الجلوكوز %5 1982
kompatibel
حقن Anidulafungin 0.5 mg/ml
حقن Linezolid 2 mg/ml
الجلوكوز %5 1982
kompatibel
حقن Anidulafungin 0.5 mg/ml
حقن Meropenem 2.5 mg/ml
الجلوكوز %5 1982
kompatibel
حقن Anidulafungin 0.5 mg/ml
حقن Methylprednisolone sodium succinate 5 mg/ml
الجلوكوز %5 1982
kompatibel
حقن Anidulafungin 0.5 mg/ml
حقن Metronidazole 5 mg/ml
الجلوكوز %5 1982
kompatibel
حقن Anidulafungin 0.5 mg/ml
حقن Midazolam hydrochloride 1 mg/ml
الجلوكوز %5 1982
kompatibel
حقن Anidulafungin 0.5 mg/ml
حقن Morphine sulfate 15 mg/ml
الجلوكوز %5 1982
kompatibel
حقن Anidulafungin 0.5 mg/ml
حقن Mycophenolate mofetil 6 mg/ml
الجلوكوز %5 1982
kompatibel
حقن Anidulafungin 0.5 mg/ml
حقن Paclitaxel 0.6 mg/ml
الجلوكوز %5 1982
kompatibel
حقن Anidulafungin 0.5 mg/ml
حقن Pantoprazole sodium 0.4 mg/ml
الجلوكوز %5 1982
kompatibel
حقن Anidulafungin 0.5 mg/ml
حقن Pethidine hydrochloride 10 mg/ml
الجلوكوز %5 1982
kompatibel
حقن Anidulafungin 0.5 mg/ml
حقن Phenylephrine hydrochloride 1 mg/ml
الجلوكوز %5 1982
kompatibel
حقن Anidulafungin 0.5 mg/ml
حقن Piperacillin sodium / tazobactam 40/5 mg/ml
الجلوكوز %5 1982
التعكر في 15 دقيقة غير متوافق
حقن Anidulafungin 0,77 mg/ml
حقن Plazomicin sulfate 24 mg/ml
كلوريد الصوديوم 0.9% 4145
kompatibel
حقن Anidulafungin 0.5 mg/ml
حقن Potassium chloride 0.1 mEq/l
الجلوكوز %5 1982
kompatibel
حقن Anidulafungin 0.5 mg/ml
حقن Quinupristine/dalfopristine 5 mg/ml
الجلوكوز %5 1982
kompatibel
حقن Anidulafungin 0.5 mg/ml
حقن Ranitidine hydrochloride 2 mg/ml
الجلوكوز %5 1982
التعكر الفوري غير متوافق
حقن Anidulafungin 0.5 mg/ml
حقن Sodium bicarbonate 84 mg/ml
الجلوكوز %5 1982
kompatibel
حقن Anidulafungin 0,77 mg/ml
حقن Sulbactam/durlobactam 15/15 mg/ml
كلوريد الصوديوم 0.9% 4801
kompatibel
حقن Anidulafungin 0.5 mg/ml
حقن Tacrolimus 20 µg/ml
الجلوكوز %5 1982
kompatibel
حقن Anidulafungin 0.77 mg/ml
حقن Tedizolid phosphate 0.8 mg/ml
كلوريد الصوديوم 0.9% 3827
kompatibel
حقن Anidulafungin 0.5 mg/ml
حقن Ticarcillin / clavulanic acid 31 mg/ml
الجلوكوز %5 1982
kompatibel
حقن Anidulafungin 0.5 mg/ml
حقن Tobramycin sulfate 5 mg/ml
الجلوكوز %5 1982
kompatibel
حقن Anidulafungin 0.5 mg/ml
حقن Vancomycin hydrochloride 10 mg/ml
الجلوكوز %5 1982
kompatibel
حقن Anidulafungin 0.5 mg/ml
حقن Vincristine sulfate 0.05 mg/ml
الجلوكوز %5 1982
kompatibel
حقن Anidulafungin 0.5 mg/ml
حقن Voriconazole 4 mg/ml
الجلوكوز %5 1982
kompatibel
حقن Anidulafungin
كلوريد الصوديوم 0.9% 3567
kompatibel
حقن Anidulafungin 0.5 mg/ml
حقن Zidovudine 4 mg/ml
الجلوكوز %5 1982
التعكر الفوري غير متوافق
حقن Anidulafungin 0.5 mg/ml
NaHCO3 1982

  Mentions Légales