Останнє оновлення :
17/12/2025
Протигрибковий   Anidulafungin  
ін'єкція
Стійкість в розчинах Стійкість сумішей Фактори, що впливають на стабільність Сумісність Шлях введення Список літератури pdf
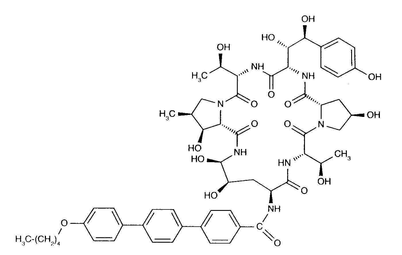
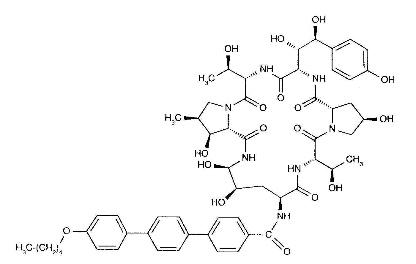
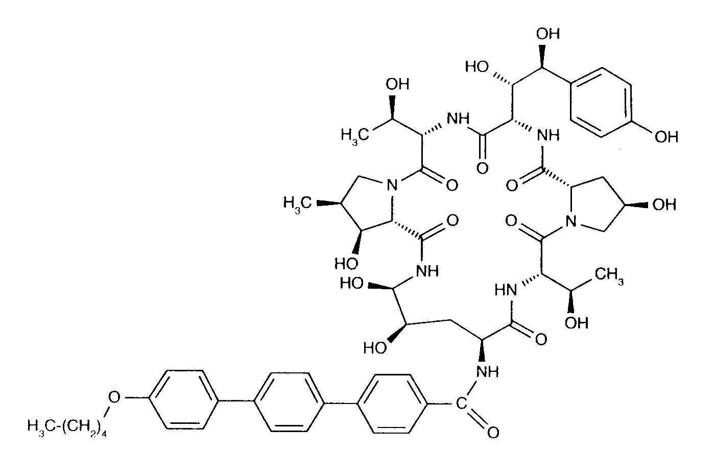
   Хімічна структура  

Торгова назва   Торгова назва     

Торгові назви є орієнтовними, а склад допоміжних речовин може бути різним залежно від країни та виробника

Anidulafungin Бельгія, Великобританія, Німеччина
Anidulafungina Іспанія, Бразилія
Ecalta Іспанія, Італія, Аргентина, Бельгія, Бразилія, Великобританія, Венесуела, Греція, Данія, Канада, Колумбія, Люксембург, Малайзія, Нідерланди, Німеччина, Норвегія, Перу, Польща, Румунія, Сполучені Штати Америки, Туреччина, Угорщина, Фінляндія, Франція, Чилі, Швейцарія, Швеція
Equalta Мексика
Eraxis Австралія, Канада, Сполучені Штати Америки
Fuzig Мексика
Сумісність   ін'єкція   Сумісність : Anidulafungin              
explication_incompatibilite_molecules
З'єднання Розчинник Список літератури
сумісний
ін'єкція Anidulafungin 0.5 mg/ml
ін'єкція Aciclovir sodium 7 mg/ml
Глюкоза 5% 1982
сумісний
ін'єкція Anidulafungin 0.5 mg/ml
ін'єкція Amikacin sulfate 5 mg/ml
Глюкоза 5% 1982
сумісний
ін'єкція Anidulafungin 0.5 mg/ml
ін'єкція Aminophylline 2.5 mg/ml
Глюкоза 5% 1982
Негайне помутніння Несумісні
ін'єкція Anidulafungin 0,5 mg/ml
ін'єкція Amphotericin B 0,6 mg/ml
Глюкоза 5% 1982
сумісний
ін'єкція Anidulafungin 0.5 mg/ml
ін'єкція Amphotericin B cholesteryl sulfate complex 1 mg/ml
Глюкоза 5% 1982
сумісний
ін'єкція Anidulafungin 0.5 mg/ml
ін'єкція Amphotericin B liposomale 1 mg/ml
Глюкоза 5% 1982
сумісний
ін'єкція Anidulafungin 0.5 mg/ml
ін'єкція Ampicillin sodium 20 mg/ml
Глюкоза 5% 1982
сумісний
ін'єкція Anidulafungin 0.5 mg/ml
ін'єкція Ampicillin sodium - sulbactam sodium 20/10 mg/ml
Глюкоза 5% 1982
сумісний
ін'єкція Anidulafungin 0.5 mg/ml
ін'єкція Carboplatin 5 mg/ml
Глюкоза 5% 1982
сумісний
ін'єкція Anidulafungin 0.5 mg/ml
ін'єкція Cefazolin sodium 20 mg/ml
Глюкоза 5% 1982
сумісний
ін'єкція Anidulafungin 0.5 mg/ml
ін'єкція Cefepime dihydrochloride 20 mg/ml
Глюкоза 5% 1982
сумісний
ін'єкція Anidulafungin 0.77 mg/ml
ін'єкція Cefiderocol sulfate tosylate 20 mg/mL
Натрію хлорид 0,9% 4528
сумісний
ін'єкція Anidulafungin 0.77 mg/ml
ін'єкція Cefiderocol sulfate tosylate 20 mg/mL
Глюкоза 5% 4528
сумісний
ін'єкція Anidulafungin 0.5 mg/ml
ін'єкція Cefoxitin sodium 20 mg/ml
Глюкоза 5% 1982
сумісний
ін'єкція Anidulafungin 0.5 mg/ml
ін'єкція Ceftazidime 40 mg/ml
Глюкоза 5% 1982
сумісний
ін'єкція Anidulafungin 0.5 mg/ml
ін'єкція Ceftizoxime sodium 20 mg/ml
Глюкоза 5% 1982
сумісний
ін'єкція Anidulafungin 0.77 mg/ml
ін'єкція Ceftolozane / tazobactam 10/5 mg/ml
Натрію хлорид 0,9% 3828
сумісний
ін'єкція Anidulafungin 0.77 mg/ml
ін'єкція Ceftolozane / tazobactam 10/5 mg/ml
Глюкоза 5% 3828
сумісний
ін'єкція Anidulafungin 0.5 mg/ml
ін'єкція Ceftriaxone disodium 20 mg/ml
Глюкоза 5% 1982
сумісний
ін'єкція Anidulafungin 0.5 mg/ml
ін'єкція Cefuroxime sodium 30 mg/ml
Глюкоза 5% 1982
сумісний
ін'єкція Anidulafungin 0.5 mg/ml
ін'єкція Ciclosporin 5 mg/ml
Глюкоза 5% 1982
сумісний
ін'єкція Anidulafungin 0.5 mg/ml
ін'єкція Cimetidine hydrochloride 12 mg/ml
Глюкоза 5% 1982
сумісний
ін'єкція Anidulafungin 0.5 mg/ml
ін'єкція Ciprofloxacin lactate 2 mg/ml
Глюкоза 5% 1982
сумісний
ін'єкція Anidulafungin 0.5 mg/ml
ін'єкція Cisplatin 1 mg/ml
Глюкоза 5% 1982
сумісний
ін'єкція Anidulafungin 0.5 mg/ml
ін'єкція Clindamycin phosphate 10 mg/ml
Глюкоза 5% 1982
сумісний
ін'єкція Anidulafungin 0.5 mg/ml
ін'єкція Co-trimoxazole 4/0.8 mg/ml
Глюкоза 5% 1982
сумісний
ін'єкція Anidulafungin 0.5 mg/ml
ін'єкція Cyclophosphamide 10 mg/ml
Глюкоза 5% 1982
сумісний
ін'єкція Anidulafungin 0.5 mg/ml
ін'єкція Cytarabine 50 mg/ml
Глюкоза 5% 1982
сумісний
ін'єкція Anidulafungin 0.5 mg/ml
ін'єкція Daunorubicin hydrochloride 1 mg/ml
Глюкоза 5% 1982
сумісний
ін'єкція Anidulafungin 0.5 mg/ml
ін'єкція Dexamethasone sodium phosphate 1 mg/ml
Глюкоза 5% 1982
сумісний
ін'єкція Anidulafungin 0.5 mg/ml
ін'єкція Digoxin 250 µg/ml
Глюкоза 5% 1982
сумісний
ін'єкція Anidulafungin 0.5 mg/ml
ін'єкція Dobutamine hydrochloride 4 mg/ml
Глюкоза 5% 1982
сумісний
ін'єкція Anidulafungin 0.5 mg/ml
ін'єкція Docetaxel 2 mg/ml
Глюкоза 5% 1982
сумісний
ін'єкція Anidulafungin 0.5 mg/ml
ін'єкція Dopamine hydrochloride 3.2 mg/ml
Глюкоза 5% 1982
сумісний
ін'єкція Anidulafungin 0,5 mg/ml
ін'єкція Doripenem 5 mg/ml
Натрію хлорид 0,9% 2262
сумісний
ін'єкція Anidulafungin 0,5 mg/ml
ін'єкція Doripenem 5 mg/ml
Глюкоза 5% 2262
сумісний
ін'єкція Anidulafungin 0.5 mg/ml
ін'єкція Doxorubicin hydrochloride 2 mg/ml
Глюкоза 5% 1982
сумісний
ін'єкція Anidulafungin 0.5 mg/ml
ін'єкція Epinephrine hydrochloride 50 µg/ml
Глюкоза 5% 1982
Миттєві опади Несумісні
ін'єкція Anidulafungin 0.5 mg/ml
ін'єкція Ertapenem 20 mg/ml
Глюкоза 5% 1982
сумісний
ін'єкція Anidulafungin 0.5 mg/ml
ін'єкція Erythromycin lactobionate 5 mg/ml
Глюкоза 5% 1982
сумісний
ін'єкція Anidulafungin 0.5 mg/ml
ін'єкція Etoposide phosphate 5 mg/ml
Глюкоза 5% 1982
сумісний
ін'єкція Anidulafungin 0.5 mg/ml
ін'єкція Famotidine 2 mg/ml
Глюкоза 5% 1982
сумісний
ін'єкція Anidulafungin 0.5 mg/ml
ін'єкція Fentanyl citrate 50 µg/ml
Глюкоза 5% 1982
сумісний
ін'єкція Anidulafungin 0.5 mg/ml
ін'єкція Fluconazole 2 mg/ml
Глюкоза 5% 1982
сумісний
ін'єкція Anidulafungin 0.5 mg/ml
ін'єкція Fluorouracil 16 mg/ml
Глюкоза 5% 1982
сумісний
ін'єкція Anidulafungin 0.5 mg/ml
ін'єкція Folinate calcium 2 mg/ml
Глюкоза 5% 1982
Опади через 1 год Несумісні
ін'єкція Anidulafungin 0,77 mg/ml
ін'єкція Fosfomycin 30 mg/ml
Натрію хлорид 0,9% 4055
Опади через 15 хв Несумісні
ін'єкція Anidulafungin 0,77 mg/ml
ін'єкція Fosfomycin 30 mg/ml
Глюкоза 5% 4055
сумісний
ін'єкція Anidulafungin 0.5 mg/ml
ін'єкція Furosemide 3 mg/ml
Глюкоза 5% 1982
сумісний
ін'єкція Anidulafungin 0.5 mg/ml
ін'єкція Ganciclovir sodium 20 mg/ml
Глюкоза 5% 1982
сумісний
ін'єкція Anidulafungin 0.5 mg/ml
ін'єкція Gemcitabine hydrochloride 10 mg/ml
Глюкоза 5% 1982
сумісний
ін'єкція Anidulafungin 0.5 mg/ml
ін'єкція Gentamicin sulfate 5 mg/ml
Глюкоза 5% 1982
сумісний
ін'єкція Anidulafungin 0.5 mg/ml
ін'єкція Heparin sodium 100 UI/ml
Глюкоза 5% 1982
сумісний
ін'єкція Anidulafungin 0.5 mg/ml
ін'єкція Hydrocortisone sodium succinate 1 mg/ml
Глюкоза 5% 1982
сумісний
ін'єкція Anidulafungin 0.5 mg/ml
ін'єкція Ifosfamide 25 mg/ml
Глюкоза 5% 1982
сумісний
ін'єкція Anidulafungin
Глюкоза 5% 3567
сумісний
ін'єкція Anidulafungin 0.5 mg/ml
ін'єкція Hydromorphone hydrochloride 0.5 mg/ml
Глюкоза 5% 1982
сумісний
ін'єкція Anidulafungin 0.5 mg/ml
ін'єкція Imipenem - cilastatin sodium 5 mg/ml
Глюкоза 5% 1982
сумісний
ін'єкція Anidulafungin 0.77 mg/ml
ін'єкція Isavuconazonium sulfate 1.5 mg/ml
Натрію хлорид 0,9% 3829
сумісний
ін'єкція Anidulafungin 0.77 mg/ml
ін'єкція Isavuconazonium sulfate 1.5 mg/ml
Глюкоза 5% 3829
сумісний
ін'єкція Anidulafungin 0.5 mg/ml
ін'єкція Levofloxacine 5 mg/ml
Глюкоза 5% 1982
сумісний
ін'єкція Anidulafungin 0.5 mg/ml
ін'єкція Linezolid 2 mg/ml
Глюкоза 5% 1982
сумісний
ін'єкція Anidulafungin 0.5 mg/ml
ін'єкція Meropenem 2.5 mg/ml
Глюкоза 5% 1982
сумісний
ін'єкція Anidulafungin 0.5 mg/ml
ін'єкція Methylprednisolone sodium succinate 5 mg/ml
Глюкоза 5% 1982
сумісний
ін'єкція Anidulafungin 0.5 mg/ml
ін'єкція Metronidazole 5 mg/ml
Глюкоза 5% 1982
сумісний
ін'єкція Anidulafungin 0.5 mg/ml
ін'єкція Midazolam hydrochloride 1 mg/ml
Глюкоза 5% 1982
сумісний
ін'єкція Anidulafungin 0.5 mg/ml
ін'єкція Morphine sulfate 15 mg/ml
Глюкоза 5% 1982
сумісний
ін'єкція Anidulafungin 0.5 mg/ml
ін'єкція Mycophenolate mofetil 6 mg/ml
Глюкоза 5% 1982
сумісний
ін'єкція Anidulafungin 0.5 mg/ml
ін'єкція Paclitaxel 0.6 mg/ml
Глюкоза 5% 1982
сумісний
ін'єкція Anidulafungin 0.5 mg/ml
ін'єкція Pantoprazole sodium 0.4 mg/ml
Глюкоза 5% 1982
сумісний
ін'єкція Anidulafungin 0.5 mg/ml
ін'єкція Pethidine hydrochloride 10 mg/ml
Глюкоза 5% 1982
сумісний
ін'єкція Anidulafungin 0.5 mg/ml
ін'єкція Phenylephrine hydrochloride 1 mg/ml
Глюкоза 5% 1982
сумісний
ін'єкція Anidulafungin 0.5 mg/ml
ін'єкція Piperacillin sodium / tazobactam 40/5 mg/ml
Глюкоза 5% 1982
Помутніння через 15 хв Несумісні
ін'єкція Anidulafungin 0,77 mg/ml
ін'єкція Plazomicin sulfate 24 mg/ml
Натрію хлорид 0,9% 4145
сумісний
ін'єкція Anidulafungin 0.5 mg/ml
ін'єкція Potassium chloride 0.1 mEq/l
Глюкоза 5% 1982
сумісний
ін'єкція Anidulafungin 0.5 mg/ml
ін'єкція Quinupristine/dalfopristine 5 mg/ml
Глюкоза 5% 1982
сумісний
ін'єкція Anidulafungin 0.5 mg/ml
ін'єкція Ranitidine hydrochloride 2 mg/ml
Глюкоза 5% 1982
Негайне помутніння Несумісні
ін'єкція Anidulafungin 0.5 mg/ml
ін'єкція Sodium bicarbonate 84 mg/ml
Глюкоза 5% 1982
сумісний
ін'єкція Anidulafungin 0,77 mg/ml
ін'єкція Sulbactam/durlobactam 15/15 mg/ml
Натрію хлорид 0,9% 4801
сумісний
ін'єкція Anidulafungin 0.5 mg/ml
ін'єкція Tacrolimus 20 µg/ml
Глюкоза 5% 1982
сумісний
ін'єкція Anidulafungin 0.77 mg/ml
ін'єкція Tedizolid phosphate 0.8 mg/ml
Натрію хлорид 0,9% 3827
сумісний
ін'єкція Anidulafungin 0.5 mg/ml
ін'єкція Ticarcillin / clavulanic acid 31 mg/ml
Глюкоза 5% 1982
сумісний
ін'єкція Anidulafungin 0.5 mg/ml
ін'єкція Tobramycin sulfate 5 mg/ml
Глюкоза 5% 1982
сумісний
ін'єкція Anidulafungin 0.5 mg/ml
ін'єкція Vancomycin hydrochloride 10 mg/ml
Глюкоза 5% 1982
сумісний
ін'єкція Anidulafungin 0.5 mg/ml
ін'єкція Vincristine sulfate 0.05 mg/ml
Глюкоза 5% 1982
сумісний
ін'єкція Anidulafungin 0.5 mg/ml
ін'єкція Voriconazole 4 mg/ml
Глюкоза 5% 1982
сумісний
ін'єкція Anidulafungin
Натрію хлорид 0,9% 3567
сумісний
ін'єкція Anidulafungin 0.5 mg/ml
ін'єкція Zidovudine 4 mg/ml
Глюкоза 5% 1982
Негайне помутніння Несумісні
ін'єкція Anidulafungin 0.5 mg/ml
NaHCO3 1982

  Mentions Légales