Ultimo aggiornamento :
12/12/2025
Antimicotico   Anidulafungin  
Iniezione
Stabilità in soluzione Stabilità in miscela Fattori che influenzano la stabilità Compatibilità metodo di iniezione Bibliografia pdf
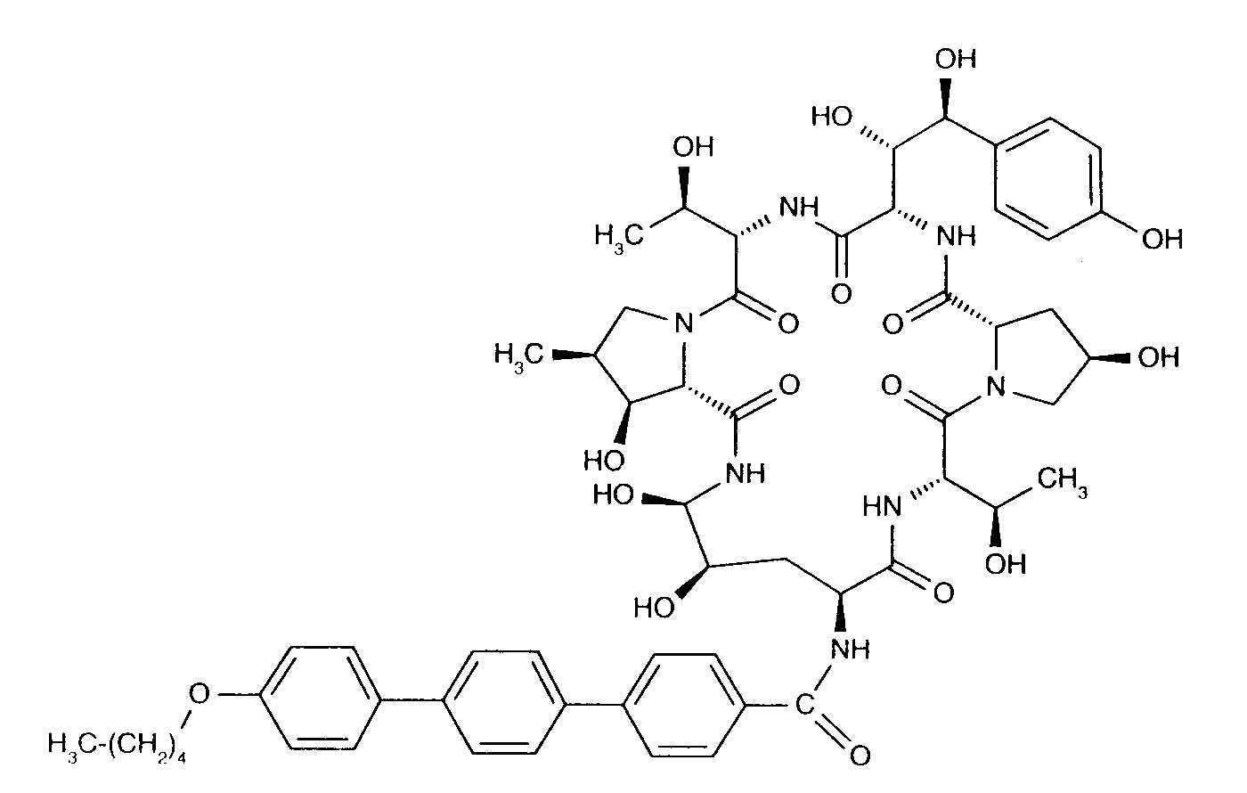
   Struttura chimica  

Nome commerciale   Nome commerciale     

Trade names are indicative and excipients composition can be different depending on the country and manufacturers

Anidulafungin Belgio, Germania, Gran Bretagna
Anidulafungina Brasile, Spagna
Ecalta Argentina, Belgio, Brasile, Canada, Chile, Colombia, Danimarca, Finlandia, Francia, Germania, Gran Bretagna, Grecia, Italia, Lussemburgo, Malaysia, Norvegia, Paesi Bassi, Perù, Polonia, Romania, Spagna, Stati Uniti d’America, Svezia, Svizzera, Turchia, Ungheria, Venezuela
Equalta Messico
Eraxis Australia, Canada, Stati Uniti d’America
Fuzig Messico
Compatibilità   Iniezione   Compatibilità : Anidulafungin              
explication_incompatibilite_molecules
Molecola Solvente Bibliografia
Compatibile
Iniezione Anidulafungin 0.5 mg/ml
Iniezione Aciclovir sodium 7 mg/ml
Glucosio 5% 1982
Compatibile
Iniezione Anidulafungin 0.5 mg/ml
Iniezione Amikacin sulfate 5 mg/ml
Glucosio 5% 1982
Compatibile
Iniezione Anidulafungin 0.5 mg/ml
Iniezione Aminophylline 2.5 mg/ml
Glucosio 5% 1982
Torbidità immediata Incompatibile
Iniezione Anidulafungin 0,5 mg/ml
Iniezione Amphotericin B 0,6 mg/ml
Glucosio 5% 1982
Compatibile
Iniezione Anidulafungin 0.5 mg/ml
Iniezione Amphotericin B cholesteryl sulfate complex 1 mg/ml
Glucosio 5% 1982
Compatibile
Iniezione Anidulafungin 0.5 mg/ml
Iniezione Amphotericin B liposomale 1 mg/ml
Glucosio 5% 1982
Compatibile
Iniezione Anidulafungin 0.5 mg/ml
Iniezione Ampicillin sodium 20 mg/ml
Glucosio 5% 1982
Compatibile
Iniezione Anidulafungin 0.5 mg/ml
Iniezione Ampicillin sodium - sulbactam sodium 20/10 mg/ml
Glucosio 5% 1982
Compatibile
Iniezione Anidulafungin 0.5 mg/ml
Iniezione Carboplatin 5 mg/ml
Glucosio 5% 1982
Compatibile
Iniezione Anidulafungin 0.5 mg/ml
Iniezione Cefazolin sodium 20 mg/ml
Glucosio 5% 1982
Compatibile
Iniezione Anidulafungin 0.5 mg/ml
Iniezione Cefepime dihydrochloride 20 mg/ml
Glucosio 5% 1982
Compatibile
Iniezione Anidulafungin 0.77 mg/ml
Iniezione Cefiderocol sulfate tosylate 20 mg/mL
Cloruro di sodio 0,9% 4528
Compatibile
Iniezione Anidulafungin 0.77 mg/ml
Iniezione Cefiderocol sulfate tosylate 20 mg/mL
Glucosio 5% 4528
Compatibile
Iniezione Anidulafungin 0.5 mg/ml
Iniezione Cefoxitin sodium 20 mg/ml
Glucosio 5% 1982
Compatibile
Iniezione Anidulafungin 0.5 mg/ml
Iniezione Ceftazidime 40 mg/ml
Glucosio 5% 1982
Compatibile
Iniezione Anidulafungin 0.5 mg/ml
Iniezione Ceftizoxime sodium 20 mg/ml
Glucosio 5% 1982
Compatibile
Iniezione Anidulafungin 0.77 mg/ml
Iniezione Ceftolozane / tazobactam 10/5 mg/ml
Cloruro di sodio 0,9% 3828
Compatibile
Iniezione Anidulafungin 0.77 mg/ml
Iniezione Ceftolozane / tazobactam 10/5 mg/ml
Glucosio 5% 3828
Compatibile
Iniezione Anidulafungin 0.5 mg/ml
Iniezione Ceftriaxone disodium 20 mg/ml
Glucosio 5% 1982
Compatibile
Iniezione Anidulafungin 0.5 mg/ml
Iniezione Cefuroxime sodium 30 mg/ml
Glucosio 5% 1982
Compatibile
Iniezione Anidulafungin 0.5 mg/ml
Iniezione Ciclosporin 5 mg/ml
Glucosio 5% 1982
Compatibile
Iniezione Anidulafungin 0.5 mg/ml
Iniezione Cimetidine hydrochloride 12 mg/ml
Glucosio 5% 1982
Compatibile
Iniezione Anidulafungin 0.5 mg/ml
Iniezione Ciprofloxacin lactate 2 mg/ml
Glucosio 5% 1982
Compatibile
Iniezione Anidulafungin 0.5 mg/ml
Iniezione Cisplatin 1 mg/ml
Glucosio 5% 1982
Compatibile
Iniezione Anidulafungin 0.5 mg/ml
Iniezione Clindamycin phosphate 10 mg/ml
Glucosio 5% 1982
Compatibile
Iniezione Anidulafungin 0.5 mg/ml
Iniezione Co-trimoxazole 4/0.8 mg/ml
Glucosio 5% 1982
Compatibile
Iniezione Anidulafungin 0.5 mg/ml
Iniezione Cyclophosphamide 10 mg/ml
Glucosio 5% 1982
Compatibile
Iniezione Anidulafungin 0.5 mg/ml
Iniezione Cytarabine 50 mg/ml
Glucosio 5% 1982
Compatibile
Iniezione Anidulafungin 0.5 mg/ml
Iniezione Daunorubicin hydrochloride 1 mg/ml
Glucosio 5% 1982
Compatibile
Iniezione Anidulafungin 0.5 mg/ml
Iniezione Dexamethasone sodium phosphate 1 mg/ml
Glucosio 5% 1982
Compatibile
Iniezione Anidulafungin 0.5 mg/ml
Iniezione Digoxin 250 µg/ml
Glucosio 5% 1982
Compatibile
Iniezione Anidulafungin 0.5 mg/ml
Iniezione Dobutamine hydrochloride 4 mg/ml
Glucosio 5% 1982
Compatibile
Iniezione Anidulafungin 0.5 mg/ml
Iniezione Docetaxel 2 mg/ml
Glucosio 5% 1982
Compatibile
Iniezione Anidulafungin 0.5 mg/ml
Iniezione Dopamine hydrochloride 3.2 mg/ml
Glucosio 5% 1982
Compatibile
Iniezione Anidulafungin 0,5 mg/ml
Iniezione Doripenem 5 mg/ml
Cloruro di sodio 0,9% 2262
Compatibile
Iniezione Anidulafungin 0,5 mg/ml
Iniezione Doripenem 5 mg/ml
Glucosio 5% 2262
Compatibile
Iniezione Anidulafungin 0.5 mg/ml
Iniezione Doxorubicin hydrochloride 2 mg/ml
Glucosio 5% 1982
Compatibile
Iniezione Anidulafungin 0.5 mg/ml
Iniezione Epinephrine hydrochloride 50 µg/ml
Glucosio 5% 1982
Precipitazioni immediate Incompatibile
Iniezione Anidulafungin 0.5 mg/ml
Iniezione Ertapenem 20 mg/ml
Glucosio 5% 1982
Compatibile
Iniezione Anidulafungin 0.5 mg/ml
Iniezione Erythromycin lactobionate 5 mg/ml
Glucosio 5% 1982
Compatibile
Iniezione Anidulafungin 0.5 mg/ml
Iniezione Etoposide phosphate 5 mg/ml
Glucosio 5% 1982
Compatibile
Iniezione Anidulafungin 0.5 mg/ml
Iniezione Famotidine 2 mg/ml
Glucosio 5% 1982
Compatibile
Iniezione Anidulafungin 0.5 mg/ml
Iniezione Fentanyl citrate 50 µg/ml
Glucosio 5% 1982
Compatibile
Iniezione Anidulafungin 0.5 mg/ml
Iniezione Fluconazole 2 mg/ml
Glucosio 5% 1982
Compatibile
Iniezione Anidulafungin 0.5 mg/ml
Iniezione Fluorouracil 16 mg/ml
Glucosio 5% 1982
Compatibile
Iniezione Anidulafungin 0.5 mg/ml
Iniezione Folinate calcium 2 mg/ml
Glucosio 5% 1982
Precipitazioni dopo 1 ora Incompatibile
Iniezione Anidulafungin 0,77 mg/ml
Iniezione Fosfomycin 30 mg/ml
Cloruro di sodio 0,9% 4055
Precipitazioni dopo 15 minuti Incompatibile
Iniezione Anidulafungin 0,77 mg/ml
Iniezione Fosfomycin 30 mg/ml
Glucosio 5% 4055
Compatibile
Iniezione Anidulafungin 0.5 mg/ml
Iniezione Furosemide 3 mg/ml
Glucosio 5% 1982
Compatibile
Iniezione Anidulafungin 0.5 mg/ml
Iniezione Ganciclovir sodium 20 mg/ml
Glucosio 5% 1982
Compatibile
Iniezione Anidulafungin 0.5 mg/ml
Iniezione Gemcitabine hydrochloride 10 mg/ml
Glucosio 5% 1982
Compatibile
Iniezione Anidulafungin 0.5 mg/ml
Iniezione Gentamicin sulfate 5 mg/ml
Glucosio 5% 1982
Compatibile
Iniezione Anidulafungin 0.5 mg/ml
Iniezione Heparin sodium 100 UI/ml
Glucosio 5% 1982
Compatibile
Iniezione Anidulafungin 0.5 mg/ml
Iniezione Hydrocortisone sodium succinate 1 mg/ml
Glucosio 5% 1982
Compatibile
Iniezione Anidulafungin 0.5 mg/ml
Iniezione Ifosfamide 25 mg/ml
Glucosio 5% 1982
Compatibile
Iniezione Anidulafungin
Glucosio 5% 3567
Compatibile
Iniezione Anidulafungin 0.5 mg/ml
Iniezione Hydromorphone hydrochloride 0.5 mg/ml
Glucosio 5% 1982
Compatibile
Iniezione Anidulafungin 0.5 mg/ml
Iniezione Imipenem - cilastatin sodium 5 mg/ml
Glucosio 5% 1982
Compatibile
Iniezione Anidulafungin 0.77 mg/ml
Iniezione Isavuconazonium sulfate 1.5 mg/ml
Cloruro di sodio 0,9% 3829
Compatibile
Iniezione Anidulafungin 0.77 mg/ml
Iniezione Isavuconazonium sulfate 1.5 mg/ml
Glucosio 5% 3829
Compatibile
Iniezione Anidulafungin 0.5 mg/ml
Iniezione Levofloxacine 5 mg/ml
Glucosio 5% 1982
Compatibile
Iniezione Anidulafungin 0.5 mg/ml
Iniezione Linezolid 2 mg/ml
Glucosio 5% 1982
Compatibile
Iniezione Anidulafungin 0.5 mg/ml
Iniezione Meropenem 2.5 mg/ml
Glucosio 5% 1982
Compatibile
Iniezione Anidulafungin 0.5 mg/ml
Iniezione Methylprednisolone sodium succinate 5 mg/ml
Glucosio 5% 1982
Compatibile
Iniezione Anidulafungin 0.5 mg/ml
Iniezione Metronidazole 5 mg/ml
Glucosio 5% 1982
Compatibile
Iniezione Anidulafungin 0.5 mg/ml
Iniezione Midazolam hydrochloride 1 mg/ml
Glucosio 5% 1982
Compatibile
Iniezione Anidulafungin 0.5 mg/ml
Iniezione Morphine sulfate 15 mg/ml
Glucosio 5% 1982
Compatibile
Iniezione Anidulafungin 0.5 mg/ml
Iniezione Mycophenolate mofetil 6 mg/ml
Glucosio 5% 1982
Compatibile
Iniezione Anidulafungin 0.5 mg/ml
Iniezione Paclitaxel 0.6 mg/ml
Glucosio 5% 1982
Compatibile
Iniezione Anidulafungin 0.5 mg/ml
Iniezione Pantoprazole sodium 0.4 mg/ml
Glucosio 5% 1982
Compatibile
Iniezione Anidulafungin 0.5 mg/ml
Iniezione Pethidine hydrochloride 10 mg/ml
Glucosio 5% 1982
Compatibile
Iniezione Anidulafungin 0.5 mg/ml
Iniezione Phenylephrine hydrochloride 1 mg/ml
Glucosio 5% 1982
Compatibile
Iniezione Anidulafungin 0.5 mg/ml
Iniezione Piperacillin sodium / tazobactam 40/5 mg/ml
Glucosio 5% 1982
Torbidità in 15 minuti Incompatibile
Iniezione Anidulafungin 0,77 mg/ml
Iniezione Plazomicin sulfate 24 mg/ml
Cloruro di sodio 0,9% 4145
Compatibile
Iniezione Anidulafungin 0.5 mg/ml
Iniezione Potassium chloride 0.1 mEq/l
Glucosio 5% 1982
Compatibile
Iniezione Anidulafungin 0.5 mg/ml
Iniezione Quinupristine/dalfopristine 5 mg/ml
Glucosio 5% 1982
Compatibile
Iniezione Anidulafungin 0.5 mg/ml
Iniezione Ranitidine hydrochloride 2 mg/ml
Glucosio 5% 1982
Torbidità immediata Incompatibile
Iniezione Anidulafungin 0.5 mg/ml
Iniezione Sodium bicarbonate 84 mg/ml
Glucosio 5% 1982
Compatibile
Iniezione Anidulafungin 0,77 mg/ml
Iniezione Sulbactam/durlobactam 15/15 mg/ml
Cloruro di sodio 0,9% 4801
Compatibile
Iniezione Anidulafungin 0.5 mg/ml
Iniezione Tacrolimus 20 µg/ml
Glucosio 5% 1982
Compatibile
Iniezione Anidulafungin 0.77 mg/ml
Iniezione Tedizolid phosphate 0.8 mg/ml
Cloruro di sodio 0,9% 3827
Compatibile
Iniezione Anidulafungin 0.5 mg/ml
Iniezione Ticarcillin / clavulanic acid 31 mg/ml
Glucosio 5% 1982
Compatibile
Iniezione Anidulafungin 0.5 mg/ml
Iniezione Tobramycin sulfate 5 mg/ml
Glucosio 5% 1982
Compatibile
Iniezione Anidulafungin 0.5 mg/ml
Iniezione Vancomycin hydrochloride 10 mg/ml
Glucosio 5% 1982
Compatibile
Iniezione Anidulafungin 0.5 mg/ml
Iniezione Vincristine sulfate 0.05 mg/ml
Glucosio 5% 1982
Compatibile
Iniezione Anidulafungin 0.5 mg/ml
Iniezione Voriconazole 4 mg/ml
Glucosio 5% 1982
Compatibile
Iniezione Anidulafungin
Cloruro di sodio 0,9% 3567
Compatibile
Iniezione Anidulafungin 0.5 mg/ml
Iniezione Zidovudine 4 mg/ml
Glucosio 5% 1982
Torbidità immediata Incompatibile
Iniezione Anidulafungin 0.5 mg/ml
NaHCO3 1982

  Mentions Légales